Comparison of Butyric Acid Leaching Behaviors of Zinc from Three Basic Oxygen Steelmaking Filter Cakes
Abstract
1. Introduction
2. Materials and Methods
2.1. Materials
2.2. Leaching Experiments
2.3. Characterization of the Filter Cakes and Leaching Residues
3. Results and Discussion
3.1. Characterization of the BOS Filter Cakes
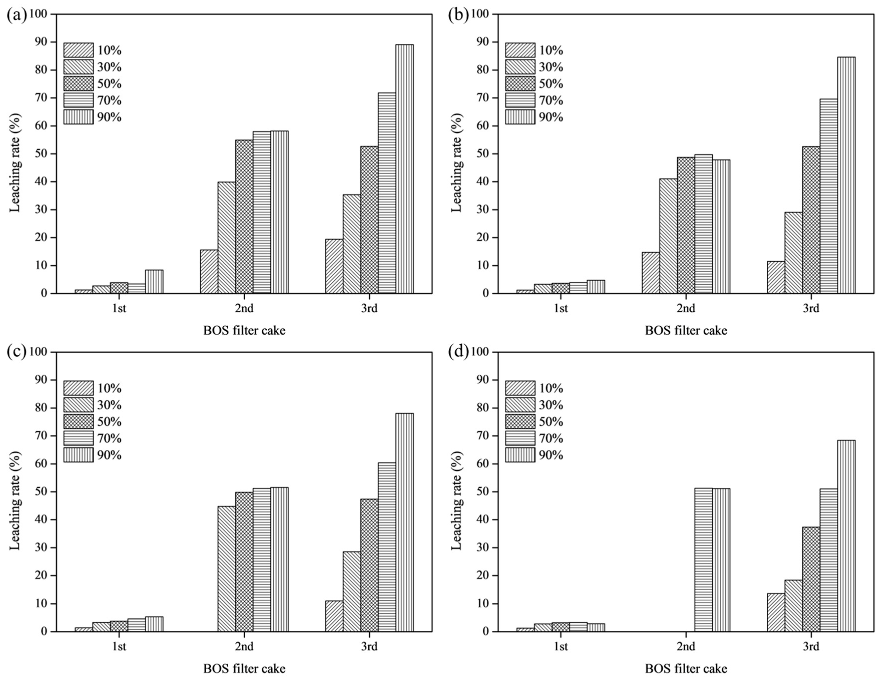
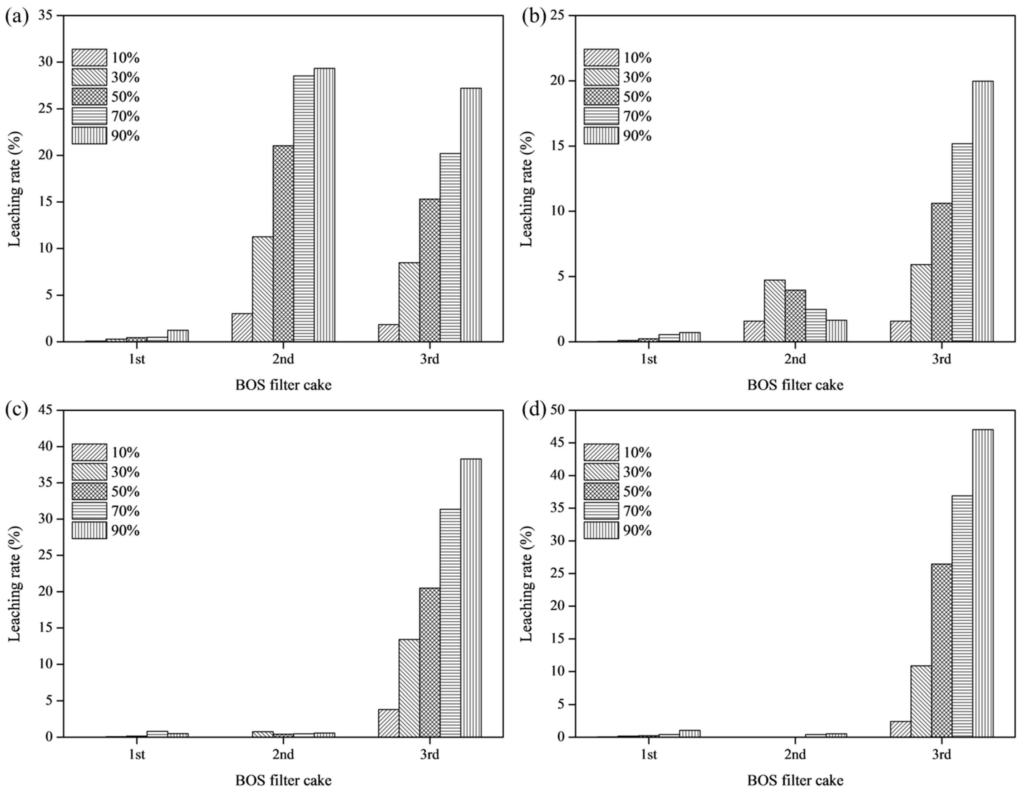
3.2. The Leaching Performance of the Different BOS Filter Cakes
3.3. Characterization of the Leached Residues
4. Conclusions
Supplementary Materials
Author Contributions
Funding
Acknowledgments
Conflicts of Interest
References
- Yang, S.; Zhao, D.; Jie, Y.; Tang, C.; He, J.; Chen, Y. Hydrometallurgical process for zinc recovery from C.Z.O. Generated by the steelmaking industry with ammonia–ammonium chloride solution. Metals 2019, 9, 83. [Google Scholar] [CrossRef]
- Vereš, J.; Jakabský, Š.; Lovás, M. Zinc recovery from iron and steel making wastes by conventional and microwave assisted leaching. Acta Montanistica Slovaca 2011, 16, 185. [Google Scholar]
- Jaafar, I. Chlorination for the Removal of Zinc from Basic Oxygen Steelmaking (BOS) by-product. Ph.D. Thesis, Cardiff University, Cardiff, UK, 2014. [Google Scholar]
- Vereš, J.; Jakabský, Š.; Lovás, M.; Hredzák, S. Non-isothermal microwave leaching kinetics of zinc removal from basic oxygen furnace dust. Acta Montanistica Slovaca 2010, 15, 204–211. [Google Scholar]
- Ma, N. Recycling of basic oxygen furnace steelmaking dust by in-process separation of zinc from the dust. J. Clean. Prod. 2016, 112, 4497–4504. [Google Scholar] [CrossRef]
- Cantarino, M.V.; de Carvalho Filho, C.; Mansur, M.B. Selective removal of zinc from basic oxygen furnace sludges. Hydrometallurgy 2012, 111, 124–128. [Google Scholar] [CrossRef]
- Kelebek, S.; Yörük, S.; Davis, B. Characterization of basic oxygen furnace dust and zinc removal by acid leaching. Miner. Eng. 2004, 17, 285–291. [Google Scholar] [CrossRef]
- Gargul, K.; Boryczko, B. Removal of zinc from dusts and sludges from basic oxygen furnaces in the process of ammoniacal leaching. Arch. Civil Mech. Eng. 2015, 15, 179–187. [Google Scholar] [CrossRef]
- Stefanova, A.; Aromaa, J. Alkaline Leaching of Iron and Steelmaking Dust. Research Report, Aalto University publication series Science + Technology 1/2012. Available online: https://aaltodoc.aalto.fi/handle/123456789/3570 (accessed on 24 April 2018).
- Wang, J.; Wang, Z.; Zhang, Z.; Zhang, G. Zinc removal from basic oxygen steelmaking filter cake by leaching with organic acids. Metall. Mater. Trans. B 2019, 50, 480–490. [Google Scholar] [CrossRef]
- Trung, Z.H.; Kukurugya, F.; Takacova, Z.; Orac, D.; Laubertova, M.; Miskufova, A.; Havlik, T. Acidic leaching both of zinc and iron from basic oxygen furnace sludge. J. Hazard. Mater. 2011, 192, 1100–1107. [Google Scholar]
- Zeydabadi, B.A.; Mowla, D.; Shariat, M.; Kalajahi, J.F. Zinc recovery from blast furnace flue dust. Hydrometallurgy 1997, 47, 113–125. [Google Scholar] [CrossRef]
- Jaafar, I.; Griffiths, A.J.; Hopkins, A.; Steer, J.M.; Griffiths, M.H.; Sapsford, D.J. An evaluation of chlorination for the removal of zinc from steelmaking dusts. Miner. Eng. 2011, 24, 1028–1030. [Google Scholar] [CrossRef]
- Sofilić, T.; Rastovčan-Mioč, A.; Cerjan-Stefanović, Š.; Novosel-Radović, V.; Jenko, M. Characterization of steel mill electric-arc furnace dust. J. Hazard. Mater. 2004, 109, 59–70. [Google Scholar] [CrossRef]
- Bakkar, A. Recycling of electric arc furnace dust through dissolution in deep eutectic ionic liquids and electrowinning. J. Hazard. Mater. 2014, 280, 191–199. [Google Scholar] [CrossRef]
- Gargul, K.; Jarosz, P.; Malecki, S. Alkaline leaching of low zinc content iron-bearing sludges. Arch. Metall. Mater. 2016, 61, 43–50. [Google Scholar] [CrossRef][Green Version]
- Aromaa, J.; Kekki, A.; Stefanova, A.; Makkonen, H.; Forsén, O. New hydrometallurgical approaches for stainless steel dust treatment. Miner. Process. Extr. Metall. 2016, 125, 242–252. [Google Scholar] [CrossRef]
- Miki, T.; Chairaksa-Fujimoto, R.; Maruyama, K.; Nagasaka, T. Hydrometallurgical extraction of zinc from CaO treated EAF dust in ammonium chloride solution. J. Hazard. Mater. 2016, 302, 90–96. [Google Scholar] [CrossRef]
- Palimąka, P.; Pietrzyk, S.; Stępień, M.; Ciećko, K.; Nejman, I. Zinc recovery from steelmaking dust by hydrometallurgical methods. Metals 2018, 8, 547. [Google Scholar] [CrossRef]
- Langová, Š.; Leško, J.; Matýsek, D. Selective leaching of zinc from zinc ferrite with hydrochloric acid. Hydrometallurgy 2009, 95, 179–182. [Google Scholar] [CrossRef]
- Steer, J.M.; Griffiths, A.J. Investigation of carboxylic acids and non-aqueous solvents for the selective leaching of zinc from blast furnace dust slurry. Hydrometallurgy 2013, 140, 34–41. [Google Scholar] [CrossRef]
- Vereš, J.; Jakabský, Š.; Lovás, M. Comparison of conventional and microwave assisted leaching of zinc from the basic oxygen furnace dust. Miner. Slovaca 2010, 42, 369–374. [Google Scholar]
- Wang, J.; Wang, Z.; Zhang, Z.; Zhang, G. Removal of zinc from basic oxygen steelmaking filter cake by selective leaching with butyric acid. J. Clean. Prod. 2019, 209, 1–9. [Google Scholar] [CrossRef]
- Mikhail, S.A.; Turcotte, A.-M. Thermal reduction of steel-making secondary materials: I. Basic-oxygen-furnace dust. Thermochim. Acta 1998, 311, 113–119. [Google Scholar] [CrossRef]
- Longbottom, R.J.; Monaghan, B.J.; Zhang, G.; Chew, S.J.; Pinson, D.J. Characterisation of steelplant by-products to realise the value of Fe and Zn. In Proceedings of the 7th European Coke and Ironmaking Congress (ASME 2016), Linz, Austria, 12–14 September 2016. [Google Scholar]








| Sample | Storage Time | Pretreatment | Color |
|---|---|---|---|
| BOS-1 | Several years | Sintered in Stockpile | Red brown |
| BOS-2 | Half a year | Heated at 130 °C for 40 days | Shiny black |
| BOS-3 | Within one month | Freshly stored in fridge | Dull black |
| Sample | BOS-1 | BOS-2 | BOS-3 |
|---|---|---|---|
| Fe | 56.0 | 56.4 | 60.0 |
| Zn | 2.42 | 6.52 | 13.8 |
| Ca | 4.04 | 2.86 | 3.02 |
| Mg | 1.73 | 1.16 | 0.95 |
| Si | 0.72 | 0.65 | 1.01 |
| Al | 0.07 | 0.02 | 0.09 |
| Mn | 0.83 | 0.67 | 0.61 |
| Ti | 0.015 | 0.022 | 0.007 |
| K | 0.031 | 0.029 | 0.020 |
| Pb | 0.096 | 0.085 | 0.387 |
| Cr | 0.053 | 0.022 | 0.035 |
| Ni | 0.030 | 0.008 | 0.000 |
| V | 0.039 | 0.012 | 0.013 |
| LOI 1 | 4.73 | 1.89 | 3.56 |
| Sample | Zn Removal (%) | Fe Removal (%) | Zn/Fe Ratio (w/w) | Optimal Parameters | |
|---|---|---|---|---|---|
| Acid Concentration (M) | L/S Stoichiometric Ratio (%) | ||||
| BOS-1 | 8.4 | 1.2 | 0.8 | 0.5 | 90 |
| BOS-2 | 51.2 | 0.47 | 12.6 | 1.5 | 70 |
| BOS-3 | 84.6 | 20.0 | 0.5 | 1.0 | 90 |
© 2019 by the authors. Licensee MDPI, Basel, Switzerland. This article is an open access article distributed under the terms and conditions of the Creative Commons Attribution (CC BY) license (http://creativecommons.org/licenses/by/4.0/).
Share and Cite
Wang, J.; Wang, Z.; Zhang, Z.; Zhang, G. Comparison of Butyric Acid Leaching Behaviors of Zinc from Three Basic Oxygen Steelmaking Filter Cakes. Metals 2019, 9, 417. https://doi.org/10.3390/met9040417
Wang J, Wang Z, Zhang Z, Zhang G. Comparison of Butyric Acid Leaching Behaviors of Zinc from Three Basic Oxygen Steelmaking Filter Cakes. Metals. 2019; 9(4):417. https://doi.org/10.3390/met9040417
Chicago/Turabian StyleWang, Jingxiu, Zhe Wang, Zhongzhi Zhang, and Guangqing Zhang. 2019. "Comparison of Butyric Acid Leaching Behaviors of Zinc from Three Basic Oxygen Steelmaking Filter Cakes" Metals 9, no. 4: 417. https://doi.org/10.3390/met9040417
APA StyleWang, J., Wang, Z., Zhang, Z., & Zhang, G. (2019). Comparison of Butyric Acid Leaching Behaviors of Zinc from Three Basic Oxygen Steelmaking Filter Cakes. Metals, 9(4), 417. https://doi.org/10.3390/met9040417
