An Ultrasonic Vibration-Assisted Superplastic Forming Method for Zr-Based Bulk Amorphous Alloys: Experiment and Simulation
Abstract
1. Introduction
2. Materials and Methods
3. Results
4. Discussion
5. Conclusions
- (1)
- The experimental results demonstrate that applying ultrasonic vibration during the deformation of amorphous alloys leads to a reduction in rheological stress with increasing input amplitude. At an amplitude of 9 μm, the rheological stress is reduced by 30% relative to the conventional loading condition. Under an ultimate load of 1300 N, the maximum sample deformation increases by 11%, confirming that ultrasonic vibration assistance enhances the superplastic formability of amorphous alloys.
- (2)
- The finite element simulation results indicate that ultrasonic vibration induces periodic separation at the interface between the pressure plate and the sample, leading to a corresponding periodic disappearance of friction force. Macroscopically, this manifests as a reduction in effective friction. However, due to the low viscosity of the supercooled liquid and the occurrence of viscous welding, the vibration adversely affects the surface morphology of the sample, thereby degrading its surface quality.
- (3)
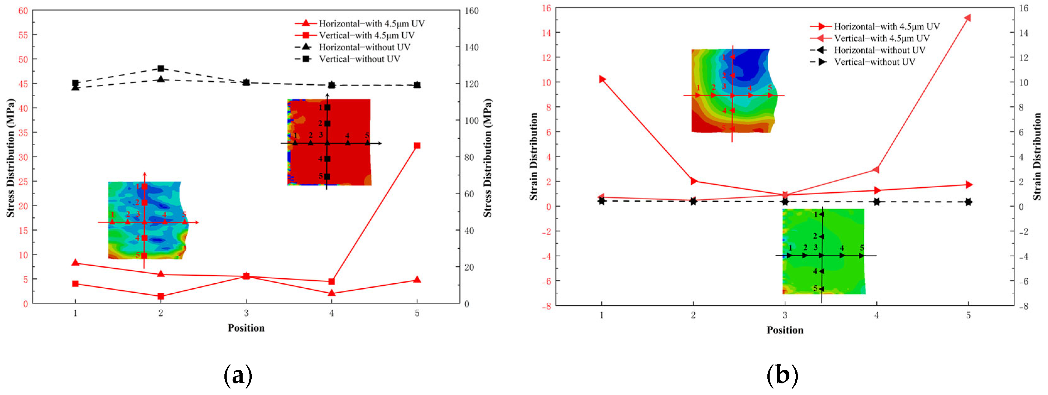
- Ultrasonic vibration leads to a significant reduction in the principal stress and an increase in plastic strain within the sample. Given that the supercooled liquid of amorphous alloys exhibits non-Newtonian fluid behavior, the introduction of ultrasonic vibration generates an additional strain rate, which reduces the material’s viscosity and consequently enhances its filling capability. An empirical relationship describing the apparent viscosity as a function of amplitude is expressed as η = 6.511 × 109–1.265 × 108 e0.311a.
Author Contributions
Funding
Data Availability Statement
Acknowledgments
Conflicts of Interest
References
- Sohrabi, S.; Fu, J.N.; Li, L.Y.; Zhang, Y.; Li, X.; Sun, F.; Ma, J.; Wang, W.H. Manufacturing of Metallic Glass Components: Processes, Structures and Properties. Prog. Mater. Sci. 2024, 144, 101283. [Google Scholar] [CrossRef]
- Schroers, J. Processing of Bulk Metallic Glass. Adv. Mater. 2010, 22, 1566–1597. [Google Scholar] [CrossRef]
- Najgebauer, M.; Chwastek, K.; Szczyglowski, J. Energy Efficient Distribution Transformers. Prz. Elektrotechniczny 2011, 2, 111–114. [Google Scholar]
- He, F.; Zhi, J.Y.; He, Z.J.; Tian, Y.L.; Zhao, Z.Y.; Xie, J.L. Preparation of Low Thermal Expansion Transparent LAS Glass-ceramics via Simplified Heat-treatment Method. Ceram. Int. 2024, 50, 41654–41663. [Google Scholar] [CrossRef]
- Kim, W.J.; Ma, D.S.; Jeong, H.G. Superplastic Flow in a Zr65Al10Ni10Cu15 Metallic Glass Crystallized during Deformation in a Supercooled Liquid Region. Scr. Mater. 2003, 49, 1067–1073. [Google Scholar] [CrossRef]
- Wang, G.; Shen, J.; Sun, J.F.; Huang, Y.J.; Zou, J.; Lu, Z.P.; Stachurski, Z.H.; Zhou, B.D. Super Plasticity and Superplastic Forming Ability of a Zr-Ti-Ni-Cu-Be Bulk Metallic Glass in the Supercooled Liquid Region. J. Non-Cryst. Solids 2005, 351, 209–217. [Google Scholar] [CrossRef]
- Gong, P.; Wang, S.B.; Liu, Z.; Chen, W.; Li, N.; Wang, X.Y.; Yao, K.F. Lightweight Ti-Based Bulk Metallic Glasses with Superior Thermo plastic Formability. Intermetallics 2018, 98, 54–59. [Google Scholar] [CrossRef]
- Song, S.M.; Liao, Y.C.; Li, T.H.; Lee, C.K.; Tasi, P.H.; Jang, J.S.C.; Huang, J.C. Thermoplastic Deformation Behavior of a Fe-Based Bulk Metallic Glass within the Supercooled Liquid Region. J. Mater. Res. Technol. 2019, 8, 1907–1914. [Google Scholar] [CrossRef]
- Savaedi, Z.; Motallebi, R.; Mirzadeh, H.; Malekan, M. Superplasticity of Bulk Metallic Glasses (BMGs): A review. J. Non-Cryst. Solids 2022, 583, 121503. [Google Scholar] [CrossRef]
- Liu, S.S.; Hou, C.N.; Wang, E.G.; Peng, J. Plastic Rheological Behaviors of Zr61Cu25Al12Ti2 and Zr52.5Cu17.9Ni14.6Al10Ti5 Amorphous Alloys in the Supercooled Liquid Region. Acta Metall. Sin. 2022, 58, 807–815. [Google Scholar]
- Yang, K.; Fan, X.H.; Li, B.; Li, Y.L.; Wang, X. Optimisation of Superplastic Processing Parameters for a TiZrHfBeCuNi High Entropy Bulk Metallic Glass in the Supercooled Liquid Region. J. Mater. Res. Technol. 2022, 24, 1911–1921. [Google Scholar] [CrossRef]
- Li, J.L.; Li, C.Y.; Wang, S.P.; Wang, H.B.; Kou, S.Z. Thermal Processing Map and Thermoplastic Forming Map of Zr-Based Bulk Metallic Glass in the Super cooled Liquid Region. J. Non-Cryst. Solids 2021, 570, 121008. [Google Scholar] [CrossRef]
- Lou, Y.; He, J.S.; Chen, H.; Long, M. Effects of Vibration Amplitude and Relative Grain Size on the Rheological Behavior of Copper during Ultrasonic-assisted Microextrusion. Int. J. Adv. Manuf. Technol. 2017, 89, 2421–2433. [Google Scholar] [CrossRef]
- Xie, Z.D.; Guan, Y.J.; Zhu, L.H.; Zhai, J.Q.; Lin, J.; Yu, X.H. Investigations on the Surface Effect of Ultrasonic Vibration-assisted 6063 Aluminum Alloy Ring Upsetting. Int. J. Adv. Manuf. Technol. 2018, 96, 4407–4421. [Google Scholar] [CrossRef]
- Xie, Z.D.; Guan, Y.J.; Zhu, L.H.; Zhai, J.Q.; Lin, J.; Yu, X.H. Constitutive Model of 6063 Aluminum Alloy under the Ultrasonic Vibration Upsetting Based on Johnson-Cook Model. Ultrasonics 2019, 96, 1–9. [Google Scholar] [CrossRef]
- Wan, W.Q.; Ying, Z.D.; Han, G.C.; Yang, M.; Hu, J.T.; Liu, F.C.; Xun, L.H.; Bai, W.; Chen, H. Mechanical Properties and Microstructure Evolution of T2 Copper in Multimodal Ultrasonic Vibration Assisted Micro-compression. J. Mater. Sci. Technol. 2025, 208, 152–163. [Google Scholar] [CrossRef]
- Wan, W.Q.; Han, G.C.; Liu, F.C.; Yang, M.; Hu, J.T.; Liu, F.C.; Xun, L.H.; Bai, W.; Chen, H. Surface and Volume Effects in Multimodal Ultrasonic Vibration Assisted Micro-extrusion Forming: Experiments and Modelling. J. Mater. Process. Technol. 2023, 322, 118185. [Google Scholar] [CrossRef]
- Han, G.C.; Wan, W.Q.; Zhang, Z.C.; Xu, L.H.; Liu, F.C.; Zhang, H.O. Experimental Investigation into Effects of Different Ultrasonic Vibration Modes in Micro-extrusion Process. J. Manuf. Process. 2021, 67, 427–437. [Google Scholar] [CrossRef]
- Zhang, H.D.; Deng, L.; Hao, Y.; Li, C.; Tang, X.F.; Gong, P.; Zhang, M.; Jin, J.S.; Wang, X.Y. Anisotropic and Heterogeneous Acoustoplasticity of α-Ti during Ultrasonic Vibration Assisted Compression: Modeling and Experiments. Int. J. Plast. 2024, 173, 103886. [Google Scholar] [CrossRef]
- Wu, X.; Li, J.J.; Zheng, Z.Z.; Liu, L.; Li, L. Micro-back-extrusion of a Bulk Metallic Glass. Scr. Mater. 2010, 63, 469–472. [Google Scholar] [CrossRef]
- Schroers, J. On the Formability of Bulk Metallic Glass in Its Supercooled Liquid State. Acta Mater. 2008, 56, 471–478. [Google Scholar] [CrossRef]
- Lu, J.; Ravichandran, G.; Johnson, W.L. Deformation Behavior of the Zr41.2Ti13.8Cu12.5Ni10Be22.5 Bulk Metallic Glass ver a Wide Range of Strain-rates and Temperatures. Acta Mater. 2003, 51, 3429–3443. [Google Scholar] [CrossRef]
- Ichitsubo, T.; Kai, S.; Ogi, H.; Hiraoet, M.; Tanaka, K. Elastic and Anelastic Behavior of Zr55Al10Ni5Cu30 Bulk Metallic Glass around the Glass Transition Temperature under Ultrasonic Excitation. Scr. Mater. 2003, 49, 267–271. [Google Scholar] [CrossRef]
















| Materials | Zr55Cu30Al10Ni5 |
|---|---|
| Specimen size (mm) | ϕ 2.8 × 2.6 |
| Lubricant | Graphite colloid |
| Loading speed (µm/s) | 10 |
| Experimental temperature (°C) | 452 |
| Ultimate load (N) | 1300 |
| Input amplitude (µm) | 4.5, 6, 7.5, 9 |
| Input frequency (kHz) | 19, 20 |
| Input Frequency (kHz) | Input Amplitude (µm) | Diameter After Deformation (mm) |
|---|---|---|
| 19 | 0 | 3.80 |
| 4.5 | 3.86 | |
| 6 | 3.92 | |
| 7.5 | 3.96 | |
| 9 | 4.24 | |
| 20 | 0 | 3.80 |
| 4.5 | 3.84 | |
| 6 | 3.94 | |
| 7.5 | 4.04 | |
| 9 | 4.24 |
Disclaimer/Publisher’s Note: The statements, opinions and data contained in all publications are solely those of the individual author(s) and contributor(s) and not of MDPI and/or the editor(s). MDPI and/or the editor(s) disclaim responsibility for any injury to people or property resulting from any ideas, methods, instructions or products referred to in the content. |
© 2025 by the authors. Licensee MDPI, Basel, Switzerland. This article is an open access article distributed under the terms and conditions of the Creative Commons Attribution (CC BY) license (https://creativecommons.org/licenses/by/4.0/).
Share and Cite
Li, H.; Liu, J.; Shen, C.; Li, C. An Ultrasonic Vibration-Assisted Superplastic Forming Method for Zr-Based Bulk Amorphous Alloys: Experiment and Simulation. Metals 2025, 15, 1299. https://doi.org/10.3390/met15121299
Li H, Liu J, Shen C, Li C. An Ultrasonic Vibration-Assisted Superplastic Forming Method for Zr-Based Bulk Amorphous Alloys: Experiment and Simulation. Metals. 2025; 15(12):1299. https://doi.org/10.3390/met15121299
Chicago/Turabian StyleLi, Hui, Jinfu Liu, Chenpu Shen, and Canhua Li. 2025. "An Ultrasonic Vibration-Assisted Superplastic Forming Method for Zr-Based Bulk Amorphous Alloys: Experiment and Simulation" Metals 15, no. 12: 1299. https://doi.org/10.3390/met15121299
APA StyleLi, H., Liu, J., Shen, C., & Li, C. (2025). An Ultrasonic Vibration-Assisted Superplastic Forming Method for Zr-Based Bulk Amorphous Alloys: Experiment and Simulation. Metals, 15(12), 1299. https://doi.org/10.3390/met15121299

