Process and Dephosphorization Mechanism for Producing Low-Phosphorus Steel via Direct Reduction–Electric Furnace Smelting Separation of Alkaline Briquettes from Refractory High-Phosphorus Oolitic Magnetite Concentrate
Abstract
1. Introduction
2. Experimental Section
2.1. Material Characteristics
2.2. Experimental Procedure
3. Results and Discussion
3.1. Effects of Basicity on the Direct Reduction and Melting Separation Processes
3.2. Effect of MgO Application on Direct Reduction and Subsequent Smelting Separation
4. Characterization of Melting Slags
4.1. XRD
4.2. XPS
4.3. EPMA
5. Mechanism of Dephosphorization
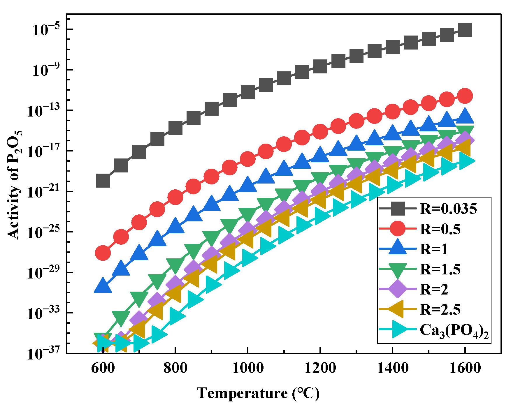
5.1. Thermal Stability of Ca3(PO4)2
5.2. Slag Phase Mechanism
6. Conclusions
- (1)
- Process optimization demonstrated that coordinated regulation of the basicity (R = 2) and MgO dosage (5%) resulted in 98.56% iron content in the smelted metal phase, with phosphorus and sulfur reducing to 0.036% and 0.046%, respectively. The iron recovery reached 87.63%, accompanied by phosphorus and sulfur removal efficiencies of 94.67% and 90.56%, respectively, meeting standard steel composition requirements.
- (2)
- Slag characterization revealed that higher basicity facilitated phosphorus fixation as Ca3(PO4)2 within Ca2Al2SiO7 and Ca3Mg(SiO4)2 matrices through solid solution formation. This spatial steric hindrance effect effectively suppressed phosphorus migration to the metallic phase, ensuring slag-phase phosphorus enrichment.
- (3)
- Thermodynamic analysis confirmed that under high basicity (R ≥ 2.0), P2O5 activity markedly decreased via Ca3(PO4)2-Ca2SiO4 solid solution formation. This dual mechanism—inhibiting both calcium phosphate decomposition and phosphorus reduction—substantially enhanced system stability. The synergistic mechanism of “chemical immobilization coupled with thermodynamic stabilization” effectively addresses the fundamental challenges associated with achieving deep dephosphorization in high-phosphorus iron ores.
Author Contributions
Funding
Data Availability Statement
Acknowledgments
Conflicts of Interest
References
- Tang, X.; Liu, S.; Wang, Y.; Wan, Y.; Nubea, M.D. Carbon emission reduction in China’s iron and steel industry through technological innovation: A quadrilateral evolutionary game analysis under government subsidies. Front. Environ. Sci. 2025, 12, 1491608. [Google Scholar] [CrossRef]
- Jiang, W.; Jung, T.; Dai, H.; Xiang, P.; Chen, S. Transition Pathways for Low-Carbon Steel Manufacture in East Asia: The Role of Renewable Energy and Technological Collaboration. Sustainability 2025, 17, 4280. [Google Scholar] [CrossRef]
- Arras, M.; Jeandey, T.-F.; He, Y.; Gupta, P.; Li, Z.; Ma, L. Decarbonizing China’s iron and steel industry: Hydrogen-based mitigation pathway and techno-economic implications. Int. J. Hydrogen Energy 2025, 154, 149946. [Google Scholar] [CrossRef]
- He, Y.; Du, E.; Liu, P.; Li, Z. Decarbonization pathways and layout evolution in China’s steel sector. Renew. Sustain. Energy Rev. 2025, 215, 115588. [Google Scholar] [CrossRef]
- Li, Q.; Wang, P.; Wang, F.; Zhang, Y.; Wang, H.; Xu, Q.; Xu, M.; Bai, L. Low-Carbon Production in China’s Iron and Steel Industry: Technology Choices, Economic Assessment, and Policy. Atmosphere 2025, 16, 252. [Google Scholar] [CrossRef]
- Jiang, H.-D.; Liu, Y.-X.; Wang, H.; Li, H.; Jiang, Y. An economy-wide and environmental assessment of an imported supply shortage for iron ore: The case of China. Econ. Anal. Policy 2024, 83, 606–617. [Google Scholar] [CrossRef]
- Xu, Y.; Li, E.; Zhang, Y.; Hong, L.; Yao, X. Research status of new technology for magnetization roasting and reduction of refractory iron ore in China. Miner. Eng. 2024, 218, 109041. [Google Scholar] [CrossRef]
- Liu, Q.W.; Sono, H. The Post-Internationalization Evolution of the Price Discovery Pattern in China’s Iron Ore Markets. Chin. Econ. 2025, 58, 203–216. [Google Scholar] [CrossRef]
- Seaman, J.; Materials, C.R. Economic Statecraft and Europe’s Dependence on China. Int. Spect. 2025, 60, 20–37. [Google Scholar] [CrossRef]
- Liu, Z.J.; Lu, S.F.; Wang, Y.Z.; Zhang, J.L.; Cheng, Q.; Ma, Y.F. Study on optimization of reduction temperature of hydrogen-based Shaft FurnacedNumerical simulation and multi-criteria evaluation. Int. J. Hydrogen Energy 2023, 48, 16132–16142. [Google Scholar] [CrossRef]
- Tang, J.; Chu, M.S.; Feng, J.E.; Zhao, Z.C.; Tian, H.Y. Preparation of Oxidized Pellets of Vanadium Titanium Magnetite and Direct Reduction Behavior in Hydrogen-Based Shaft Furnace. Steel Res. Int. 2025, 96, 2400480. [Google Scholar] [CrossRef]
- Ali, M.L.; Fradet, Q.; Riedel, U. Particle-resolved computational modeling of hydrogen-based direct reduction of iron ore pellets in a fixed bed. Part I: Methodology and validation. Int. J. Hydrogen Energy 2024, 87, 332–343. [Google Scholar] [CrossRef]
- Kazmi, B.; Taqvi, S.A.A.; Juchelkov, D. State-of-the-art review on the steel decarbonization technologies based on process system engineering perspective. Fuel 2023, 347, 128459. [Google Scholar] [CrossRef]
- Li, Q.; Wang, J.S.; She, X.F.; Xue, Q.G.; Wang, G.; Zuo, H.B. Feasibility and comprehensive evaluation of the application of different low-carbon technologies in the iron and steel industry. Fuel 2025, 381, 133434. [Google Scholar] [CrossRef]
- Singh, A.; Singh, V.; Patra, S.; Dixit, P.; Mukherjee, A.K. Review on High Phosphorous in Iron Ore: Problem and Way Out. Min. Metall. Explor. 2024, 41, 1497–1507. [Google Scholar] [CrossRef]
- Zhu, D.; Guo, Z.; Pan, J.; Zhang, F. Synchronous Upgrading Iron and Phosphorus Removal from High Phosphorus Oolitic Hematite Ore by High Temperature Flash Reduction. Metals 2016, 6, 123. [Google Scholar] [CrossRef]
- Li, G.; Zhang, S.; Rao, M.; Zhang, Y.; Jiang, T. Effects of sodium salts on reduction roasting and Fe-P separation of high-phosphorus oolitic hematite ore. Int. J. Miner. Process. 2013, 124, 26–34. [Google Scholar] [CrossRef]
- Yao, G.; Guo, Q.; Li, Y.; Song, J.; Liu, Y.; He, M.; Qi, T. Growth mechanism of metal iron particles with sulfur additives in direct reduction: First-principles calculations and experiments. Powder Technol. 2023, 419, 118287. [Google Scholar] [CrossRef]
- GB/T 699-2015; Quality Carbon Structure Steels. The State Quality Supervision, Inspection and Quarantine Administration of the People’s Republic of China: Beijing, China, 2015.
- Liu, F.; Zhang, Y.-C.; Zeng, W.; Ni, J.; Si, Y.-P.; Zhou, H.; Zhang, T.-X.; Wu, S.-L.; Kou, M.-Y. Iron recovery and dephosphorization behaviors from high-phosphorus oolitic hematite by gas-based direct reduction and magnetic separation. J. Iron Steel Res. Int. 2024, 32, 550–563. [Google Scholar] [CrossRef]
- Tang, H.-Q.; Qin, Y.-Q.; Qi, T.-F.; Dong, Z.-L.; Xue, Q.-G. Application of Wood Char in Processing Oolitic High-phosphorus Hematite for Phosphorus Removal. J. Iron Steel Res. Int. 2016, 23, 109–115. [Google Scholar] [CrossRef]
- Huang, D.-B.; Zong, Y.-B.; Wei, R.-F.; Gao, W.; Liu, X.-M. Direct Reduction of High-phosphorus Oolitic Hematite Ore Based on Biomass Pyrolysis. J. Iron Steel Res. Int. 2016, 23, 874–883. [Google Scholar] [CrossRef]
- Li, B.; Li, J.; Yan, W.; Xie, J.X.; Diao, C.M. Study on oxygen blowing optimisation of reducing (FeO) content in slag in EAF steelmaking process with high ratio of hot metal to scrap. Ironmak. Steelmak. 2022, 49, 398–404. [Google Scholar] [CrossRef]
- Xi, X.J.; Li, S.Y.; Li, C.M.; Pan, H.T.; Wang, J.; Zhu, R. Research on technical parameters of electrical arc furnace steelmaking based on direct reduced iron as raw material. Ironmak. Steelmak. 2024, 51, 947–960. [Google Scholar] [CrossRef]
- Zhang, G.; Ni, H.; Li, Y.; Liu, T.; Wang, A.; Zhang, H. Resource-saving production of Fe-based amorphous alloys from carbothermal reduction of high-phosphorus oolitic iron ore. J. Non-Cryst. Solids 2022, 579, 121365. [Google Scholar] [CrossRef]
- Zhang, G.; Ni, H.; Li, Y.; Liu, T.; Wang, A.; Zhang, H. Fe-based amorphous alloys with superior soft-magnetic properties prepared via smelting reduction of high-phosphorus oolitic iron ore. Intermetallics 2022, 141, 107441. [Google Scholar] [CrossRef]
- Hu, M.J.; Zhu, D.Q.; Pan, J.; Guo, Z.Q.; Yang, C.C.; Li, S.W.; Cao, W. Efficient Removal of Impurities from Refractory Oolitic Magnetite Concentrate via High-Pressure Alkaline Leaching and Ultrasonic Acid Leaching Process. Minerals 2025, 15, 220. [Google Scholar] [CrossRef]
- Mengjie, H.; Deqing, Z.; Jian, P.; Zhengqi, G.; Congcong, Y.; Siwei, L.; Wen, C. Unique Mineralogical Characteristics of Clay-Rich High-Phosphorus Oolitic Hematite Ore and Combined Process of Iron Enrichment and Phosphorus Removal. Asia-Pac. J. Chem. Eng. 2025, e70064. [Google Scholar] [CrossRef]
- Hu, M.; Zhu, D.; Pan, J.; Guo, Z.; Yang, C.; Li, S.; Cao, W. Efficient Dephosphorization and Enhanced Iron Grain Growth in the Direct Reduction of Refractory High-P Oolitic Iron Ore: Mechanisms Promoted by CaCO3–Na2SO4 Additives. J. Sustain. Metall. 2025, 11, 3043–3059. [Google Scholar] [CrossRef]
- Hu, M.; Zhu, D.; Pan, J.; Guo, Z.; Yang, C.; Li, S.; Cao, W. High-Efficiency Removal of Silica and Alumina from Rough Concentrate of Refractory Oolitic Hematite Ore via High-Pressure Alkaline and Acid-Leaching Process. JOM 2025, 77, 6467–6479. [Google Scholar] [CrossRef]
- Hu, M.J.; Zhu, D.Q.; Pan, J.; Guo, Z.Q.; Yang, C.C.; Li, S.W.; Cao, W. Fe-P Alloy Production from High-Phosphorus Oolitic Iron Ore via Efficient Pre-Reduction and Smelting Separation. Minerals 2025, 15, 778. [Google Scholar] [CrossRef]
- Hu, M.; Zhu, D.; Pan, J.; Li, S. Near-zero carbon iron powder from high-phosphorus oolitic pellets via hydrogen reduction-electromagnetic iron phase reconstruction—Magnetic separation. Powder Technol. 2026, 469, 121719. [Google Scholar] [CrossRef]
- Yang, X.; Sun, F.M.; Yang, J.L.; Liu, F.; Cheng, K.S.; Wang, J.H. Optimization of Low Phosphorus Steel Production With Double Slag Process in BOF. J. Iron Steel Res. Int. 2013, 20, 41–47. [Google Scholar] [CrossRef]
- Ye, M.L.; Xi, X.J.; Yang, S.F.; Li, J.S.; Wang, F. Dephosphorization of hot metal using rare earth oxide-containing slags. High Temp. Mater. Process. 2020, 39, 520–526. [Google Scholar] [CrossRef]
- Zhou, C.G.; Chen, Q.G.; Ji, Y.; Ai, L.Q.; Wang, S.H.; Chen, Q.Y.; Yuan, T.X. Effect of highly oxidizing converter dephosphorization slag on dephosphorization behaviour of molten steel. Ironmak. Steelmak. 2023, 50, 958–968. [Google Scholar] [CrossRef]













| Types | TFe | K2O | CaO | Na2O | Al2O3 | FeO | SiO2 | MgO | P | S |
|---|---|---|---|---|---|---|---|---|---|---|
| HPOIO | 35.05 | 0.68 | 1.36 | 0.045 | 9.87 | 20.01 | 25.56 | 1.21 | 0.45 | 0.38 |
| OMC | 52.07 | 0.13 | 0.28 | 0.019 | 9.31 | 25.49 | 15.93 | 1.06 | 0.30 | 0.09 |
| Point | At % | Mineral Phase | |||||||
|---|---|---|---|---|---|---|---|---|---|
| Fe | P | Mg | Si | Al | F | Ca | O | ||
| 1 | – | – | – | 65.21 | – | – | – | 34.79 | SiO2 |
| 2 | 52.51 | – | – | 3.04 | 3.41 | – | – | 41.02 | (Fe, Al)3O4 |
| 3 | 26.52 | − | 2.00 | 14.38 | 15.43 | – | – | 41.67 | 4FeO∙Al2O3∙3SiO2 |
| 4 | – | 15.96 | – | – | – | 3.45 | 28.42 | 50.45 | Ca5(PO4)3F |
| Components | FCad | Aad | Vad |
|---|---|---|---|
| Coal | 50.32 | 10.13 | 39.55 |
| Composition | TFe | Al2O3 | MgO | Na2O | SiO2 | CaO | K2O | S | P |
|---|---|---|---|---|---|---|---|---|---|
| Metallic iron phase | 98.56 | 0.045 | 0.017 | 0.0068 | 0.12 | 0.026 | 0.004 | 0.046 | 0.036 |
| Slag phase | 10.04 | 30.82 | 2.189 | 0.0021 | 17.42 | 35.83 | 0.228 | 0.062 | 0.528 |
Disclaimer/Publisher’s Note: The statements, opinions and data contained in all publications are solely those of the individual author(s) and contributor(s) and not of MDPI and/or the editor(s). MDPI and/or the editor(s) disclaim responsibility for any injury to people or property resulting from any ideas, methods, instructions or products referred to in the content. |
© 2025 by the authors. Licensee MDPI, Basel, Switzerland. This article is an open access article distributed under the terms and conditions of the Creative Commons Attribution (CC BY) license (https://creativecommons.org/licenses/by/4.0/).
Share and Cite
Hu, M.; Zhu, D.; Pan, J.; Li, S. Process and Dephosphorization Mechanism for Producing Low-Phosphorus Steel via Direct Reduction–Electric Furnace Smelting Separation of Alkaline Briquettes from Refractory High-Phosphorus Oolitic Magnetite Concentrate. Metals 2025, 15, 1149. https://doi.org/10.3390/met15101149
Hu M, Zhu D, Pan J, Li S. Process and Dephosphorization Mechanism for Producing Low-Phosphorus Steel via Direct Reduction–Electric Furnace Smelting Separation of Alkaline Briquettes from Refractory High-Phosphorus Oolitic Magnetite Concentrate. Metals. 2025; 15(10):1149. https://doi.org/10.3390/met15101149
Chicago/Turabian StyleHu, Mengjie, Deqing Zhu, Jian Pan, and Siwei Li. 2025. "Process and Dephosphorization Mechanism for Producing Low-Phosphorus Steel via Direct Reduction–Electric Furnace Smelting Separation of Alkaline Briquettes from Refractory High-Phosphorus Oolitic Magnetite Concentrate" Metals 15, no. 10: 1149. https://doi.org/10.3390/met15101149
APA StyleHu, M., Zhu, D., Pan, J., & Li, S. (2025). Process and Dephosphorization Mechanism for Producing Low-Phosphorus Steel via Direct Reduction–Electric Furnace Smelting Separation of Alkaline Briquettes from Refractory High-Phosphorus Oolitic Magnetite Concentrate. Metals, 15(10), 1149. https://doi.org/10.3390/met15101149

