Data-Driven Method for Predicting S-N Curve Based on Structurally Sensitive Fatigue Parameters
Abstract
1. Introduction
2. Materials and Methods
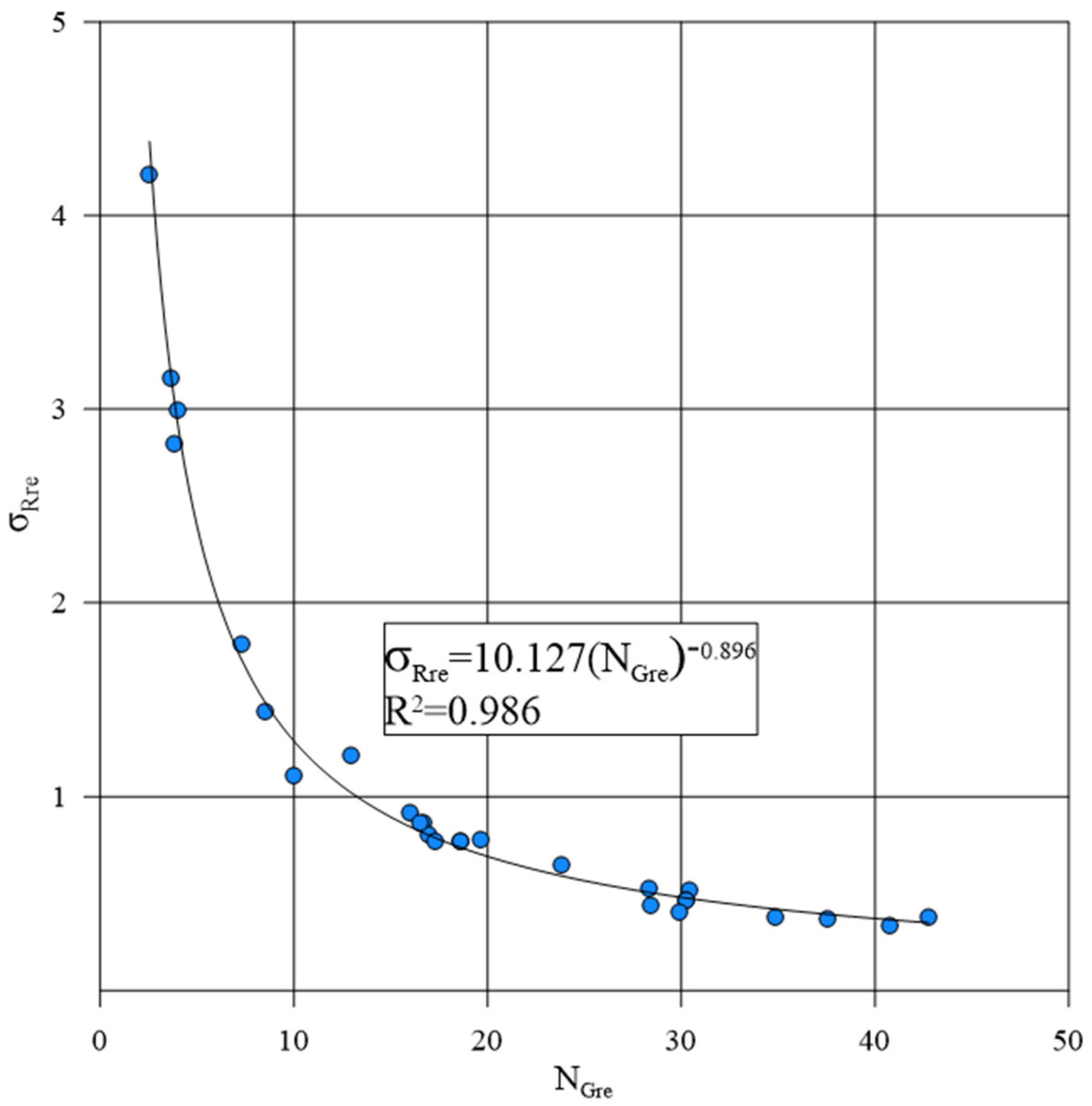
2.1. Prediction of Recalculated Fatigue Parameters Using a Generalized Dependence of Recalculated Fatigue Parameters
2.2. Prediction of Recalculated Fatigue Parameters Using a Limited Generalized Dependence of Recalculated Fatigue Parameters
2.3. Prediction of Recalculated Fatigue Parameters Using an Artificial Neural Network (ANN) Generating a Family of Limited Generalized Dependencies of Recalculated Fatigue Parameters
2.4. Evaluation of the Recalculated Fatigue Parameters Prediction Accuracy
2.5. General Diagram of the Relationships Between the Proposed Methods for Predicting S-N Curves Based on the Use of the Recalculated Fatigue Parameters
3. Results
4. Discussion
5. Conclusions
- The numerous experiments performed up to now on high-cycle fatigue metals have allowed for the accumulation of extensive arrays of empirical information, which, on the one hand, enables the development of methods for predicting the parameters of high-cycle fatigue to account for the influence of individual factors or groups of factors; but, on the other hand, it is not suitable for joint use due to its fragmented nature and the different goals and objectives set by researchers when planning their experimental work. The use of a reduction ore recalculation procedure and the transition from the traditional form of high-cycle fatigue parameters to their recalculated analogs makes it feasible to determine a practically functional dependence for the recalculated parameters of high-cycle fatigue of metals in the case where they have a so-called break point in the high-cycle region of the fatigue curve. This relationship of the recalculated fatigue parameters can be used as a foundation for creating a universal technique for predicting the parameters of high-cycle fatigue. However, the desire to obtain a universal dependence leads, as a consequence, to a decrease in the precision of forecasting the parameters of high-cycle fatigue for a specific set of operating parameters.
- In order to enhance the accuracy of forecasting high-cycle fatigue strength and life parameters for metals with the help of the relationship of the recalculated parameters of high-cycle fatigue, it is necessary to take into account the deviation of a specific set of recalculated variables of high-cycle fatigue parameters from the average state on the generalized dependence that has been performed using a relationship of the recalculated fatigue parameters. By considering together in the space of recalculated parameters the results of fatigue tests for fatigue curves obtained under identical conditions in the set of operating parameters, it is possible to obtain the parameters of limited generalized dependencies of the recalculated fatigue parameters and the relevant combinations of operating factors. For individual conditions (sets of operating factors), the accuracy of predicting the strength limit value and the fatigue life of the “knee” point in the high-cycle area when constructing the S-N curve within a log-coordinate system are insufficient in all cases. In order to improve the prediction accuracy, it is proposed to select from the generalized dependence such experimental results (fatigue curves) that correspond to certain sets of operating factors and, based on the results of their joint consideration and comparison, to estimate for them the parameters of the relationship of the recalculated fatigue parameters, called limited generalized dependences. The use of such dependences allows for increasing the prediction accuracy. At the same time, as the tuning of the prognostic model to the problem being solved increases, the accuracy in determining the fatigue parameters increases.
- As a rule, when comparing and generalizing experimental data, it is quite difficult to find the number of fatigue curves obtained under identical conditions to obtain limited generalized dependencies. This complicates the derivation of limited generalized dependencies for any combination of factors. However, the obtained results can already be used as a training set for training an ANN generating parameters for limited generalized dependencies of recalculated fatigue parameters. The somewhat lower prediction accuracy of such an ANN compared to the case of using an experimental limited generalized dependency is compensated for by the versatility of the ANN, which allows estimating parameters for other dependencies even in the absence of the required amount of experimental data.
- However, the developed method has insurmountable shortcomings related to its specific features. The method is applicable to predicting fatigue curves containing a breakpoint in the high-cycle region. Therefore, the method will be unsuitable for certain materials and conditions where there is no breakpoint in the high-cycle region. It can also be assumed that the absence of experimental data obtained under specific conditions (e.g., under ionizing radiation or for welded specimens) in the generalized dependence of the presented fatigue resistance parameters precludes the use of the developed prediction method for such objects.
- Conducting verification calculations to assess the accuracy of fatigue curve prediction in the high-cycle region by comparing independent experimental data that were not included in either the generalized dependence or the limited generalized dependences of the recalculated fatigue parameters demonstrated a sufficiently high accuracy of the predictions made. In particular, when using the generalized dependence and limited generalized dependences, the error in determining the recalculated strength did not exceed 5%, and the error in determining the recalculated durability did not exceed 20%. The accuracy of the prediction using limited generalized dependences obviously depends on the correctness of the choice of fatigue curves for obtaining the parameters of the limited generalized dependences, of which there should be at least three to obtain dependences of the same type (exponential functions). Moreover, the evaluation of the parameters of limited generalized dependences makes it possible to form a training sample for an artificial neural network, which can be used to predict fatigue parameters even in the case when a specific set of experimental fatigue curves for estimating the parameters of the limited generalized dependences of the recalculated fatigue parameters is not available. The use of neural network-generated parameters of a limited generalized dependence for the verification calculations considered made it possible to obtain an error in determining the recalculated strength of about 20%, and the recalculated durability of less than 30%.
- Focusing on generalizing experimental data on metal fatigue published in the literature leads to a lack of the ability to methodically correctly conduct a study, for example, of the influence of various factors on the fatigue curve shift in the space of recalculated fatigue parameters and, consequently, on the fatigue parameters due to the lack of the required amount of data of the required composition in the studied sets of factors. In order to obtain the parameters of a limited generalized dependence, we require a minimum of three fatigue curves. Analyzing the available data for samples made of steel 35, it was revealed that when switching in the calculation from a limited generalized dependence constructed using three coinciding factors to a limited generalized dependence constructed for 9 coinciding factors, the accuracy in determining both the recalculated strength and the recalculated durability increases, respectively, from 5 to 1.2% for the recalculated strength and from 2 to 0.3% for the recalculated durability. The addition of each new coinciding factor in the calculation of the parameters of a limited generalized dependence consistently reduces the error in determining the recalculated fatigue parameters.
- It is obvious that the practical application of the developed method is associated with the solution of the problem of reducing the testing of laboratory samples and full-scale components due to the accelerated determination of the position of the breaking point of the fatigue curve in the high-cycle region with subsequent experimental verification of the obtained value. The possible absence of limited generalized dependencies calculated on the basis of data from the parameter database is compensated for by the possibility of calculating their values using an artificial neural network. The revealed nature of limited generalized dependencies (in the form of exponential dependencies with two coefficients), on the one hand, simplified the procedure for generating parameters of the artificial neural network, and on the other hand, provides an opportunity for quantitative study of the influence of individual factors and complexes of factors on the position of the fatigue curve in the space of recalculated fatigue parameters, and after recalculating the recalculated fatigue parameters into their traditional form of presentation and for assessing the effect on the fatigue parameters on the endurance limit and on the abscissa of the breaking point of the fatigue curve in the high-cycle region.
Author Contributions
Funding
Data Availability Statement
Conflicts of Interest
Abbreviations, Designations and Symbols
| AI | Artificial Intelligence |
| Coefficients in approximating exponential dependencies linking the recalculated values of the fatigue limit and the abscissa of the inflection point of the fatigue curve with the structurally sensitive parameter of fatigue expressed in the form of the tangent of the angle of inclination of the left branch of the fatigue curve to the axis of the number of cycles in the high-cycle region | |
| ANN | Artificial Neural Network |
| ASC | As-delivered condition |
| BNN | Bayesian neural network |
| BPNN | Backpropagation Neural Network |
| CNN | Convolutional Neural Network |
| GAN | Generative Adversarial Networks |
| GPR | Gaussian Process Regression |
| GVBN | Gaussian Variational Bayes Network |
| HT | Heat treatment |
| HV | Vickers Hardness |
| k | The index of the generalized dependence in the family. k = 1 corresponds to the generalized dependence of the recalculated fatigue parameters. Other values of k correspond to various limited generalized dependences. |
| KLS | Loading scheme coefficient |
| KSF | The shape factor of the cross-section of the specimen |
| KSG | Steel grade coefficient |
| KT | Temperature coefficient |
| “knee” point | The inflection point (breaking point) of the fatigue curve in the high-cycle region when represented in a system of logarithmic coordinates |
| LPMs | Lifetime prediction methods |
| ML | Machine learning |
| MSE | Mean squared error |
| NLS | The serial number of the loading scheme in the coding table |
| NS | The serial number of the cross-sectional shape in the coding table |
| NSG | The serial number of the steel grade in the coding table |
| ReLU | Rectified Linear Unit—activation function in deep learning |
| RMSE | Root Mean Squared Error |
| S-N curve (S-N plot) | Fatigue curve in the coordinate system “stress–number of cycles”. In this article, in most cases, we mean the high-cycle region of the fatigue curve, constructed in a logarithmic (sometimes called “double logarithmic” in the literature) coordinate system |
| UZF | Ultrasonic frequency |
| VAE | Variational Autoencoder |
| Short-term tensile strength, [MPa] | |
| Elongation at break, [%] | |
| Density, [kg/m3] | |
| Stress, [MPa] | |
| Loading cycle number | |
| A conditional, physically unrealizable value of the decimal logarithm of the stress at which the extended left branch of the fatigue curve from the high-cycle region intersects the ordinate axis in a logarithmic coordinate system | |
| A conditional, physically unrealizable value of the decimal logarithm of the number of cycles at which the extended left branch of the fatigue curve from the high-cycle region intersects the abscissa axis in a logarithmic coordinate system | |
| The stress, [MPa], corresponding to the fatigue limit | |
| The ordinate of the fatigue curve breaking point in the field of high-cycle fatigue | |
| The abscissa of the fatigue curve breaking point in the field of high-cycle fatigue | |
| The slope of the left branch of the fatigue curve in a semi-logarithmic coordinate system | |
| The structure-sensitive parameter of metal fatigue in a logarithmic coordinate system—the slope of the left branch of the fatigue curve in a logarithmic coordinate system | |
| Recalculated fatigue parameters: | |
| Recalculated strength | |
| Recalculated fatigue life | |
| Recalculated inclination angle | |
| Fatigue parameters corresponding to the breaking point of the fatigue curve in the high-cycle region, presented in a logarithmic coordinate system, experimentally obtained | |
| Recalculated fatigue parameters corresponding to the breaking point of the fatigue curve in the high-cycle region, presented in a logarithmic coordinate system | |
| Recalculated fatigue parameters corresponding to the breaking point of the fatigue curve in the high-cycle region, presented in a logarithmic coordinate system, experimentally obtained | |
| Predicted values of the recalculated fatigue parameters corresponding to the breaking point of the fatigue curve in the high-cycle region, obtained using the generalized dependence of the recalculated fatigue parameters and the experimentally obtained value tgαWre.exp | |
| Predicted values of the recalculated fatigue parameters corresponding to the breaking point of the fatigue curve in the high-cycle region, obtained using the limited generalized dependence of the recalculated fatigue parameters and the experimentally obtained value tgαWre.exp | |
| The errors in determining the fatigue parameters using the generalized dependence of the recalculated fatigue parameters | |
| The errors in determining the fatigue parameters using the limited generalized dependence of the recalculated fatigue parameters | |
| The errors in determining the recalculated fatigue parameters | |
References
- Chapetti, M.D.; Gubeljak, N.; Kozak, D. Intrinsic Fatigue Limit and the Minimum Fatigue Crack Growth Threshold. Materials 2023, 16, 5874. [Google Scholar] [CrossRef]
- Fukami, M.; Oguma, N.; Guennec, B.; Horikawa, N.; Sakai, T. Effects of Loading Modes on Fatigue Limit Estimation in Terms of Rotating Bending Fatigue and Rate Process Theory. Appl. Sci. 2024, 14, 477. [Google Scholar] [CrossRef]
- Zhang, L.; Wang, G.; Ji, X.; Zhang, S.; Lei, H. Study on Axial Fatigue Performance and Life Prediction of High-Strength Bolts at Low Temperatures. Buildings 2024, 14, 2615. [Google Scholar] [CrossRef]
- Sun, Y.; Peng, X.; Bi, G. Study on S-N Curve and Fatigue Limit of Drill Pipe in Offshore Short-Radius Sidetracking Process. Processes 2024, 12, 1828. [Google Scholar] [CrossRef]
- Ewing, J.A.; Humfrey, J.W.C. The fracture of metals under repeated alternations of stress. Philos. Trans. R. Soc. 1903, 200, 241–253. [Google Scholar] [CrossRef]
- Troshchenko, V.T. Fatigue and Inelasticity of Metals; Dumka Sciences: Kyiv, Ukraine, 1971. [Google Scholar]
- Troshchenko, V.T. High-Cycle Fatigue and Inelasticity of Metals. In Multiaxial Fatigue Design; ESIS 21; Pineau, A., Gailletaud, G., Lindley, T.E., Eds.; Mechanical Engineering Publications: London, UK, 1996; pp. 335–358. [Google Scholar]
- Grebenik, V.M. Fatigue Strength and Durability of Metallurgical Equipment; Mashinostroenie: Moscow, Russia, 1969; 256p. [Google Scholar]
- Shetulov, D.I. On the assessment of fatigue resistance of metals based on damage to surface anomalous layers. Phys.–Chem. Mech. Materials 1984, 6, 117. [Google Scholar]
- Shetulov, D.I.; Andreev, V.V. Forecasting the durability of machine parts according to non-standard physical and mechanical parameters of structural materials. Izv. Akad. Nauk USSR. Met. 1998, 3, 55–59. [Google Scholar]
- Shetulov, D.I.; Andreev, V.V.; Myasnikov, A.M. Dislocation model of nucleation and development of slip bands and their effect on service life of structural materials subject to cyclic loading. Phys. Atom. Nuclei 2015, 78, 1374–1381. [Google Scholar] [CrossRef]
- Troshchenko, V.T.; Sosnovsky, L.A. Fatigue Resistance of Metals and Alloys; Nauk. Dumka: Kyiv, Ukraine, 1987; 1303p. [Google Scholar]
- Andreev, V.V. Endurance Limit of Metals on the Generalized Dependence of the Reduced Parameters of Fatigue Resistance; Nizhny Novgorod State Technical University: Nizhny Novgorod, Russia, 2003; 304p. [Google Scholar]
- Papuga, J. New technologies for sharing research data and costs. Procedia Eng. 2010, 2, 855–864. [Google Scholar] [CrossRef]
- Papuga, J. A survey on evaluating the fatigue limit under multiaxial loading. Int. Jnl. Fatigue 2011, 33, 153–165. [Google Scholar] [CrossRef]
- Papuga, J.; Parma, S.; Lutovinov, M.; Růžička, M. Building a Foundation for Benchmarks for Fatigue Prediction Methods—The FinLiv Database. Procedia Eng. 2015, 101, 372–379. [Google Scholar] [CrossRef]
- IMA Dresden. WIAM® METALLINFO Criteria of Choice. Available online: https://wiam.de/en/products/wiam-metallinfo/ (accessed on 1 June 2025).
- Available online: https://www.matdat.com/Contact.aspx (accessed on 1 June 2025).
- Guo, Q.; Ma, H.; Lu, Y.; Wang, S.; Chen, Q. Experimental study on fatigue performance of corroded high-strength bolts under axial force. J. Constr. Steel Res. 2023, 207, 107952. [Google Scholar] [CrossRef]
- Jung, D.H.; Kwon, J.K.; Woo, N.S.; Kim, Y.J.; Goto, M.; Kim, S. S–N Fatigue and Fatigue Crack Propagation Behaviors of X80 Steel at Room and Low Temperatures. Metall. Mater. Trans. A 2014, 45, 654–662. [Google Scholar] [CrossRef]
- Guennec, B.; Ueno, A.; Sakai, T.; Takanashi, M.; Itabashi, Y. Effect of the loading frequency on fatigue properties of JIS S15C low carbon steel and some discussions based on micro-plasticity behavior. Int. J. Fatigue 2014, 666, 29–38. [Google Scholar] [CrossRef]
- Bennett, P.E. Parameter Representation of Low-Temperature Yield Behavior of Body-Centered Cubic Transition Metals. J. Fluids Eng. 1966, 88, 518–524. [Google Scholar] [CrossRef]
- Nishihara, T.; Murase, O. The Effects of the repeating Speeds on the Fatigue of metallic Materials. Trans. Jpn. Soc. Mech. Eng. 1951, 17, 107–113. [Google Scholar] [CrossRef]
- Ando, Z.; Kato, Y.; Watari, H. An Experiment on Fatigue of Low Carbon Steel at High Temperatures. Trans. Jpn. Soc. Mech. Eng. 1956, 22, 851–855. [Google Scholar] [CrossRef]
- Tsutsumi, N.; Murakami, Y.; Doquet, V. Effect of test frequency on fatigue strength of low carbon steel. Fatigue Fract. Eng. Mater. Struct. 2009, 32, 473–483. [Google Scholar] [CrossRef]
- Gusenkov, A.P. Strength Under Isothermal and Nonisothermal Loading; Nauka: Moscow, Russia, 1979; 295p. [Google Scholar]
- Andreev, V.V. A method for assessing the fatigue resistance of metals based on the reduction procedure. News Univ. Ferr. Metall. 2005, 9, 68. [Google Scholar]
- Kurkin, A.; Khrobostov, A.; Andreev, V.; Andreeva, O. Assessing and Forecasting Fatigue Strength of Metals and Alloys under Cyclic Loads. Materials 2024, 17, 1489. [Google Scholar] [CrossRef] [PubMed]
- Andreev, V.V. Diagnosis of changes in material structure using generalized fatigue resistance criteria. Control Diagn. Mech. Eng. 2005, 6, 61–64. [Google Scholar]
- Andreev, V.; Andreeva, O. Generalization of Experimental Information and identification of Patterns in the Behavior of Metals and Alloys under Fatigue Loading Based on the Mapping of Fatigue Curves into Reduced Spaces. GraphiCon 2019—Computer Graphics and Vision. In Proceedings of the 29th International Conference on Computer Graphics and Vision, Bryansk, Russia, 23–26 September 2019; pp. 256–260. [Google Scholar] [CrossRef]
- Weber, F.; Wagner, A.; Koziol, J.; Weber, F.; Broeckmann, C.; Starke, P. Consideration of Statistical Approaches Within the Accelerated Assessment of Fatigue Properties of Metallic Materials. Metals 2025, 15, 191. [Google Scholar] [CrossRef]
- Weber, F.; Wu, H.; Starke, P. A new short-time procedure for fatigue life evaluation based on the linear damage accumulation by Palmgren–Miner. Int. J. Fatigue 2023, 172, 107653. [Google Scholar] [CrossRef]
- Weber, F.; Maul, M.; Juner, F.; Starke, P. A nonlinear lifetime prediction method for un- and low alloyed steels by damage determination based on non-destructive measurement techniques. Fatigue Fract. Eng. Mater. Struct. 2024, 47, 1566–1583. [Google Scholar] [CrossRef]
- Wu, B.; Wei, Q.; Yang, Y.; Kou, Y.; Li, X. A new fatigue damage prediction model applicable to multi-slope S-N curves. Appl. Ocean. Res. 2024, 149, 104050. [Google Scholar] [CrossRef]
- Murakami, Y.; Takagi, T.; Wada, K.; Matsunaga, H. Essential structure of S-N curve: Prediction of fatigue life and fatigue limit of defective materials and nature of scatter. Int. J. Fatigue 2021, 146, 106138. [Google Scholar] [CrossRef]
- Zhang, D.; Li, X.; Han, X.; Zhang, Q.; Wang, S. Unified fatigue life prediction method for Q450NQR1 lockbolt joints using structural stress. J. Constr. Steel Res. 2025, 227, 109333. [Google Scholar] [CrossRef]
- Li, J.; Cao, X.; Chen, R.; Zhao, C.; Li, Y.; Huang, X. Prediction of remaining fatigue life of metal specimens using data-driven method based on acoustic emission signal. Appl. Acoust. 2023, 211, 109571. [Google Scholar] [CrossRef]
- Bai, S.; Huang, T.; Li, Y.-F.; Lu, N.; Huang, H.-Z. A probabilistic fatigue life prediction method under random combined high and low cycle fatigue load history. Reliab. Eng. Syst. Saf. 2023, 238, 109452. [Google Scholar] [CrossRef]
- Rana, H.; Ibrahimbegovic, A. A Hybrid Physics-Informed and Data-Driven Approach for Predicting the Fatigue Life of Concrete Using an Energy-Based Fatigue Model and Machine Learning. Computation 2025, 13, 61. [Google Scholar] [CrossRef]
- Fan, J.-L.; Zhu, G.; Zhu, M.-L.; Xuan, F.-Z. A data-physics integrated approach to life prediction in very high cycle fatigue regime. Int. J. Fatigue 2023, 176, 107917. [Google Scholar] [CrossRef]
- Yang, D.; Jin, A.; Li, Y. A Novel Physics-Guided Neural Network for Predicting Fatigue Life of Materials. Appl. Sci. 2024, 14, 2502. [Google Scholar] [CrossRef]
- Liu, Z.; Li, X.; Wang, Z.; Li, B.; Liu, K.; Wang, L. Multiaxial Fatigue Life Prediction of Metallic Specimens Using Deep Learning Algorithms. Comput. Mater. Continua. 2025, 86, 1–18. [Google Scholar] [CrossRef]
- Zhang, S.; Xia, J.; Chen, K.; Zhang, D. A hybrid model based on LSTM-CNN combined with attention mechanism for MPC concrete strength prediction. J. Build. Eng. 2024, 97, 110779. [Google Scholar] [CrossRef]
- Tognan, A.; Patanè, A.; Laurenti, L.; Salvati, E. A Bayesian defect-based physics-guided neural network model for probabilistic fatigue endurance limit evaluation. Comput. Methods Appl. Mech. Eng. 2024, 418, 116521. [Google Scholar] [CrossRef]
- He, G.; Zhao, Y.; Yan, C. Uncertainty quantification in multiaxial fatigue life prediction using Bayesian neural networks. Eng. Fract. Mech. 2024, 298, 109961. [Google Scholar] [CrossRef]
- Zhang, H.; Deng, Y.; Chen, F.; Luo, Y.; Xiao, X.; Lu, N.; Liu, Y.; Deng, Y. Fatigue life prediction for orthotropic steel bridge decks welds using a Gaussian variational bayes network and small sample experimental data. Reliab. Eng. Syst. Saf. 2025, 264, 111406. [Google Scholar] [CrossRef]
- Gonchar, A.V.; Andreeva, O.V.; Anosov, M.S. Study of fatigue failure of construction steels by using modern methods of digital processing of microstructural images. Mater. Today Proc. 2021, 38, 1701–1705. [Google Scholar] [CrossRef]
- He, G.; Zhao, Y.; Yan, C. A data augmentation method for multiaxial fatigue life prediction based on physics-informed tabular generative adversarial network. J. Phys. Conf. Ser. 2024, 2816, 012048. [Google Scholar] [CrossRef]
- He, G.; Zhao, Y.; Yan, C. A physics-informed generative adversarial network framework for multiaxial fatigue life prediction. Fatigue Fract. Eng. Mater. Struct. 2023, 46, 4036–4052. [Google Scholar] [CrossRef]
- Chen, D.; Li, Y.; Liu, K.; Li, Y. A physics-informed neural network approach to fatigue life prediction using small quantity of samples. Int. J. Fatigue 2023, 166, 107270. [Google Scholar] [CrossRef]
- Arvanitis, K.; Nikolakopoulos, P.; Pavlou, D.; Farmanbar, M. Machine learning-based fatigue lifetime prediction of structural steels. Alex. Eng. J. 2025, 125, 55–66. [Google Scholar] [CrossRef]
- Li, S.; Zhan, Z.; Zou, J.; Wang, Z. Research on Fatigue Life Prediction Method of Spot-Welded Joints Based on Machine Learning. Materials 2025, 18, 3542. [Google Scholar] [CrossRef] [PubMed]
- Schubnell, J.; Fliegener, S.; Rosenberger, J.; Feth, S.; Braun, M.; Beiler, M.; Baumgartner, J. Data-driven fatigue assessment of welded steel joints based on transfer learning. Weld World 2025, 69, 2223–2238. [Google Scholar] [CrossRef]
- Jie, Z.; Zheng, H.; Zhang, L. Machine learning-based fatigue life prediction of double-sided U-rib welded joints considering multiple factors. Int. J. Fatigue 2025, 201, 109187. [Google Scholar] [CrossRef]
- Zhukov, V.A.; Morinets, T.K. Evaluation of the Effect of Plastic Deformation on the Damageability of Materials by the Nature of Changes in Fatigue Strength. In Strength of Metals Under Cyclic Loads; Nauka: Moscow, Russia, 1967; pp. 76–82. [Google Scholar]
- Zamikhovskiy, V.S. Endurance of steels with different carbon content after diffusion boriding. Phys.-Chem. Mech. Mater. 1968, 3, 368–369. [Google Scholar]
- Liskevich, I.Y.; Tkachenko, N.N.; Babei, Y.I.; Karpenko, G.V. Effect of the method of smelting low-carbon steel on its static and cyclic strength at elevated temperatures. Phys.-Chem. Mech. Mater. 1968, 4, 467–470. [Google Scholar]
- Pokhmurskii, V.I.; Krokhmalny, A.M.; Yurkiv, O.N. Study of the process of corrosion fatigue of steels with anodic coatings. Phys.-Chem. Mech. Mater. 1974, 3, 57–61. [Google Scholar]
- Karpenko, G.V.; Tkachenko, N.N.; Koliushko, B.F.; Zafiiovskii, Y.M.; Tabinskii, K.P. Methodology of corrosion fatigue tests of materials with rigid loading in environments at elevated temperatures and pressures. Phys.-Chem. Mech. Mater. 1971, 2, 82–84. [Google Scholar]
- Bichuya, A.L.; Toropovskaya, I.N. Evaluation of protective properties of structural metals in the Pb-Vi eutectic. Phys.-Chem. Mech. Mater. 1972, 3, 55–59. [Google Scholar]
- Svistun, R.P. Effect of specimen sizes on the cyclic strength of steel under pulsating tension. Phys.-Chem. Mech. Mater. 1982, 2, 114–116. [Google Scholar]
- Levitsky, M.O.; Kalichak, T.N.; Zaverbny, D.M.; Pokhmursky, V.I. Machine for fatigue testing of flat specimens under soft and hard loading. Phys.-Chem. Mech. Mater. 1981, 6, 116–117. [Google Scholar]
- Koliushko, B.F.; Liskevich IYu Kalichak, T.N.; Potapov, V.V. Corrosion-fatigue failure of low-carbon and austenitic stainless steel at elevated temperatures and periodic exposure to working environments. Phys.-Chem. Mech. Mater. 1973, 2, 14–16. [Google Scholar]
- Tkachenko, N.N.; Kulban, B.I.; Svistun, R.P. On the mechanism of the environment’s effect on the cyclic strength of steels. Phys.-Chem. Mech. Mater. 1976, 1, 74–81. [Google Scholar]
- Bolotin, V.V. Fundamentals of the Theory of Reliability of Mechanical Systems. Strength. Stability. In Oscillations: Reference: In 3 Volumes; Birger, I.A., Panovko, Y.G., Eds.; Mashinostroenie: Moscow, Russia, 1968; Volume 1, pp. 164–182. [Google Scholar]
- Babey, Y.I.; Slobodjan, Z.V.; Soprunyuk, N.G.; Romanova, L.Y. Inhibitory protection of heat exchange equipment. Phys.-Chem. Mech. Mater. 1982, 6, 67–69. [Google Scholar]
- Pavlov, P.A.; Kadyrbekov, B.A.; Ainabekov, A.I. Study of the effect of high-parameter water on the kinetics of multi-cycle fatigue damage to steel. Probl. Strength 1983, 12, 11–14. [Google Scholar]
- Ivanets, V.I. Influence of grinding type and absolute dimensions of parts on corrosion-fatigue strength of steel. Phys.-Chem. Mech. Mater. 1975, 5, 85–88. [Google Scholar]
- Karpenko, G.V.; Pokhmursky, V.I.; Kalichak, T.N. Methodology for testing materials for fatigue at elevated temperatures and periodic wetting with a liquid corrosive medium. Plant Lab 1971, 10, 1234–1245. [Google Scholar]
- Karpenko, G.V.; Pokhmursky, V.I.; Kalichak, T.N. Efficiency of strengthening martensitic stainless steels by surface plastic deformation. Vestn. Mech. Eng. 1972, 10, 70–72. [Google Scholar]
- Kalichak, T.N.; Pokhmursky, V.I.; Poberezhny, Y.L.; Alekseenko, M.F.; Mel’nikova, N.N. Effect of some galvanic and non-metallic coatings on the endurance of martensitic stainless steel. Phys.-Chem. Mech. Mater. 1972, 4, 12–15. [Google Scholar]
- Karpenko, G.V.; Kalichak, T.N.; Pokhmursky, V.I.; Galkun, S.I.; Oleinik, T.F. On the stability of surface work hardening on martensitic stainless steels. Phys.-Chem. Mech. Mater. 1971, 2, 113–115. [Google Scholar]
- Taraevsky, S.I.; Kuslitsky, A.B. Fracture of rod steels in a hydrogen sulfide-containing environment. Phys.-Chem. Mech. Mater. 1983, 3, 88–89. [Google Scholar]
- Kamenev, A.S.; Loshak, M.G.; Smaglenko, F.P. Increasing the corrosion-fatigue strength of 20Kh13 and 09Kh17N7Yu steels used for the manufacture of propeller shafts. Phys.-Chem. Mech. Mater. 1978, 2, 84–88. [Google Scholar]
- Volkov, I.A.; Igumnov, L.A.; Shishulin, D.N.; Boev, E.V. Numerical modeling of fatigue life of structural steels under single-frequency and dual-frequency loading. Bull. Russ. Acad. Sci. Solid State Mech. 2022, 1, 103–121. [Google Scholar] [CrossRef]
- Volkov, I.A.; Igumnov, L.A.; Sikarev, S.N.; Shishulin, D.N.; Volkov, A.I. Modeling the fatigue life of polycrystalline structural alloys under the combined action of low- and high-cycle fatigue mechanisms. Probl. Strength Plast. 2019, 81, 305–323. [Google Scholar]
- Bezhenov, S.A.; Bezhenov, A.I. On the issue of geometric and energy interpretation of parameters of the multi-cycle fatigue diagram. Bull. Engine Build. 2006, 1, 45–52. [Google Scholar]
- Bezhenov, S.A.; Sobolevskaya, T.D. Study of the influence of chemical composition and structure of carbon steels on the characteristics of fatigue resistance. New Mater. Technol. Metall. Mech. Eng. 2007, 1, 20–26. [Google Scholar]
- Zavoichinskaya, E.B.; Kablin, A.R. On unified continuous fatigue curves of different scale-structural levels under multi- and gigacycle loading of metals and alloys. Bulletin of Tula State University. Tech. Sci. 2023, 7, 130–134. [Google Scholar]
- Nguyen Ngoc, T.; Kapralov, V.M.; Kolenko, G.S. Influence of loading frequencies on the fatigue resistance of materials. Sci. Tech. Statements St. Petersb. Polytech. Univ. Nat. Eng. Sci. 2019, 25, 68–77. [Google Scholar] [CrossRef]















| Parameter | Meaning | ||
|---|---|---|---|
| 1 | Material brand | A0 | |
| 2 | Analogs | Aluminum 1100, ENAW-1100 | |
| 3 | Application | Technical grade aluminum | |
| 4 | Classification | Primary aluminum | |
| 5 | Chemical composition, in [%]: | Si | less than 0.95 |
| Mn | less than 0.05 | ||
| Ti | less than 0.02 | ||
| Al | minimum 99 | ||
| Cu | less than 0.05 | ||
| Mg | less than 0.05 | ||
| Zn | less than 0.1 | ||
| 6 | Short-term tensile strength , [MPa] | 60 | |
| 7 | Elongation at break , [%] | 20–30 | |
| 8 | Density , [kg/m3] at temperature t = 20 °C | 2700 | |
| Calculation Option | Mark [Steel 35] | Test Environment [Air] | Loading Scheme [Bending with Rotation] | Frequency [50 Hz] | Shape [Round Section] | Temperature [20 °C] | Processing [Grinding] |
|---|---|---|---|---|---|---|---|
| 40 | + | + | + | ||||
| 41 | + | + | + | ||||
| 42 | + | + | + | ||||
| 43 | + | + | + | ||||
| 44 | + | + | + | + | |||
| 45 | + | + | + | + | |||
| 46 | + | + | + | + | |||
| 47 | + | + | + | + | + | + | |
| 48 | + | + | + | + | + | + | + |
| N | Predictive Model | Note (Source of Experimental Data for Assessing Forecast Accuracy) | |||||
|---|---|---|---|---|---|---|---|
| Generalized Dependence | Limited Generalized Dependence for Steel 20 | Limited Generalized Dependence Generated by ANN | |||||
| , % | , % | , % | , % | , % | , % | ||
| 1 | Y11 = 4.55 | X11 = 0.16 | Y21 = 4.07 | X21 = 7.8 | Y31 = 15.2 | X31 = 26.4 | [62], Figure 1, a, line 1 |
| 2 | Y12 = 1.03 | X12 = 0.41 | Y22 = 0.4 | X22 = 7.72 | Y32 = 18.3 | X32 = 29.2 | [62], Figure 1, a, line 2 |
| 3 | Y13 = 4.46 | X13 = 8.26 | Y23 = 4.25 | X23 = 15.7 | Y33 = 16.3 | X33 = 24.1 | [62], Figure 1, a, line 3 |
Disclaimer/Publisher’s Note: The statements, opinions and data contained in all publications are solely those of the individual author(s) and contributor(s) and not of MDPI and/or the editor(s). MDPI and/or the editor(s) disclaim responsibility for any injury to people or property resulting from any ideas, methods, instructions or products referred to in the content. |
© 2025 by the authors. Licensee MDPI, Basel, Switzerland. This article is an open access article distributed under the terms and conditions of the Creative Commons Attribution (CC BY) license (https://creativecommons.org/licenses/by/4.0/).
Share and Cite
Kurkin, A.; Khrobostov, A.; Andreev, V.; Andreeva, O. Data-Driven Method for Predicting S-N Curve Based on Structurally Sensitive Fatigue Parameters. Metals 2025, 15, 1384. https://doi.org/10.3390/met15121384
Kurkin A, Khrobostov A, Andreev V, Andreeva O. Data-Driven Method for Predicting S-N Curve Based on Structurally Sensitive Fatigue Parameters. Metals. 2025; 15(12):1384. https://doi.org/10.3390/met15121384
Chicago/Turabian StyleKurkin, Andrey, Alexander Khrobostov, Vyacheslav Andreev, and Olga Andreeva. 2025. "Data-Driven Method for Predicting S-N Curve Based on Structurally Sensitive Fatigue Parameters" Metals 15, no. 12: 1384. https://doi.org/10.3390/met15121384
APA StyleKurkin, A., Khrobostov, A., Andreev, V., & Andreeva, O. (2025). Data-Driven Method for Predicting S-N Curve Based on Structurally Sensitive Fatigue Parameters. Metals, 15(12), 1384. https://doi.org/10.3390/met15121384

