Maritime Applications as Motivation for Analytical Calculation of Thermal History in Low-Carbon Mild Steel WAAM Cylinders
Abstract
1. Introduction
1.1. WAAM Technology in Marine Applications
1.2. Current Challenges in Wire Arc Additive Manufacturing (WAAM)
2. Materials and Methods
2.1. Material and Experimental Procedure
2.2. Computational Procedure
3. Results
3.1. Analytical and Experimental Results
3.1.1. Experimental Trial
3.1.2. GMAW Cylinder
3.1.3. PAW Cylinder
3.2. Microstructural Characterization
3.3. Mechanical Properties
3.4. Fractography
4. Discussion
- Experimental trial: No time interval was maintained between the deposition of eight layers. The Rosenthal solution was unsuccessful in accurately predicting the absolute temperature. However, it effectively identified the increasing trend of initial temperatures from layer to layer, aligning the experimental results. It should be emphasized that this adjustment is not derived from rigorous mathematical or physical modeling; instead, it is an illustrative approach that happens to be consistent with the experimental data;
- Fabrication of the GMAW and PAW cylinders: The fabrication process for both cylinders was based on a similar melting rate, with interlayer temperatures set at 453 °C and 250 °C. A key distinction was the higher heat input of PAW, which influenced the microstructure evolution. Both cylinders exhibited microstructures comparable to other WAAM ER70S-6 cylinders and demonstrated similar mechanical properties [25,26];
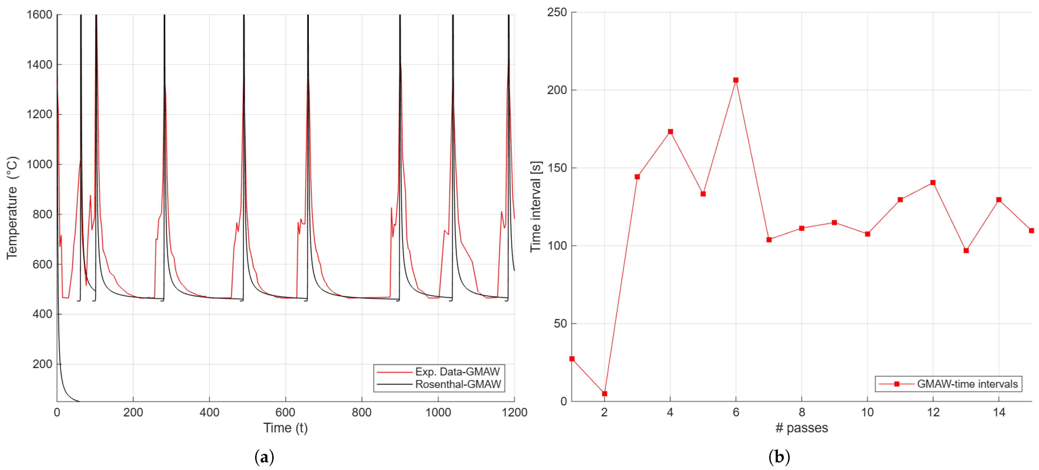
- Application of the Rosenthal Equation: The Rosenthal equation was applied to the cylinders, using the time intervals between layers based on the experimental results. The different degrees of fit to the experimental results for the GMAW and PAW cylinders, as shown in Figure 8a and Figure 9a, are attributed to differences in the experimental measurement of the temperature field. For the GMAW cylinder, the thermal camera continuously measured a specific point during deposition. In contrast, during PAW, the pyrometer was mounted on the torch and therefore did not record solely the temperature of the deposited layer. The analytically calculated thermal history of a spot near the substrate indicated higher cooling rates in the GMAW cylinder, predicting finer grain size. The predicted cooling rate is inconsistent with the observed pearlite content and the microhardness measurements, and these discrepancies are discussed in detail accordingly;
- Use of the Rosenthal solution in WAAM: The study concluded that the absolute temperatures developed during WAAM process cannot be accurately predicted using the Rosenthal equation. However, the equation was a useful tool for forecasting the relative variation in the temperature and consequently the cooling rates. This limitation arises from the inherent characteristics and assumptions of the Rosenthal formulation as outlined below:
- Heat transfer in the Rosenthal equation considers only two-dimensional thermal conduction, neglecting thermal convection and radiation. In the WAAM process, heat conduction primarily occurs in one dimension, while convection and radiation play equally significant roles [2];
- The preheating temperature To in Rosenthal equation is derived from a homogeneous heat treatment of the base metal. As a result, the equation cannot predict temperatures lower than the initial temperature, as it does not account for heat transfer from the heat-treated substrate.
5. Conclusions
Author Contributions
Funding
Data Availability Statement
Acknowledgments
Conflicts of Interest
Abbreviations
| AM | Additive Manufacturing |
| BTF | buy-to-fly |
| CAPEX | Capital Expenditure |
| CCT | Continuous Cooling Transformation |
| CMT | Cold Metal Tranfer |
| CNC | Computed Numerical Control |
| CTWD | Contact to Work Distance |
| DED | Direct Energy Deposition |
| DED-LP | Direct Energy Deposition-Laser Powder |
| FGM | Functionally Graded Material |
| FEM | Finite Element Method |
| GMAW | Gas Metal Arc Welding |
| HAZ | Heat Affected Zone |
| HI | Heat Input |
| MR | Melting rate |
| NETD | Noise Equivalent Temperature Difference |
| ORE | Offshore renewable energy |
| PAW | Plasma Arc Welding |
| PDE | partial differential equation |
| pulsed-TIG | Pulsed Tungsten Inert Gas |
| RA | Reduction of Area |
| SEM | Scanning Electron Microscopy |
| WAAM | Wire Arc Additive Manufacturing |
| WEC | Wave Energy Converter |
| WFS | Wire Feed Speed |
References
- Taşdemir, A.; Nohut, S. An overview of wire arc additive manufacturing (WAAM) in shipbuilding industry. Ships Offshore Struct. 2021, 16, 797–814. [Google Scholar] [CrossRef]
- Sampaio, R.F.V.; Pragana, J.P.M.; Bragança, I.M.F.; Silva, C.M.A.; Nielsen, C.V.; Martins, P.A.F. Modelling of wire-arc additive manufacturing—A review. Adv. Ind. Manuf. Eng. 2023, 6, 100121. [Google Scholar] [CrossRef]
- Ziółkowski, M.; Dyl, T. Possible applications of additive manufacturing technologies in shipbuilding: A review. Machines 2020, 8, 84. [Google Scholar] [CrossRef]
- Govindaraj, R.B.; Junghans, E.; Andersen, I.; ki Lim, Y.; Lindström, P. Additive manufactured marine component – Ni Al bronze propeller. Procedia Struct. Integr. 2021, 34, 20–25. [Google Scholar] [CrossRef]
- Nota, C.; Rückert, G.; Heuzé, J.L.; Carlino, L.; Quenez, J.M.; Courregelongue, L. A first feedback on manufacturing and in-service behaviour of a WAAM-made propeller for naval application. Weld. World 2023, 67, 1113–1121. [Google Scholar] [CrossRef]
- He, T.; Yu, S.; Shi, Y.; Dai, Y. High-accuracy and high-performance WAAM propeller manufacture by cylindrical surface slicing method. Int. J. Adv. Manuf. Technol. 2019, 105, 4773–4782. [Google Scholar] [CrossRef]
- He, T.; Yu, S.; Shi, Y.; Huang, A. Forming and mechanical properties of wire arc additive manufacture for marine propeller bracket. J. Manuf. Process. 2020, 52, 96–105. [Google Scholar] [CrossRef]
- He, T.; Yu, S.; Huang, A.; Yu, G. Path planning and forming of wire multi-arc additive collaborative manufacture for marine propeller bracket. J. Manuf. Process. 2021, 68, 1191–1201. [Google Scholar] [CrossRef]
- Vincent. RAMLAB & Huisman Initiate Consortium to Produce 3D Printed Steel Hook—Ramlab.com. 2018. Available online: https://www.ramlab.com/updates/ramlab-huisman-initiate-consortium-produce-worlds-heaviest-3d-printed-steel-crane-hook/ (accessed on 10 November 2025).
- Chandrasekaran, S.; Hari, S.; Amirthalingam, M. Functionally graded materials for marine risers by additive manufacturing for high-temperature applications: Experimental investigations. Structures 2022, 35, 931–938. [Google Scholar] [CrossRef]
- O’Neill, F.; Mehmanparast, A. A review of additive manufacturing capabilities for potential application in offshore renewable energy structures. Forces Mech. 2024, 14, 100255. [Google Scholar] [CrossRef]
- Choi, H.; Adamczyk, J.M.; Hernandez-Sanchez, B.A.; Koss, E.K.; Noell, P.J.; Spiak, S.R.; Pucket, R.V.; Escarcega-Herrera, K.; Love, A.S.; Karasz, E.; et al. Wire arc additive manufactured A36 steel performance formarine renewable energy systems. Int. J. Adv. Manuf. Technol. 2024, 132, 4677–4688. [Google Scholar] [CrossRef]
- Chen, Z.; Yuan, L.; Pan, Z.; Zhu, H.; Ma, N.; Ding, D.; Li, H. A comprehensive review and future perspectives of simulation approaches in wire arc additive manufacturing (WAAM). Int. J. Extrem. Manuf. 2025, 7, 022016. [Google Scholar] [CrossRef]
- Love, A.; Valdez Pastrana, O.A.; Behseresht, S.; Park, Y.H. Advancing Metal Additive Manufacturing: A Review of Numerical Methods in DED, WAAM, and PBF. Metrology 2025, 5, 30. [Google Scholar] [CrossRef]
- Perret, W.; Schwenk, C.; Rethmeier, M. Comparison of analytical and numerical welding temperature field calculation. Comput. Mater. Sci. 2010, 47, 1005–1015. [Google Scholar] [CrossRef]
- Bendia, R.M.; Lizarralde, F.; Passos, A.V.; Oliveira, V.H.P.M. Dynamic GMAW process model for layer geometry control in wire arc additive manufacturing. In Proceedings of the CHT-21 ICHMT International Symposium on Advances in Computational Heat Transfer, Rio de Janeiro, Brazil, 15–19 August 2021. [Google Scholar] [CrossRef]
- Ríos, S.; Colegrove, P.A.; Martina, F.; Williams, S.W. Analytical process model for wire + arc additive manufacturing. Addit. Manuf. 2018, 21, 651–657. [Google Scholar] [CrossRef]
- Pinkerton, A.J.; Li, L. Modelling the geometry of a moving laser melt pool and deposition track via energy and mass balances. J. Phys. D Appl. Phys. 2004, 37, 1885–1895. [Google Scholar] [CrossRef]
- Shah, N.; Deepu, M.J.; Rahul, M.R.; Phanikumar, G. Microstructure prediction of eutectic high entropy alloy using physical and computer simulation for additive manufacturing condition. J. Alloys Compd. 2022, 929, 167268. [Google Scholar] [CrossRef]
- OK AristoRod 12.50—Esab.com. Available online: https://esab.com/lv/eur_en/products-solutions/product/filler-metals/mild-steel/mig-wires-tig-rods-gmaw-gtaw/ok-aristorod-12-50/ (accessed on 24 January 2025).
- Solid Wires-Voestalpine Böhler Welding—Voestalpine.com. Available online: https://www.voestalpine.com/welding/global-en/products/product-search/solid-wires/#MildSteel4 (accessed on 8 February 2025).
- Henckell, P.; Gierth, M.; Ali, Y.; Reimann, J.; Bergmann, J.P. Reduction of energy input in wire arc additive manufacturing (WAAM) with gas metal arc welding (GMAW). Materials 2020, 13, 2491. [Google Scholar] [CrossRef]
- ISO 6892-1:2019; Metallic Materials — Tensile Testing — Part 1: Method of Test at Room Temperature. International Organization for Standardization (ISO): Geneva, Switzerland, 2019.
- Rosenthal, D. The theory of moving sources of heat and its application to metal treatments. J. Fluids Eng. 1946, 68, 849–865. [Google Scholar] [CrossRef]
- Ron, T.; Levy, G.K.; Dolev, O.; Leon, A.; Shirizly, A.; Aghion, E. Environmental behavior of low carbon steel produced by a wire arc additive manufacturing process. Metals 2019, 9, 888. [Google Scholar] [CrossRef]
- Bellamkonda, P.N.; Sudersanan, M.; Visvalingam, B. A study on tensile properties and microstructural characteristics of wire arc additive manufactured low carbon steel cylindrical components. Weld. Int. 2022, 36, 443–454. [Google Scholar] [CrossRef]
- Thapliyal, S.; Cheng, J.; Mayeur, J.; Yamamoto, Y.; Fernandez-Zelaia, P.; Nycz, A.; Kirka, M.M. Outlook on texture evolution in additively manufactured stainless steels: Prospects for hydrogen embrittlement resistance, overview of mechanical, and solidification behavior. J. Mater. Res. 2024, 39, 48–62. [Google Scholar] [CrossRef]
- Sun, J.; Hensel, J.; Klassen, J.; Nitschke-Pagel, T.; Dilger, K. Solid-state phase transformation and strain hardening on the residual stresses in S355 steel weldments. J. Mater. Process. Technol. 2019, 265, 173–184. [Google Scholar] [CrossRef]
- Piekarska, W.; Goszczyńska, D.; Saternus, Z. Application of analytical methods for predicting the structures of steel phase transformations in welded joints. J. Appl. Math. Comput. Mech. 2015, 14, 61–72. [Google Scholar] [CrossRef]
- Gonzaga, R.A. Influence of ferrite and pearlite content on mechanical properties of ductile cast irons. Mater. Sci. Eng. A Struct. Mater. 2013, 567, 1–8. [Google Scholar] [CrossRef]
- Abdullah, S.N.; Sazali, N.; Jamaludin, A.S. Study of Low Carbon Steel in Rapid Cooling Process: A Short Review. J. Mod. Manuf. Syst. Technol. 2020, 4, 52–59. [Google Scholar] [CrossRef]
- Gladshtein, L.I.; Larionova, N.P.; Belyaev, B.F. Effect of ferrite-pearlite microstructure on structural steel properties. Metallurgist (USSR) 2012, 56, 579–590. [Google Scholar] [CrossRef]














| Material | C | Mn | Si | Fe | |
|---|---|---|---|---|---|
| GMAW cyl. [20] | ER70S-6 | 0.08 | 1.46 | 0.85 | Bal. |
| PAW cyl. [21] | ER70S-6 | 0.08 | 1.45 | 0.9 | Bal. |
| Parameters | GMAW Cylinder | PAW Cylinder |
|---|---|---|
| Wire feed speed [m/min] | 5 | 4.8 |
| Current [A] | 160–190 | 280 |
| Voltage [V] | 20.4–22.5 | 27.5 |
| Travel speed [mm/min] | 400 | 240 |
| Wire width [mm] | 1.2 | 1 |
| Efficiency | 0.8 | 0.6 |
| 82% Ar + 18% CO2 [L/min] | 18 | 15 |
| Heat input [kJ/mm] | 0.3917–0.5130 | 1.134 |
| Melting rate [mm3/s] | 94.24 | 62.8 |
| Arc Thermal Power [W] | 2611.2–3420 | 4620 |
| Feature | GMAW Cylinder | PAW Cylinder |
|---|---|---|
| Height above substrate [mm] | 48.15 | 33.50 |
| Average wall thickness [mm] | 10.90 | 12.60 |
| Average layer height [mm] | 1.16 | 1.8 |
| Cylinder diameter [mm] | 80.20 | 89.60 |
| Model Parameters [Unit] | Symbol | Numerical Value |
|---|---|---|
| Temperature [°C] | T | Calculated |
| Initial Temperature [°C] | To | Defined as described |
| Arc Thermal Power [W] | Q | See Table 2 |
| Thermal Conductivity [W/mm °C] | k | 0.042 |
| Thermal Diffusivity [mm2/s] | α | 11.45 |
| Travel speed [m/s] | u | See Table 2 |
| Coordinates [mm, mm, mm] | (x, y, z) | (0, 0, 0.6) |
| Layer | 1 | 2 | 3 | 4 | 5 | 6 | 7 |
|---|---|---|---|---|---|---|---|
| GMAW Cyl. [ °C/s] | 247.82 | 203.52 | 163.77 | - | - | - | - |
| PAW Cyl. [ °C/s] | 70.39 | 52.35 | 45.85 | 36.41 | 28.72 | 22.08 | 16.38 |
Disclaimer/Publisher’s Note: The statements, opinions and data contained in all publications are solely those of the individual author(s) and contributor(s) and not of MDPI and/or the editor(s). MDPI and/or the editor(s) disclaim responsibility for any injury to people or property resulting from any ideas, methods, instructions or products referred to in the content. |
© 2026 by the authors. Licensee MDPI, Basel, Switzerland. This article is an open access article distributed under the terms and conditions of the Creative Commons Attribution (CC BY) license.
Share and Cite
Lampros, E.; Zervaki, A.D. Maritime Applications as Motivation for Analytical Calculation of Thermal History in Low-Carbon Mild Steel WAAM Cylinders. Metals 2026, 16, 192. https://doi.org/10.3390/met16020192
Lampros E, Zervaki AD. Maritime Applications as Motivation for Analytical Calculation of Thermal History in Low-Carbon Mild Steel WAAM Cylinders. Metals. 2026; 16(2):192. https://doi.org/10.3390/met16020192
Chicago/Turabian StyleLampros, Eleftherios, and Anna D. Zervaki. 2026. "Maritime Applications as Motivation for Analytical Calculation of Thermal History in Low-Carbon Mild Steel WAAM Cylinders" Metals 16, no. 2: 192. https://doi.org/10.3390/met16020192
APA StyleLampros, E., & Zervaki, A. D. (2026). Maritime Applications as Motivation for Analytical Calculation of Thermal History in Low-Carbon Mild Steel WAAM Cylinders. Metals, 16(2), 192. https://doi.org/10.3390/met16020192

