Abstract
The objective of this study was to develop an eco-friendly method for processing spent stripping solutions, which originate from the wet chemical decoating of metal cutting tools, to generate a product that represents a useful basis for the recovery of valuable components. These liquids contain, for example, considerable quantities of Ti, Co, and W. Hence, the treatment of these solutions, especially because of the dissolved Co, is essential. The process is based on the precipitation of an insoluble compound with the use of a Ca source. The thermal treatment of the precipitate enables its reuse in the procedure, which leads to a minimum amount of solid process waste. The suggested method, which can be readily controlled by pH adjustment, results in a reduction of hazardous substances and an enrichment of valuable compounds in the solid product. Therefore, this process represents an effective preliminary step in the recovery of concentrated metals, such as Ti.
1. Introduction
The wet chemical decoating of metal cutting tools allows for the removal of abraded or faulty coatings and prepares them for subsequent reuse. Therefore, a complete and substrate-sensitive technique is necessary to do this. Previous studies [1,2,3,4] have indicated that a mixture of 3.0 mol/L ammonia, 4.7 mol/L hydrogen peroxide, and 0.1 mol/L citric acid at the appropriate process parameters has led to the best results with respect to these requirements. In former investigations, commercially available indexable inserts, which consisted of WC-MX-Co cemented carbides coated with hard materials, were treated. These inserts involved TiAlN-PVD, TiAlTaN-PVD, and TiB2-CVD coatings as well as a TiN-bonding layer in each case to improve the wear resistance of the cutting tools. Because cemented carbides principally represent a composite material of tungsten carbide and cobalt [5,6] and because there is inevitable degradation of the substrate during the decoating procedure, the spent etchants contain considerable amounts of Co and W. Furthermore, these solutions exhibit other metal ions, such as Ti or Ta, which originate from the dissolved hard coatings. The great number of different substances in the used stripping agents requires processing to reduce the hazardous components, especially Co.
Spent stripping solutions, which have arisen from the previously mentioned studies [1,2,3,4], have chemical compositions that are not common by-products of any known processes. Therefore, these liquids represent an exceptional residue for which a novel approach must first be established in the laboratory, because no standardised reconditioning step is currently available. Hence, this study was performed to develop an environmentally friendly and low-waste technique to process these alkaline solutions comprising spent ammonia, hydrogen peroxide, and citric acid and containing Co, Ti, and other elements. However, another question that has arisen is whether the production of a secondary, solid raw material is possible within the process; such a material would constitute a useful basis for the recovery of valuable components, such as Ti.
As mentioned before, one of the main components of these liquids is citric acid. This colourless, odourless, and crystalline solid has the molecular formula C6H8O7. Its monohydrate and anhydrous compounds melt at 100 °C and 153 °C, respectively. Citric acid is a weak acid that dissociates stepwise in water, as given in Equations (1)–(4), whereby the distribution of the citric ions is dependent on the dissociation constants and the pH value. H3AOH represents citric acid, and A corresponds with C6H4O6 [7,8,9,10].
According to Al-Khaldi et al. (2007), Figure 1 represents the distribution of citric acid ions depending on the equilibrium pH value. As can be seen, AOH3− respectively Cit3− constitutes the predominant citric acid species in the alkaline milieu, which is the focus of the current study [10].
Figure 1.
Molar fraction (γ) of different citric acid species depending on the equilibrium pH according to Al-Khaldi et al. (2007) at a temperature of 25 °C and a pressure of 1 atm. Reproduced from [10], with copyright permission from Elsevier, 2007.
Citric acid forms thermodynamically stable chelate complexes with various metal ions, such as Co, Ni, Cu, Fe, and W. In doing so, bonds between the carboxyl or hydroxyl groups and the metal ion occur. As stated by Wyrzykowsky and Chmurzyński (2010), Co2+, Ni2+, Mn2+, or Zn2+ form 1:1 complexes at a pH of 6 at 25 °C, because the equilibrium lies at Cit2−, which can also be seen in Figure 1. In some cases, more than one citric acid molecule can be involved in this reaction. Co and citrate ions, for example, can form different complex species in aqueous solutions, such as [Co(CitH)], [Co(Cit)]−, [Co(Cit)2]4−, [Co(CitH-1)]2−, or [Co2(CitH-1)2]4−. Their distribution depends on the pH value, as well as the metal/ligand ratio in the liquid. This formation of stable complexes impedes the precipitation of the solid metal-containing compounds, leading to certain challenges with respect to the removal of the hazardous components [9,10,11,12].
This problem can be solved by the addition of a Ca source and its dissolution into the spent stripping solutions. In the presence of calcium ions, citric acid combines, for example, to form CaHCit, CaH2Cit+, or Ca3Cit2. The latter exhibits low solubility in water, which decreases with the rising temperature [13,14].
Because the citrate is mainly present as a trivalent Cit3− in the alkaline spent stripping solutions, which have been processed in this study, and tricalcium dicitrate is a known calcium salt of citric acid, the following chemical equation was assumed to take place during the precipitation:
Taking advantage of these circumstances enables the processing of the spent stripping agents and the diminution of the metal ions.
2. Materials and Methods
Our suggested method for processing alkaline, metal-containing spent stripping solutions in a laboratory model, therefore, is based on the precipitation of an insoluble compound through the use of a Ca source. The following flow chart, given in Figure 2, shows the steps of the developed treatment.
Figure 2.
Principal flow chart for the processing of used stripping solutions [3].
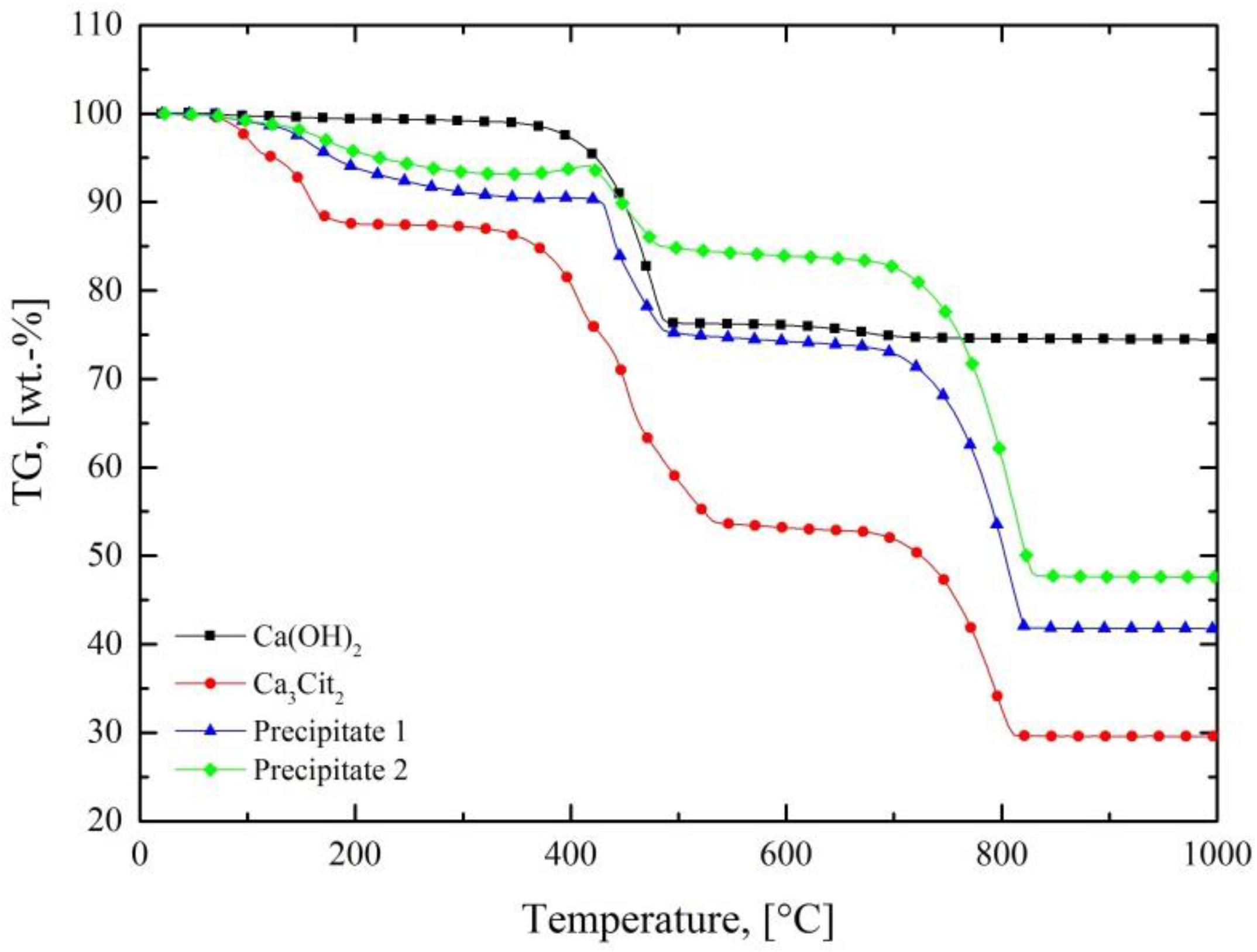
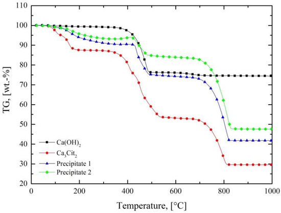
First, Ca(OH)2 or CaO (Carl Roth GmbH + Co. KG, Karlsruhe, Germany) was added to the liquid as a Ca2+ source in a certain excess. While heating the suspension, the citrate reacted with the dissolved calcium ions to form a poorly soluble calcium citrate compound, which precipitated as a white, voluminous solid. The solid reaction product was separated from the solution by filtration. After drying, the filter cake had to be annealed in air for 2 h at 900 °C. This temperature appeared appropriate for the thermal treatment, because Ca citrates decompose stepwise in CaO through the emission of CO2, H2O, and other volatile constituents. Furthermore, the excess of the undissolved Ca(OH)2 reacted to CaO. Figure 3 depicts the thermogravimetric analyses of pure Ca(OH)2 and Ca3Cit2, as well as of two precipitates from preliminary investigations, in which Ca(OH)2 served as the precipitating agent. The graph shows the weight losses that occurred in the course of heating these substances to 1000 °C in air. A stepwise decomposition of the materials took place until a constant weight was reached. The product of the thermal procedure, calcium oxide, represented a suitable input material, as a Ca2+ source for a renewed use as a precipitating agent for citrates in stripping solutions. This enabled a closed-loop circulation of the solid residue in the form of a low-waste process, in which the losses needed to be compensated for with a fresh material. Aside from the diminution of the citrates, a decline of the metal ion concentrations of the solution occurred, which resulted in an enrichment of certain components in the precipitate. Hence, this method represents an effective preliminary step for the recovery of concentrated compounds from such a solid.
Figure 3.
Thermogravimetric analyses in air of pure Ca(OH)2 and Ca3Cit2, as well as two precipitates from the aforementioned preliminary investigations, in which Ca(OH)2 served as the precipitating agent.
Two different series of tests were performed. Series 1 was meant to provide information regarding the effectiveness of the developed technique and to clarify if the reuse of the thermally treated residue was possible without adding a fresh Ca source. Series 2 was applied with CaO as the starting material in constant excess.
The experimental procedure was based on the processing method depicted in Figure 2. First, 200 mL of the starting solution was heated to 40 °C while being stirred in a beaker. After reaching this temperature, the addition of a fresh Ca source occurred in the first experiment of each series of the thermally treated precipitate for the subsequent tests. The temperature remained constant for 1 h. Meanwhile, the soluble amount of the solid dissolved. During the ensuing boiling of the suspension for another hour, a calcium citrate compound precipitated in the form of a white and voluminous solid. As required, the evaporated water was compensated for with the addition of deionized water. After cooling the suspension to the ambient temperature, the suspended particles were separated by filtration. The drying of the filter cake took place at 105 °C until its weight remained constant. Then, it was annealed in air for 2 h at 900 °C. The thermally treated residue served as a precipitating agent for the removal of the citrates in the following tests. Depending on the aim of the series, fresh Ca(OH)2 (series 1) or CaO (series 2) was added to the solid. Deionized water was added to the filtrate, which originated from the solid–liquid separation, until the solution reached 200 mL. The solution was analysed with ion chromatography (IC, Ion Chromatography System ICS-2000, Dionex Corporation, Sunnyvale, CA, USA) and inductively coupled plasma mass spectrometry (ICP-MS, Agilent 7500 CE, Agilent Technologies, Santa Clara, CA, USA) to measure the citrate and the metal content of the liquid, respectively.
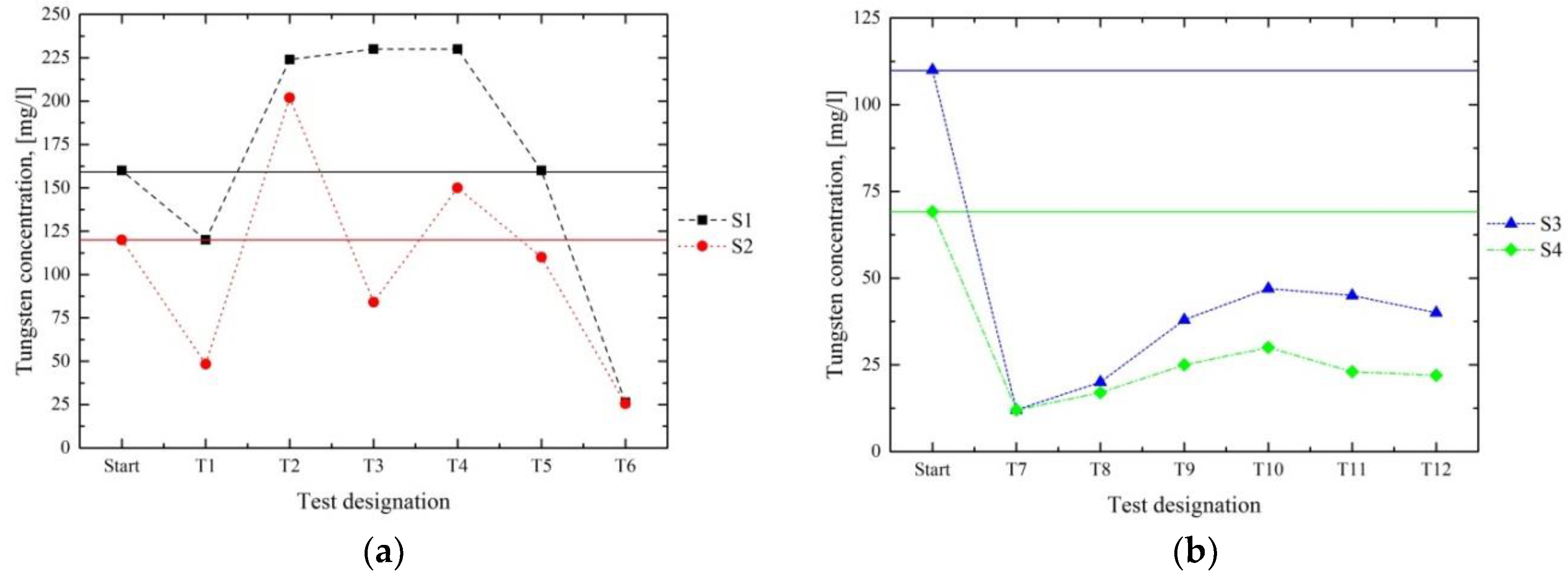
In series 1 (test designations T1–T6, Figure 4a), 200 mL of two different spent stripping solutions, S1 and S2, were processed by adding Ca2+ ions in the form of Ca(OH)2 in triple excess in relation to the citrate concentration present in each solution (T1). The resulting thermally treated residues served as starting materials for the respective, subsequent tests (T2–T5), which were used without the addition of a fresh Ca source. In the last test of the first series (T6), Ca(OH)2 was added to the remaining solid, which ensured a high excess of Ca2+ ions. Over the course of the first 5 tests (T1–T5) of series 1, the number of Ca2+ ions declined because of losses based on, for example, the significant Ca concentrations in the processed solutions, the filtration, and the handling. The annealed residues, which resulted from the last tests (T6), were analysed by X-ray fluorescence (XRF, XRF WDXRF Axios Panalytical, Malvern Panalytical, Malvern, UK; Almelo, Netherlands) to determine its chemical composition and draw conclusions concerning the metal content of the solid.
Figure 4.
Test procedure of series 1 (a) and series 2 (b) Ann. Prec., annealed precipitate; IC, ion chromatography; ICP-MS, inductively coupled plasma mass spectrometry; and XRF, X-ray fluorescence.
Series 2 comprised of 6 experiments (test designations T7–T12, Figure 4b) with 200 mL of two different initial solutions, S3 and S4, and was meant to provide information regarding whether the use of CaO as a precipitation agent was possible. After each test (T7–T11), the Ca losses were compensated for with the addition of fresh calcium oxide, which theoretically led to an approximately constant threefold excess of Ca2+ ions over the course of the tests. Therefore, the simplifying assumption implicated that the solid resulting from the previous precipitation only consisted of CaO after the annealing step. The thermally treated solid residue of the last tests (T12) were analysed by XRF, as given in Section 3.
Initial Solutions
Table 1 summarises the results of the IC and ICP-MS analyses of the 4 different, transparent, and solid-free initial solutions, which were treated in the course of this study. This investigation was performed with a focus on the dissolved metal ions Al, Co, Nb, Ta, Ti, and W, which represent the most important constituents of the applied spent stripping solutions. The liquids S1 and S2 were processed in series 1 (T1–T6), whereas S3 and S4 were examined in series 2 (T7–T12). The pH values of S1, S2, S3, and S4 corresponded with 10.3, 10.4, 10.0, and 9.6, respectively.
Table 1.
Concentrations of the citrates and the different metal ions of the initial solutions S1, S2, S3, and S4 (b.a.l., below the analytical limit of determination) measured by IC and ICP-MS [3].
3. Results
Table 2 shows the multiple of the stoichiometrically required amount of Ca2+, calculated by Equation (5), in relation to the citrate concentration present in each spent stripping agent. In the first tests of each series (T1 and T7), a fresh Ca source was applied as a precipitating agent. In series 1, using S1 and S2 as the initial solutions, the thermally treated residues were reused in the subsequent tests without the need of the further addition of a Ca source, as mentioned before. The relative amount declined from T1 to T5 because of losses concerning, for example, the dissolved Ca in the filtrates or the handling. In T5 for the processing of S1, the number of Ca2+ ions fell under the stoichiometrically required quantity, so it can be hypothesised that it is not possible to remove all the present citrates. In the last tests (T6) of series 1, fresh Ca(OH)2 was added to the solid for the precipitation, which led to a 5.63- and 5.56-fold excess of Ca2+ in S1 and S2, respectively, which should have improved the effectiveness of the process to a greater extent. In series 2 (T7–T12), the Ca losses over the course of the experiments were compensated for with the addition of fresh CaO, which resulted in a theoretically constant threefold excess.
Table 2.
The multiple of the stoichiometrically required amount of Ca2+ ions in relation to the citrate concentration in the initial solutions S1, S2, S3, and S4 [3].
The following graphs in Figure 5 compare the pH value before the experiment (start) with the pH value after the removal of the solid and the cooling of the filtrate of series 1 (Figure 5a) and 2 (Figure 5b). The pH of the filtrates resulting from the processing of S1 (Figure 5a) surpassed the starting value in T1 and T6 only; in T2–T5, it declined constantly until the lowest point of 5.6 was reached in T5. All the final pH values of S2 (Figure 5a) were in the alkaline range. In S2, the lowest pH was also reached in T5 and corresponded to about 8.5. The pH decreased over the course of the tests due to the inevitable losses of the solid. It was possible to counteract this trend by adding a fresh Ca source, as shown in T6. Based on the compensation for the losses in series 2 (Figure 5b), the pH of the filtrates should have been more alkaline than the initial solutions S3 and S4. This assumption can only be confirmed for T7–T10. The reason for the lower pH values in T11 and T12 is discussed in the analysis of the XRF results below.
Figure 5.
pH value before (start, continuous line) and after the tests (T1–T6) of series 1 (a), as well as the tests (T7–T12) of series 2 (b) [3].
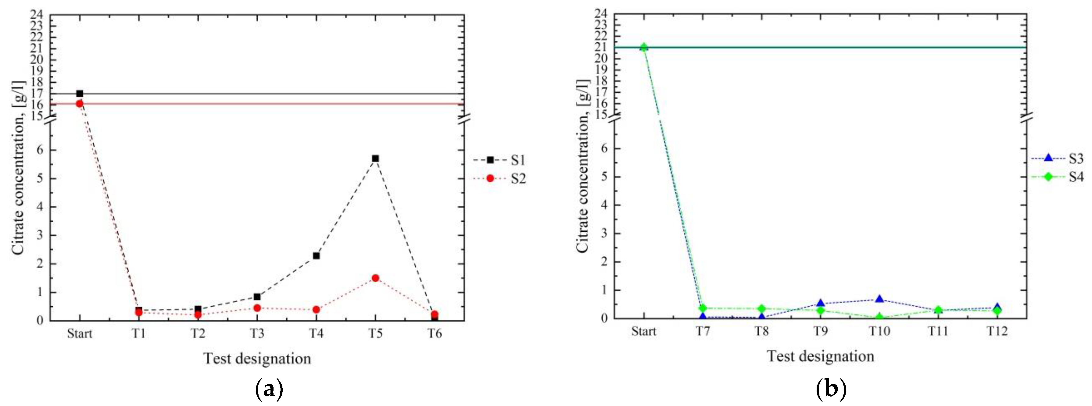
Figure 6 compares the citrate concentrations of the four initial solutions to the resulting filtrates from series 1 (Figure 6a) and 2 (Figure 6b). By analysing, for example, the outcome of T1 (Figure 6a) and T7 (Figure 6b), it can be concluded that a successful diminution of the citrates was achieved by the use of Ca(OH)2 (series 1) and CaO (series 2), because 97.8% and 98.2% of the citrates in S1 and S2 of series 1, respectively, and 99.7% and 98.2% of the present citrates in S3 and S4 of series 2, respectively, were removed in the first step (Table 3). Furthermore, we can conclude that the reuse of the thermally treated precipitate, according to the proposed process in Figure 2, is possible. The effectiveness of the citrate reduction was associated with the presence of the Ca2+ ions and the pH value. Hence, the contents of the citrates in series 1 (Figure 6a) increased during the tests, because the amounts of the provided Ca2+ and the pH declined, as given in Table 2 and Figure 5, especially in the T5 for the processing of S1 and S2. The low citrate concentrations of the series 2 filtrates (Figure 6b) showed that the continuous addition of fresh CaO resulted in a satisfying reduction of the citrates, because the citrate concentrations constantly remained below 1 g/L. The comparison of the citrate contents and the pH values allowed us to conclude that the best results were achieved in an alkaline milieu (pH value > 8).
Figure 6.
Concentration of the citrates in the initial solutions (start, continuous line) and the filtrates of series 1 (a, T1–T6) and series 2 (b, T7–T12) [3].
Table 3.
Concentrations of the citrates and different metal ions of the treated solutions S1, S2, S3, and S4 after the first tests (T1 and T7, respectively) of series 1 and 2 (b.a.l., below the analytical limit of determination) measured by IC and ICP-MS and the reduction (Red.) in percentage with respect to the initial values given in Table 1 [3].
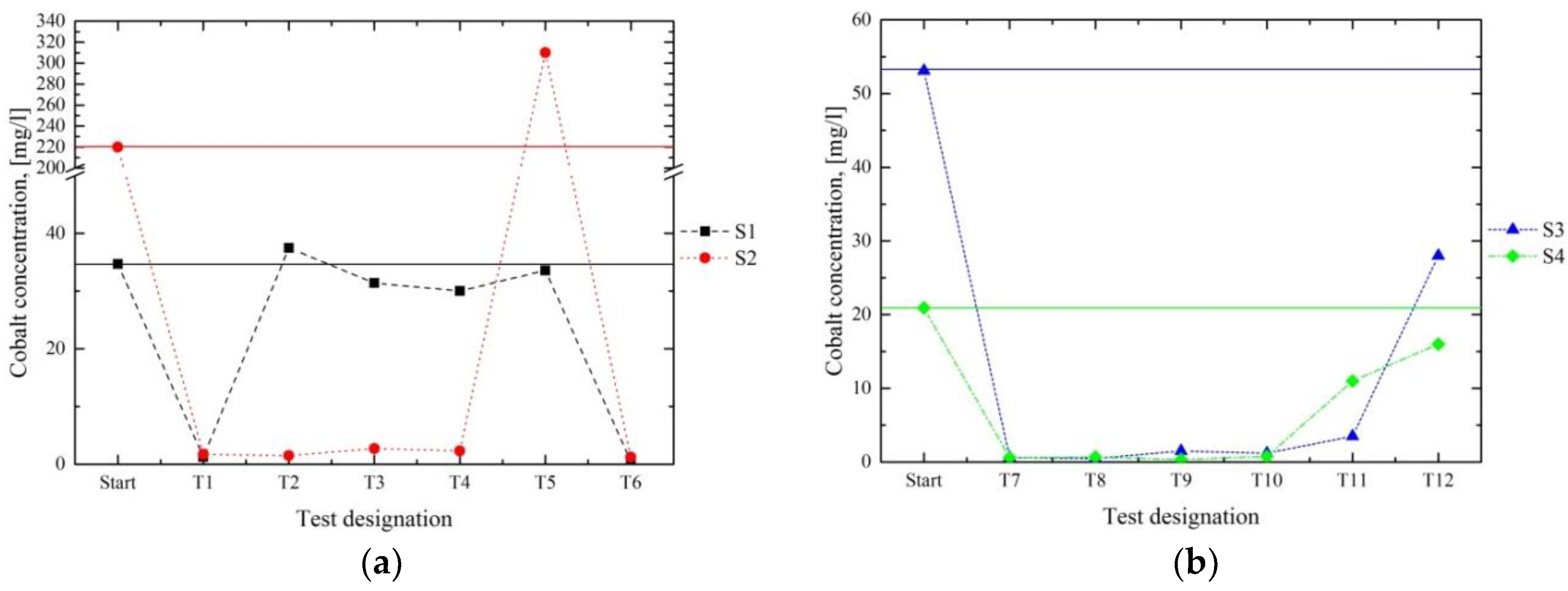
During the precipitation of the calcium citrates, a simultaneous diminution of most other dissolved metal ions occurred. As an example, Table 3 shows the concentrations of the metal ions in the filtrates after the first tests of each series (T1 and T7). Furthermore, Table 3 highlights the reduction in the concentrations in relation to the initial values, given in Table 1. As can be seen, the contents of most of the metal ions, except for W in series 1, were significantly decreased because of the sufficient excess of the added Ca source. For example, a diminution of 96.4% and 99.2% was observed for Co in S1 and S2 in series 1, respectively, and a decrease of 98.8% and 97.2% occurred in S3 and S4 in series 2, respectively, which is of particular importance for this hazardous element. Figure 7, Figure 8, Figure 9, Figure 10 and Figure 11 compare the initial value (start, Table 1) of an ion in the spent stripping solution to its concentration in the treated filtrates (T1–T6 and T7–T12). The values of the filtrates of T1 and T7 of each figure correspond with the values given in Table 3.
Figure 7.
Concentration of cobalt in the initial solutions (start, continuous line) and in the filtrates of series 1 (a, T1–T6) and series 2 (b, T7–T12) [3].
Figure 8.
Concentration of aluminium in the initial solutions (start, continuous line) and in the filtrates of series 1 (a, T1–T6) and series 2 (b, T7–T12) [3].
Figure 9.
Concentration of titanium in the initial solutions (start, continuous line) and in the filtrates of series 1 (a, T1–T6) and series 2 (b, T7–T12) [3].
Figure 10.
Concentration of tantalum (a) and niobium (b) in the initial solutions (start, continuous line) and in the filtrates of series 1 [3].
Figure 11.
Concentration of tungsten in the initial solutions (start, continuous line) and in the filtrates of series 1 (a, T1–T6) and series 2 (b, T7–T12) [3].
Figure 7 and Figure 8 present the results for the Co and Al contents of the filtrates. In series 1 (a), the best results were achieved in the first and the last tests (T1 and T6) for both S1 and S2. Throughout the further processing of S1 in T2–T5, hardly any reduction of Co and Al occurred. During the processing of S2 in series 1, most of the Co and Al contents were removed, except for in T5. The results of series 2 (b) show satisfying results in T7–T10. These results indicated that the separation of Co and Al occurred most successfully in a strongly alkaline milieu at pH 10–12. In principle, the metal concentrations in the filtrate—which exceeded the initial contents in the initial solutions, such as in T5 in the processing of S2 for Co and Al—may be explained by the dissolution of an already-separated metal compound in the reused precipitate.
The graphs, given in Figure 9 and Figure 10a, present the removal of Ti and Ta compared with the initial concentrations. The evaluation of the graphs indicated that in series 1 (Figure 9a, Figure 10a) the best results were achieved in tests T1 and T6, whereas the amount of both elements increased in T2–T5. Series 2 exhibited a satisfying reduction of Ti (Figure 9b) and Ta in each test run. Because the concentrations of Ta in the solutions of T7–T12 were located below the analytical limit, no graph is presented for those tests. Regarding the influence of the pH value, we have concluded that a satisfying diminution of both elements is possible in the alkaline range (pH value > 8).
Figure 10b displays the Nb concentrations before and after the tests in series 1. As seen in Table 1, the amount of Nb in S3 and S4 was located below the analytical limit; hence, the results of series 2 are not presented here. For series 1, no Nb was detected in T1, T2, and T6 for S1. In T3–T5 only a partial diminution was achieved. In the course of the treatment of S2, no Nb was detected in any filtrate. Thus, a pH value > 8 led to the successful reduction of Nb.
Figure 11 shows the W content of the filtrates after the tests and compares them with the initial values. The concentrations in series 1 (Figure 11a) were only diminished significantly in T1 and T6. With respect to series 2 (Figure 11b), the lowest contents of W were reached in the first test T7. These results indicated that it is possible to remove certain amounts of W; nevertheless, this element tended to remain dissolved, which implied that no complete precipitation can be achieved.
Table 4 represents the main components and trace elements of the annealed residues after series 1 and 2, which were analysed by XRF. All four solids comprised calcium oxide as a main component, with 92.9, 88.3, 65.4, and 72.7 wt.%, respectively. CaO was formed by annealing the filter cake at 900 °C in air via stepwise decomposition through the separation of H2O, CO2, and other volatile components. Because the solid was subsequently heated up to 1000 °C prior to the XRF analysis, an ignition loss occurred based on the removal of other volatile substances. Concerning the most important compounds formed by the substrate and coating elements, TiO2 and Al2O3 were especially noteworthy. The content of Al2O3 accounted for 0.07, 0.28, 0.40, and 0.41 wt.% in the residues of S1, S2, S3, and S4, respectively. A clear difference between the two series can be seen regarding the TiO2 contents, with 1.03 and 0.81 wt.% in S1 and S2 of series 1, respectively, and 21.0 and 17.0 wt.% in S3 and S4 of series 2, respectively. This can be explained by the enhanced removal of Ti in series 2 due to the theoretically constant excess of Ca2+ ions and the higher Ti concentration in the initial solutions, as given in Table 1. Other elements, such as Co, W, Ta, and Nb separated to certain extents from the liquid, but their enrichment in the solid merely remained in the ppm range.
Table 4.
Main compounds and trace elements of the annealed precipitates at the end of each test series processing the initial solutions S1, S2, S3, and S4, analysed by X-ray fluorescence (XRF) (I.L., ignition loss) [3].
4. Discussion
The results of this study allowed us to conclude that a removal of citrates from spent stripping solutions based on the proposed method, stated in Figure 2, is possible. The findings of series 1 indicated that the separation rate can be enhanced by the addition of a fresh Ca compound. Hence, a refreshing of the annealed solid, for example, with Ca(OH)2 or CaO appears reasonable. This presumption was confirmed by the outcome of series 2, because the reduction of the pH values in both of the final tests had no negative influence on the removal of the citrates. This follows the fact that the supply of Ca2+ ions due to the addition of a fresh Ca source was sufficient for the formation of calcium citrate.
Parallel to the citrate removal over the course of precipitation, a diminution of various metal ions also occurred. As shown in Table 3, the removal of a high proportion of most of the dissolved ions was observed, especially with a sufficient excess of a Ca source. The decisive factor for this diminution was the pH value. A decline of the pH to 8 (series 2) had no negative influence on the separation rate of the citrates; nevertheless, it led to an increase of several metal ions in the filtrates, as shown by the trend of Co in series 2, as shown in Figure 7. The decrease of the pH in T11 and T12 of series 2 (Figure 5b) can be explained by the aforementioned separation of the metal ions, such as Ti. Therefore, the annealed residue not only consisted of CaO, but also of a certain amount of other metal oxides, such as TiO2. Because an accumulation of these oxides occurred in series 2, the decreasing amount of CaO and the subsequent decline of the pH value became especially apparent in the last tests T11 and T12. This was confirmed by the XRF analyses given in Table 4, because the annealed solid arising from the processing of S3 only consisted of 65.4% CaO; the remaining part comprised various other oxides. As a consequence of this continuous enrichment, the aspired threefold excess from the addition of a fresh Ca source was not reached in the real system. Hence, the theoretical excess resembled the real excess at the beginning of series 2 but declined in further tests. This circumstance could be counteracted by analysing the residue after every test, which would give a better understanding of the oxidic content. The required amount of input material for the XRF measurement needed to be compensated for by adding fresh CaO in the precipitating agent, which constituted a source of error in the subsequent experiments. Because the necessary amount of solid for the analysis approximately corresponds with the mass of the annealed solid for processing 200 mL of the spent stripping solution, this analysis procedure seems to be disadvantageous.
The results of series 1 and 2 for Co and Al (Figure 7 and Figure 8) indicated that a successful removal of these elements is possible, especially in an alkaline medium. The best results were achieved at pH values around 12. For further relevant constituents, such as Ti, Ta, and Nb (Figure 9 and Figure 10), high separation rates were obtained as well, even at a comparatively lower pH value of > 8.
The removal of W (Figure 11) presented a certain challenge, because the solubility of this element strongly depends on the pH value. The results of series 1 indicated that a high excess of Ca2+ ions and the resulting pH values of 12.4 and 12.6 in T6 led to a reduction rate of 83.6% and 78.8% in S3 and S4, respectively. Consequently, no satisfying separation of W, just a certain diminution, was achieved. Nevertheless, these results allowed us to conclude that, at least, the removal of a high proportion of W occurs in a strongly alkaline milieu (pH value > 12).
With respect to the composition of the annealed solids (Table 4) resulting from series 1 (S1 and S2), only a slight enrichment of the separated elements occurred. The content of 6800 ppm W in the annealed precipitate of S1 was attributed to the considerable concentration of 160 mg/L W in the initial solution (Table 1). In contrast, the residue of S2 contained 25,430 ppm Co as a result of the high Co concentration of 220 mg/L in the spent stripping solution. Due to the enhancement in series 2 regarding the addition of a fresh Ca source, an enrichment of 21.0 and 17.0 wt.% TiO2 was achieved. This provides a useful starting base for further investigations concerning the recovery of valuable components. The optimised procedure in series 2, furthermore, led to higher concentrations of W (14,300 and 6510 ppm in S3 and S4, respectively) and Co (11,100 and 4720 ppm in S3 and S4, respectively) in the annealed solid.
5. Conclusions
During the wet chemical decoating of metal cutting tools, as shown in previous studies [1,2,3,4], spent stripping solutions arise which contain, for example, considerable quantities of citrates, Ti, Co, and W. Based on their compositions, these liquids represent a novel type of process residue, which do not resemble any other common by-products of any currently known processes. Therefore, this study was conducted to develop a new, environmentally friendly and low-waste method in a laboratory model to process these spent stripping solutions. A further objective was to transfer the dissolved metal ions into a solid to provide the basis for the recovery of these valuable components.
Finally, the results of the tests have allowed us to conclude that the proposed process (stated in Figure 2) represents a successful, pH-controlled method for processing spent stripping solutions. The treatment of the stripping media with a minimum threefold excess of a Ca source in relation to the citrate ions in the solution enabled the precipitation of a poorly soluble calcium citrate compound in the form of a white, voluminous solid, which can be readily separated. Particularly noteworthy is the fact that this led to the simultaneous reduction of the majority of the dissolved metal ions in the strongly alkaline milieu (pH value > 12). This phenomenon is especially important with respect to hazardous substances, such as Co. The thermal reconditioning step allowed for the reuse of the annealed solid as a precipitating agent for the citrates in the stripping solutions. As a result of this closed-loop process, a minimum amount of process waste was produced, and the enrichment of certain valuable components in the solid was achieved. This method constitutes a suitable, as well as a low-waste, basis for the processing of spent stripping solutions and, furthermore, offers the opportunity to recover valuable constituents due to their accumulation in the annealed solid.
6. Prospects
Because the noteworthy enrichment of several valuable components in the solid product was achieved, based on the closed-loop process, this method represents an effective preliminary step for the recovery of such valuable components. As concentrations of 21.0 and 17.0 wt.% TiO2 in the solids of series 2 were obtained, the focus of future studies will be on the recovery of this constituent. A combination of various pyro- and hydrometallurgical processes should lead to a successful separation of titanium and titanium compounds, respectively. After calcination, the selective leaching of the associated components with different acids at suitable process parameters, including pH, concentration, and temperature, seems feasible. Another possibility may be to use a chloride process to separate undesirable compounds by chlorination. The resulting TiCl4 could be converted into the pigment TiO2 in a further step.
In conclusion, the suggested method leads to the removal of hazardous substances from spent stripping solutions, as well as enabling the satisfying enrichment of the valuable components in the solid product. Therefore, this technique represents a useful basis for the recovery of, for example, titanium or titanium compounds by various pyro- and hydrometallurgical processes.
Author Contributions
Conceptualization, investigation, and methodology, T.E. and M.H.; Formal analysis, T.E., S.L., M.H., H.A. and C.C.; Project administration, S.L.; Resources, C.C.; Supervision, H.A.; Validation, T.E., S.L., H.A. and C.C.; Visualization and original draft preparation, T.E.; and Review and editing of the final manuscript, S.L., H.A. and C.C.
Funding
This research was funded by Austrian Research Promotion Agency (FFG), the grant number was 851894.
Acknowledgments
The authors would like to thank the Austrian Research Promotion Agency and the Austrian Ministry for Transport, Innovation, and Technology, as well as the Federal Ministry of Science, Research, and Economy for supporting this project (FFG project number: 851894).
Conflicts of Interest
The authors declare no conflicts of interest.
References
- Ebner, T.; Kücher, G.; Luidold, S.; Schnideritsch, H.; Czettl, C.; Storf, C.; Antrekowitsch, H. Reuse of metal cutting tools by wet chemical decoating. In Proceedings of the EMC 2015—European Metallurgical Conference, Düsseldorf, Germany, 14–17 June 2015; GDMB Verlag GmbH: Clausthal-Zellerfeld, Germany, 2015; Volume 2, pp. 725–738. [Google Scholar]
- Ebner, T.; Kücher, G. Wet chemical decoating of metal cutting tools. In Proceedings of the EMC 2015—European Metallurgical Conference, Düsseldorf, Germany, 14–17 June 2015; GDMB Verlag GmbH: Clausthal-Zellerfeld, Germany, 2015; Volume 2, pp. 1104–1105. [Google Scholar]
- Ebner, T. Concepts for the Optimization of Cemented Carbide Recycling. Ph.D. Thesis, Montanuniversität Leoben, Leoben, Austria, 2016. [Google Scholar]
- Kücher, G. Chemical Stripping of Cemented Carbides. Master’s Thesis, Montanuniversität Leoben, Leoben, Austria, 2014. [Google Scholar]
- Lassner, E.; Schubert, W.D. Tungsten in Hardmetals. In Tungsten: Properties, Chemistry, Technology of the Element, Alloys, and Chemical Compounds; Kluwer Academic/Plenum Publishers: New York, NY, USA, 1999; pp. 321–324. ISBN 0-306-45053-4. [Google Scholar]
- Schedler, W. Was ist Hartmetall—Was sind Hartstoffe. In Hartmetall Für Den Praktiker: Aufbau, Herstellung, Eigenschaften und Industrielle Anwendung Einer Modernen Werkstoffgruppe; VDI-Verlag: Düsseldorf, Germany, 1988; pp. 1–20. ISBN 9783184008031. [Google Scholar]
- Sicherheitsdatenblatt Citronensäure ≥ 99.5%, p.a., ACS, Wasserfrei. Available online: https://www.carlroth.com/downloads/sdb/de/X/SDB_X863_DE_DE.pdf (accessed on 12 January 2016).
- Sicherheitsdatenblatt Citronensäure Monohydrat zum Entkalken. Available online: https://www.carlroth.com/downloads/sdb/de/1/SDB_1818_DE_DE.pdf (accessed on 12 January 2016).
- Verhoff, F.H. Citric Acid. In Ullmann’s Encyclopedia of Industrial Chemistry, Volume A 7, Chlorophenols to Copper Compounds, 5th ed.; Gerhartz, W., Yamamoto, Y.S., Campbell, F.T., Pfefferkorn, R., Rounsaville, J.F., Eds.; VCH Verlagsgesellschaft mbH: Weinheim, Germany, 1986; pp. 103–108. ISBN 3-527-20107-6. [Google Scholar]
- Al-Khaldi, M.H.; Nasr-El-Din, H.A.; Mehta, S.; Al-Aamri, A.D. Reaction of citric acid with calcite. Chem. Eng. Sci. 2007, 62, 5880–5896. [Google Scholar] [CrossRef]
- Frank, A.C.; Sumodjo, P.T.A. Electrodeposition of cobalt from citrate containing baths. Electrochim. Acta 2014, 132, 75–82. [Google Scholar] [CrossRef]
- Wyrzykowski, D.; Chmurzyński, L. Thermodynamics of citrate complexation with Mn2+, Co2+, Ni2+ and Zn2+ ions. J. Therm. Anal. Calorim. 2010, 102, 61–64. [Google Scholar] [CrossRef]
- Burgos, G.; Birch, G.; Buijse, M. Acid Fracturing with Encapsulated Citric Acid. In Proceedings of the SPE International Symposium and Exhibition on Formation Damage Control, Lafayette, LA, USA, 18–20 February 2004. [Google Scholar]
- Apelblat, A. Solubilities of organic salts of magnesium, calcium and iron in water. J. Chem. Thermodyn. 1993, 25, 1443–1445. [Google Scholar] [CrossRef]
© 2018 by the authors. Licensee MDPI, Basel, Switzerland. This article is an open access article distributed under the terms and conditions of the Creative Commons Attribution (CC BY) license (http://creativecommons.org/licenses/by/4.0/).










