Quenching Internal Stress Evolution and Shape Control in Gigapascal Ultra-High-Strength Martensitic Steel
Abstract
1. Introduce
2. Research Methodology
2.1. Development of a Coupled Model
2.2. Phase Transformation Kinetic Model for Dynamic Cooling Process
2.2.1. Phase Transformation Model Parameters
2.2.2. Continuous Cooling Transformation Kinetic Equation
2.2.3. Phase Transformation Plasticity and Latent Heat of Phase Transformation
2.2.4. Heat Transfer Mathematical Model for Heat Treatment Process
2.3. Model Development for the Evolution Behavior of Quenching Internal Stress
3. Results and Discussion
3.1. Single-Side Cooling Condition
3.2. Influence of Martensitic Dynamic Phase Transformation on Internal Stress
3.2.1. Phase Transformation Behavior at Different Thickness Positions in the Longitudinal Section
3.2.2. Phase Transformation Behavior Across the Width
3.3. The Influence Pattern of Quenching Process on the Temperature Drop of Steel Plate
3.3.1. Influence of Plate Thickness on the Quenching Cooling Temperature Variation Curves
3.3.2. Influence of Water Ratio on the Quenching Cooling Temperature Variation
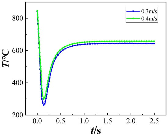
3.3.3. Influence of Roll Speed on the Quenching Cooling Temperature Variation
3.4. Control Technology for Quenching Stress in Martensitic Ultra-High-Strength Steel
3.4.1. Application of Ordered Heat Exchange Technology and Flexible Temperature Field Control Technology During the Cooling Process
3.4.2. Full-Plate High Flatness Control Technology During Quenching
4. Application Effectiveness
5. Conclusions
- (1)
- The established temperature-phase transformation-stress coupled model comprehensively accounts for the effects of heat exchange, phase transformation, and phase transformation latent heat, achieving high accuracy. The construction of this high-precision coupled model provides a theoretical foundation for understanding the stress distribution and deformation behavior of gigapascal-grade ultra-high-strength steel plates during cooling under complex conditions.
- (2)
- During single-side cooling, the cooled surface contracts and concaves due to lower temperature and phase transformation. When a single-side cooling device moves along the plate, the cooled surface undergoes an evolution from concavity to transverse bending deformation. During double-side cooling, if the upper and lower surfaces cool asynchronously, inconsistencies in temperature and martensitic phase transformation-induced expansion between the surfaces lead to flatness issues.
- (3)
- The study systematically reveals the influence of plate thickness, water ratio, and roller speed on the internal stress and deformation of gigapascal-grade steel plates during quenching. Key technologies were developed for gigapascal-grade steel plates, including precise cooling water control at different phase transformation stages, ordered heat exchange during cooling, flexible temperature field control, and full-plate high flatness control during quenching.
- (4)
- The related technologies have been successfully applied on-site. The transverse bending deformation of TS-1500 MPa was controlled within −0.3–0.3 mm, and that of TS-1800 MPa within −0.75–0.75 mm, far exceeding the levels achieved by domestic and international peers and positioning the technology at an internationally leading level.
Author Contributions
Funding
Data Availability Statement
Conflicts of Interest
References
- Zhang, X.H.; Wu, Z.M.; Xie, J.; Hu, X.; Shi, C.J. Trends toward lower-carbon ultra-high performance concrete (UHPC)—A review. Constr. Build. Mater. 2024, 420, 135602. [Google Scholar] [CrossRef]
- Cheng, Q.; Yang, B.; Lu, X.C.; Ye, P.H.; Zhang, C.; Chen, X.; Wang, Q.Y.; Liu, Z.D.; Cao, W.Q.; Ma, X.L.; et al. Heterostructure optimization reshapes the strength-ductility synergy in a lightweight steel. J. Mater. Sci. Technol. 2026, 252, 217–231. [Google Scholar] [CrossRef]
- Lan, H.F.; Liu, S.Y.; Xu, P.L.; Tang, S.; Du, L.X. Tailoring bainitic transformation and mechanical properties in high-strength steel via Mn-induced chemical heterogeneity. Mater. Lett. 2026, 404, 139583. [Google Scholar] [CrossRef]
- Hussain, M.; Ye, Z.N.; Zheng, B.W.; Lam, C.M.; Hsu, S.C.; Chan, T.M. Sustainable design of high-strength steel structural components: Process-based life cycle assessment with uncertainty and sensitivity analysis. J. Constr. Steel Res. 2026, 236, 110002. [Google Scholar] [CrossRef]
- Li, J.H.; Zhan, D.P.; Jiang, Z.H.; Zhang, H.S.; Yang, Y.K.; Zhang, Y.P. Progress on improving strength-toughness of ultra-high strength martensitic steels for aerospace applications: A review. J. Mater. Res. Technol.-JMRT 2023, 23, 172–190. [Google Scholar] [CrossRef]
- Saeidi, K.; Zapata, D.L.; Lofaj, F.; Kvetkova, L.; Olsen, J.; Shen, Z.J.; Akhtar, F. Ultra-high strength martensitic 420 stainless steel with high ductility. Addit. Manuf. 2019, 29, 100803. [Google Scholar] [CrossRef]
- Hafeez, M.A.; Farooq, A. Microstructural, mechanical and tribological investigation of 30CrMnSiNi2A ultra-high strength steel under various tempering temperatures. Mater. Res. Express 2018, 5, 016505. [Google Scholar] [CrossRef]
- Pirouznia, P.; Andersson, N.A.; Tilliander, A.; Jönsson, P.G. An investigation of the temperature distribution of a thin steel strip during the quenching step of a hardening process. Metals 2019, 9, 675. [Google Scholar] [CrossRef]
- Barbosa, F.V.; Teixeira, S.F.F.; Teixeira, J.C.F. Convection from multiple air jet impingement—A review. Appl. Therm. Eng. 2023, 218, 119307. [Google Scholar] [CrossRef]
- Ye, Y.Q.; Fu, T.L.; Liu, G.H.; Wang, G.D. Numerical study on the heat transfer of confined air-jet quenching of steel sheets. Metals 2024, 14, 377. [Google Scholar] [CrossRef]
- Perzynski, K.; Pyzynski, K.; Swierczynski, S.; Pidvysots’kyy, V.; Klis, J.; Madej, L. Influence of the roll leveler setup parameters on the quality of high-strength steel leveling operation. Int. J. Adv. Manuf. Technol. 2022, 120, 1203–1217. [Google Scholar] [CrossRef]
- Zhang, Q.D.; Lin, X.; Cao, Q.; Sun, C.Y.; Zhang, L.Y.; Zhang, B.Y. Flatness evolution of cold-rolled high-strength steel strips during quenching process. Adv. Mech. Eng. 2017, 9, 1687814017748236. [Google Scholar] [CrossRef]
- Xing, W.; Wang, C.Y.; Linghu, K.Z.; Wang, Z.; Ma, K. Research on the influence of uneven cooling after rolling on plate shape. Sichuan Metall. 2024, 46, 31–36. [Google Scholar]
- Zhang, H.H.; Liang, Q.; Huang, Y.J.; Zhang, Z.J. Application of measures to improve steel plate cooling uniformity in 3450 mm production line of SGIS. Wide Heavy Plate 2019, 25, 21–24. [Google Scholar]
- Wang, K.M.; Xiong, W.M.; Xiao, Y.; Yang, J.Y.; Luo, C.Q.; Fu, Y.Y. Influence factors analysis and control measurement of quenching shape of thin gauge wear-resistant steel plate with the thickness of 6 mm. Jiangxi Metall. 2019, 39, 30–33. [Google Scholar]
- Chen, M.X.; Yi, C.H.; Hua, H.; Xu, Q.L. Research and application of homogenization cooling technology for 1100 MPa grade ultra-high strength steel. MW Met. Form. 2022, 7, 80–83. [Google Scholar]
- Abdollahi, P.; Amirsadeghi, A.; Kheirandish, K.; Mirdamadi, S. Formation kinetics of austenite in pearlitic ductile iron. Int. J. Miner. Metall. Mater. 2012, 19, 506–510. [Google Scholar] [CrossRef]
- Cayron, C. Continuous atomic displacements and lattice distortion during fcc-bcc martensitic transformation. Acta Mater. 2015, 96, 189–202. [Google Scholar] [CrossRef]
- Koistinen, D.P.; Marburger, R.E. A general equation prescribing the extent of theaustenite-martensite transformation in pure iron-carbon alloys and plain carbonsteels. Acta Metall. 1959, 7, 59–60. [Google Scholar] [CrossRef]
- Andrews, K.W. Empirical formulae for the calculation of some transformation temperatures. J. Iron Steel Inst. 1965, 203, 721–727. [Google Scholar]
- Retzl, P.; Mayer, W.; Krizan, D.; Kozeschnik, E. Simulation of carbo-nitride precipitation in the multi-phase microstructure of micro-alloyed transformation-induced plasticity steel. Steel Res. Int. 2021, 92, 2000197. [Google Scholar] [CrossRef]
- Coret, M.; Calloch, S.; Combescure, A. Experimental study of the phase transformation plasticity of 16MND5 low carbon steel under multiaxial loading. Int. J. Plast. 2002, 18, 1707–1727. [Google Scholar] [CrossRef]
- Taleb, L.; Cavallo, N.; Waeckel, F. Experimental analysis of transformation plasticity. Int. J. Plast. 2001, 17, 1–20. [Google Scholar] [CrossRef]
- Meena, P.; Anant, R. Residual stress formation and distortion in austenitic AISI304 steel pipe weldment with consideration of latent heat using novel prescribed weld temperature. J. Mater. Eng. Perform. 2025, 34, 5933–5949. [Google Scholar] [CrossRef]
- Cui, M.; Xu, B.B.; Lv, J.; Gao, X.W.; Zhang, Y.W. Numerical solution of multi-dimensional transient nonlinear heat conduction problems with heat sources by an extended element differential method. Int. J. Heat Mass Transf. 2018, 126, 1111–1119. [Google Scholar] [CrossRef]
- GB/T 709-2019; Dimension, Shape, Weight and Tolerance for Hot-Rolled Steel Strip, Plate and Sheet. Standardization Administration of the People’s Republic of China: Beijing, China, 2019.
















| Generated Microstructure | Ferrite (F) | Pearlite (P) | Bainite (B) | Martensite (M) |
|---|---|---|---|---|
| ΔH/(J/m3) | 5.9 × 108 | 6.0 × 108 | 6.2 × 108 | 6.5 × 108 |
| Grade | Specification | Water Flow Density/(m3·min−1·m−2) | Roller Table Speed/(m·min−1) | Flatness /(mm·m−1) | |
|---|---|---|---|---|---|
| Upper | Lower | ||||
| TS-1500 MPa | 8 × 2000 | 1.0 | 1.5 | 30 | 1.9 |
| 1.0 | 1.3 | 30 | 1.8 | ||
| 1.0 | 1.0 | 30 | 1.6 | ||
| TS-1800 MPa | 8 × 2000 | 1.0 | 1.5 | 20 | 1.5 |
| 1.0 | 1.3 | 20 | 1.2 | ||
| 1.0 | 1.1 | 20 | 1.3 | ||
| 1.0 | 1.0 | 20 | 1.6 | ||
Disclaimer/Publisher’s Note: The statements, opinions and data contained in all publications are solely those of the individual author(s) and contributor(s) and not of MDPI and/or the editor(s). MDPI and/or the editor(s) disclaim responsibility for any injury to people or property resulting from any ideas, methods, instructions or products referred to in the content. |
© 2025 by the authors. Licensee MDPI, Basel, Switzerland. This article is an open access article distributed under the terms and conditions of the Creative Commons Attribution (CC BY) license (https://creativecommons.org/licenses/by/4.0/).
Share and Cite
Chen, Z.; Peng, Y.; Shen, X.; Wang, X.; Liu, H. Quenching Internal Stress Evolution and Shape Control in Gigapascal Ultra-High-Strength Martensitic Steel. Metals 2025, 15, 1298. https://doi.org/10.3390/met15121298
Chen Z, Peng Y, Shen X, Wang X, Liu H. Quenching Internal Stress Evolution and Shape Control in Gigapascal Ultra-High-Strength Martensitic Steel. Metals. 2025; 15(12):1298. https://doi.org/10.3390/met15121298
Chicago/Turabian StyleChen, Zigang, Yan Peng, Xinjun Shen, Xiaonan Wang, and Hongyan Liu. 2025. "Quenching Internal Stress Evolution and Shape Control in Gigapascal Ultra-High-Strength Martensitic Steel" Metals 15, no. 12: 1298. https://doi.org/10.3390/met15121298
APA StyleChen, Z., Peng, Y., Shen, X., Wang, X., & Liu, H. (2025). Quenching Internal Stress Evolution and Shape Control in Gigapascal Ultra-High-Strength Martensitic Steel. Metals, 15(12), 1298. https://doi.org/10.3390/met15121298

