Laser Pulse Effects on Plasma-Sprayed and Bulk Tungsten
Abstract
1. Introduction
2. Materials and Experimental
2.1. Sample Characteristics
2.2. Laser Source
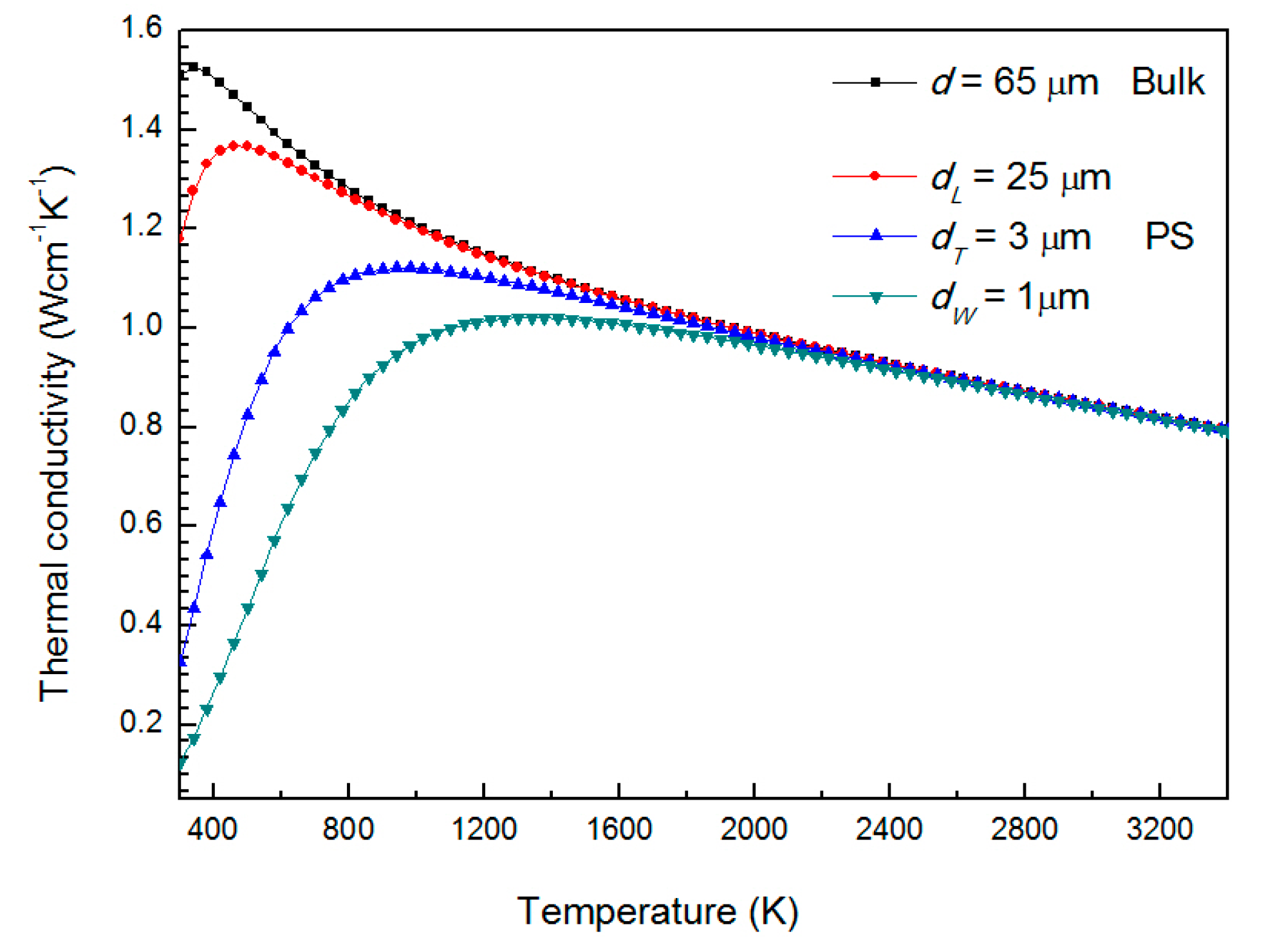
3. Results and Discussion
4. Conclusions
Author Contributions
Conflicts of Interest
References
- Riccardi, B.; Pizzuto, A.; Bertamini, L.; Diotalevi, M.; Viedier, G. Development of tungsten coatings for ITER divertor components. In Proceedings of the 17th IEEE/NPSS Symposium on Fusion Engineering, San Diego, CA, USA, 6–10 October 1997; p. 910. [Google Scholar]
- Riccardi, B.; Pizzuto, A.; Orsini, A.; Libera, S.; Visca, E.; Bertamini, L.; Casadei, F.; Severini, E.; Montanari, R.; Vesprini, R.; et al. Tungsten thick coatings for plasma facing components. Fusion Technol. 1998, 31, 223–226. [Google Scholar]
- Roedig, M.; Kuehnlein, W.; Linke, J.; Merola, M.; Rigal, E.; Schedler, B.; Visca, E. Investigation of tungsten alloys as plasma facing materials for the ITER divertor. Fusion Eng. Des. 2002, 61–62, 135–140. [Google Scholar] [CrossRef]
- Bolt, H.; Barabash, V.; Krauss, W.; Linke, J.; Neu, R.; Suzuki, S.; Nyoshida, N. Materials for the plasma-facing components of fusion reactors. J. Nucl. Mater. 2004, 66–73, 329–333. [Google Scholar] [CrossRef]
- Lipa, M.; Durocher, A.; Tivey, R.; Huber, T.; Schedler, B.; Weigert, J. The use of copper alloy CuCrZr as a structural material for actively cooled plasma facing and in vessel components. Fusion Eng. Des. 2005, 75–79, 469–476. [Google Scholar] [CrossRef]
- Uytdenhouwen, I.; Decreton, M.; Hirai, T.; Linke, J.; Pintsuk, G.; Van Oost, G. Influence of recrystallization on thermal shock resistance of various tungsten grades. J. Nucl. Mater. 2007, 363–365, 1099–1103. [Google Scholar] [CrossRef]
- Maier, H.; Hirai, T.; Rubel, M.; Neu, R.; Mertens, P.; Greuner, H.; Hopf, C.; Matthews, G.F.; Neubauer, O.; Piazza, G.; et al. Tungsten and beryllium armour development for the JET ITER-like wall project. Nucl. Fusion 2007, 47, 222. [Google Scholar] [CrossRef]
- Herrmann, A.; Greuner, H.; Fuchs, J.C.; de Marné, P.; Neu, R. Experiences with tungsten coatings in high heat flux tests and under plasma load in ASDEX Upgrade. Phys. Scr. 2009, 2009, 014059. [Google Scholar] [CrossRef]
- Deschka, S.; Garcia-Rosales, C.; Hohenauer, W.; Duwe, R.; Gauthier, E.; Linke, J.; Lochter, M.; Mallener, W.; Plochl, L.; Rodhammer, P.; et al. Manufacturing and high heat flux loading of tungsten coatings on fine grain graphite for the ASDEX-upgrade divertor. J. Nucl. Mater. 1996, 233–237, 645–649. [Google Scholar] [CrossRef]
- Maier, H. Tungsten erosion in the baffle and outboard regions of the ITER-like ASDEX Upgrade divertor. J. Nucl. Mater. 2004, 335, 515–519. [Google Scholar] [CrossRef]
- Maier, H.; Neu, R.; Greuner, H.; Hopf, C.; Matthews, G.F.; Piazza, G.; Hirai, T.; Counsell, G.; Courtois, X.; Mitteau, R.; et al. Tungsten coatings for the JET ITER-like wall project. J. Nucl. Mater. 2007, 363–365, 1246–1250. [Google Scholar] [CrossRef]
- Hirai, T.; Kreter, A.; Linke, J.; Malzbender, J.; Ohgo, T.; Philipps, V.; Pintsuk, G.; Pospieszczyk, A.; Sakawa, Y.; Sergienko, G. Critical heat flux loading experiments on CVD-W coating in the TEXTOR tokamak. Fusion Eng. Des. 2006, 81, 175–180. [Google Scholar] [CrossRef]
- Yahiro, Y.; Mitsuhara, M.; Tokunakga, K.; Yoshida, N.; Hirai, T.; Ezato, K.; Suzuki, S.; Akiba, M.; Nakashima, H. Characterization of thick plasma spray tungsten coating on ferritic/martensitic steel F82H for high heat flux armor. J. Nucl. Mater. 2009, 386–388, 784–788. [Google Scholar] [CrossRef]
- Hu, D.; Zheng, X.; Niu, Y.; Ji, H.; Chong, F.; Chen, J. Effect of oxidation behavior on the mechanical and thermal properties of plasma sprayed tungsten coatings. J. Therm. Spray Technol. 2008, 17, 377–384. [Google Scholar] [CrossRef]
- Huang, J.J.; Li, X.J.; Chen, J.; Liu, Y.; Qi, B.; Jiang, S.S.; Wang, X.S.; Luo, G.N. Vacuum annealing enhances the properties of a tungsten coating deposited on copper by atmospheric plasma spray. J. Nucl. Mater. 2013, 432, 16–19. [Google Scholar]
- Park, J.Y.; Yang, S.J.; Jin, Y.G.; Chong, R.P.; Kim, G.H.; Han, H.N. Effect of annealing with pressure on tungsten film properties fabricated by atmospheric plasma spray. Met. Mater. Int. 2014, 20, 1037–1042. [Google Scholar] [CrossRef]
- Montanari, R.; Riccardi, B.; Volterri, R.; Bertamini, L. Characterisation of plasma sprayed W-coatings on a CuCrZr alloy for nuclear fusion reactor applications. Mater. Lett. 2002, 52, 100–105. [Google Scholar] [CrossRef]
- Riccardi, B.; Montanari, R.; Casadei, M.; Costanza, G.; Filacchioni, G.; Moriani, A. Optimisation and characterisation of tungsten thick coatings on copper based alloy substrates. J. Nucl. Mater. 2006, 352, 29–35. [Google Scholar] [CrossRef]
- Kaciulis, S.; Mezzi, A.; Montanari, R.; Ucciardello, N.; Volterri, R. Composition of plasma-sprayed tungsten coatings on CuCrZr alloy. Surf. Interface Anal. 2010, 42, 1197–1200. [Google Scholar] [CrossRef]
- Tanabe, T.; Wada, M.; Ohgo, T.; Philipps, V.; Rubel, M.; Huber, A.; Von Seggern, J.; Ohya, K.; Pospieszczyk, A.; Schweer, B. Application of tungsten for plasma limiters in TEXTOR. J. Nucl. Mater. 2000, 283–287, 1128–1133. [Google Scholar] [CrossRef]
- Krieger, K.; Maier, H.; Neu, R. Conclusions about the use of tungsten in the divertor of ASDEX Upgrade. J. Nucl. Mater. 1999, 266–269, 207–216. [Google Scholar] [CrossRef]
- Kubkowska, M.; Skladnik-Sadowska, E.; Kwiatkowski, R.; Malinowski, K.; Kowalska-Strzeciwilk, E.; Paduch, M.; Sadowski, M.J.; Pisarczyk, T.; Chodukowski, T.; Kalinowska, Z.; et al. Investigation of interactions of intense plasma streams with tungsten and carbon fibre composite targets in the PF-1000 facility. Phys. Scr. 2014, 2014, 014038. [Google Scholar] [CrossRef]
- Ouaras, K.; Colina Delacqua, L.; Quirós, C.; Lombardi, G.; Redolfi, M.; Vrel, D.; Hassouni, K.; Bonnin, X. Experimental studies of the interactions between a hydrogen plasma and a carbon or tungsten wall. J. Phys. Conf. Ser. 2015, 59, 012029. [Google Scholar] [CrossRef]
- Merola, M.; Bobin-Vastra, I.; Cardella, A.; Febvre, M.; Giancarli, L.; Salavy, J.F.; Salito, A.; Schedler, B.; Vieider, G. Manufacturing of a full scale baffle prototype for ITER with a CFC and W plasma spray armour. Fusion Eng. Des. 2000, 49–50, 289–294. [Google Scholar] [CrossRef]
- Chong, F.L.; Chen, J.L.; Li, J.G.; Zheng, X.B. Failure behaviors of vacuum plasma sprayed tungsten coatings for plasma facing application. J. Nucl. Mater. 2009, 386–388, 780–783. [Google Scholar] [CrossRef]
- Sadowskia, M.J.; Skladnik-Sadowskaa, E.; Malinowskia, K.; Wołowskib, J.; Marchenkoc, A.K.; Tsarenkoc, A.V. Investigation of laser interaction with tungsten target by means of time-resolved optical spectroscopy. Radiat. Eff. Defects Solids 2008, 163, 569–577. [Google Scholar] [CrossRef]
- Linke, J.; Loewenhoff, T.; Massaut, V.; Pintsuk, G.; Ritz, G.; Rodig, M.; Schmidt, A.; Thomser, C.; Uytdenhouwen, I.; Vasechko, V.; et al. Performance of different tungsten grades under transient thermal loads. Nucl. Fusion 2011, 51, 073017. [Google Scholar] [CrossRef]
- Kurehashi, H.; Ohtsuka, Y.; Ueda, Y.; Kurishita, H. Effects of repeated short heat pulses on tungsten. J. Nucl. Mater. 2011, 417, 487–490. [Google Scholar] [CrossRef]
- Zhou, Z.J.; Song, S.X.; Du, J.; Ge, C.C. High heat flux testing of tungsten plasma facing materials. J. Nucl. Mater. 2007, 367–370, 1468–1471. [Google Scholar] [CrossRef]
- Farid, N.; Harilal, S.S.; El-Atwani, O.; Ding, H.; Hassanein, A. Experimental simulation of materials degradation of plasma-facing components using lasers. Nucl. Fusion 2014, 54, 012002. [Google Scholar] [CrossRef]
- Huber, A.; Arakcheev, A.; Sergienko, G.; Steudel, I.; Wirtz, M.; Burdakov, A.V.; Coenen, J.W.; Kreter, A.; Linke, J.; Mertens, P.; et al. Investigation of the impact of transient heat loads applied by laser irradiation on ITER-grade tungsten. Phys. Scr. 2014, 2014, 014005. [Google Scholar] [CrossRef]
- Richetta, M.; Gaudio, P.; Montanari, R.; Pakhomova, E.; Antonelli, L. Laser pulse simulation of high energy transient thermal loads on bulk and plasma sprayed W for NFR. Mater. Sci. Forum 2017, 879, 1576–1581. [Google Scholar] [CrossRef]
- Deodati, P.; Donnini, R.; Montanari, R.; Ucciardello, N. Microstructural investigation on tungsten for applications in future nuclear fusion reactors. Mater. Sci. Forum 2012, 706–709, 835–840. [Google Scholar] [CrossRef]
- Ciambella, L.; Donnini, R.; Montanari, R. Effects of heat treatments on tungsten for armours in NFR. Mater. Sci. Forum 2014, 783–786, 2353–2358. [Google Scholar] [CrossRef]
- JCPDS-International Centre for Diffraction Data. Available online: http://www.icdd.com/ (accessed on 9 October 2017).
- Francucci, M.; Gaudio, P.; Martellucci, S.; Richetta, M. Spectroscopy methods and applications of the Tor Vergata laser-plasma facility driven by GW-level laser system. Int. J. Spectrosc. 2011, 2011, 792131. [Google Scholar] [CrossRef]
- Bocchini, G.F.; Bovesecchi, G.; Coppa, P.; Corasaniti, S.; Montanari, R.; Varone, A. Thermal diffusivity of sintered steels with flash method at ambient temperature. Int. J. Thermophys. 2016, 37, 38. [Google Scholar] [CrossRef]
- Dong, H.; Wen, B.; Melnik, R. Relative importance of grain boundaries and size effects in thermal conductivity of nanocrystalline materials. Sci. Rep. 2014, 4, 7037. [Google Scholar] [CrossRef] [PubMed]
- Swartz, E.T.; Pohl, R.O. Thermal boundary resistance. Rev. Mod. Phys. 1989, 61, 605. [Google Scholar] [CrossRef]
- Nan, C.-W.; Birringer, R.; Clarke, D.R.; Gleiter, H. Effective thermal conductivity of particulate composites with interfacial thermal resistance. J. Appl. Phys. 1997, 81, 6692–6699. [Google Scholar] [CrossRef]
- Yang, H.-S.; Bai, G.-R.; Thompson, L.; Eastman, J. Interfacial thermal resistance in nanocrystalline yttria-stabilized zirconia. Acta Mater. 2002, 50, 2309–2317. [Google Scholar] [CrossRef]
- Johnson, R.C.; Little, W.A. Experiments on the Kapitza resistance. Phys. Rev. 1963, 130, 596–604. [Google Scholar] [CrossRef]
- Lassner, E.; Schubert, W.-D. Tungsten Properties, Chemistry, Technology of the Element, Alloys, and Chemical Compounds; Springer: New York, NY, USA, 1999. [Google Scholar]








| PS Deposition Parameters | |
|---|---|
| Plasma gas | Argon + Hydrogen |
| Plasma power | 45 kW |
| Torch to substrate distance | 180 mm |
| Torch speed | 800 mm·s−1 |
| Spraying atmosphere | Argon |
| Deposition temperature | <170 °C |
| Properties | PS W (Set 1) | Bulk W (Set 2) |
|---|---|---|
| Density (g·cm−3) | 17.80 | 18.38 |
| Mean grain size (μm) | 6 | 65 |
| Dislocation density ρ (cm−2) | 2.0 × 109 | 1.5 × 1010 |
| Thermal expansion coefficient α (K−1) | 5.5 × 10−6 | 4.5 × 10−6 |
| Young’s modulus E (Gpa) | 82 ± 6 | 339 ± 10 |
| Yield Stress σY (MPa) | 794 | 1190 |
| Micro-hardness (HV) | 300 | 478 |
© 2017 by the authors. Licensee MDPI, Basel, Switzerland. This article is an open access article distributed under the terms and conditions of the Creative Commons Attribution (CC BY) license (http://creativecommons.org/licenses/by/4.0/).
Share and Cite
Montanari, R.; Pakhomova, E.; Pizzoferrato, R.; Richetta, M.; Varone, A. Laser Pulse Effects on Plasma-Sprayed and Bulk Tungsten. Metals 2017, 7, 454. https://doi.org/10.3390/met7110454
Montanari R, Pakhomova E, Pizzoferrato R, Richetta M, Varone A. Laser Pulse Effects on Plasma-Sprayed and Bulk Tungsten. Metals. 2017; 7(11):454. https://doi.org/10.3390/met7110454
Chicago/Turabian StyleMontanari, Roberto, Ekaterina Pakhomova, Roberto Pizzoferrato, Maria Richetta, and Alessandra Varone. 2017. "Laser Pulse Effects on Plasma-Sprayed and Bulk Tungsten" Metals 7, no. 11: 454. https://doi.org/10.3390/met7110454
APA StyleMontanari, R., Pakhomova, E., Pizzoferrato, R., Richetta, M., & Varone, A. (2017). Laser Pulse Effects on Plasma-Sprayed and Bulk Tungsten. Metals, 7(11), 454. https://doi.org/10.3390/met7110454

