Signatures of Plastic Instabilities and Strain Localization in Acoustic Emission Time-Series
Abstract
1. Introduction
1.1. Intermittency of Plastic Flow and Acoustic Emission
1.2. Classifications of Plastic Instabilities
2. Intermittency of “Continuous” Acoustic Emission
3. Model of Dislocation-Mediated AE During Uniform Plastic Deformation
4. Overview of AE Spectral Features Due to Plastic Instabilities
4.1. Yield Point and Lüders Band
4.2. Serrated Plastic Flow–The Portevin–Le Chatelier (PLC) Effect
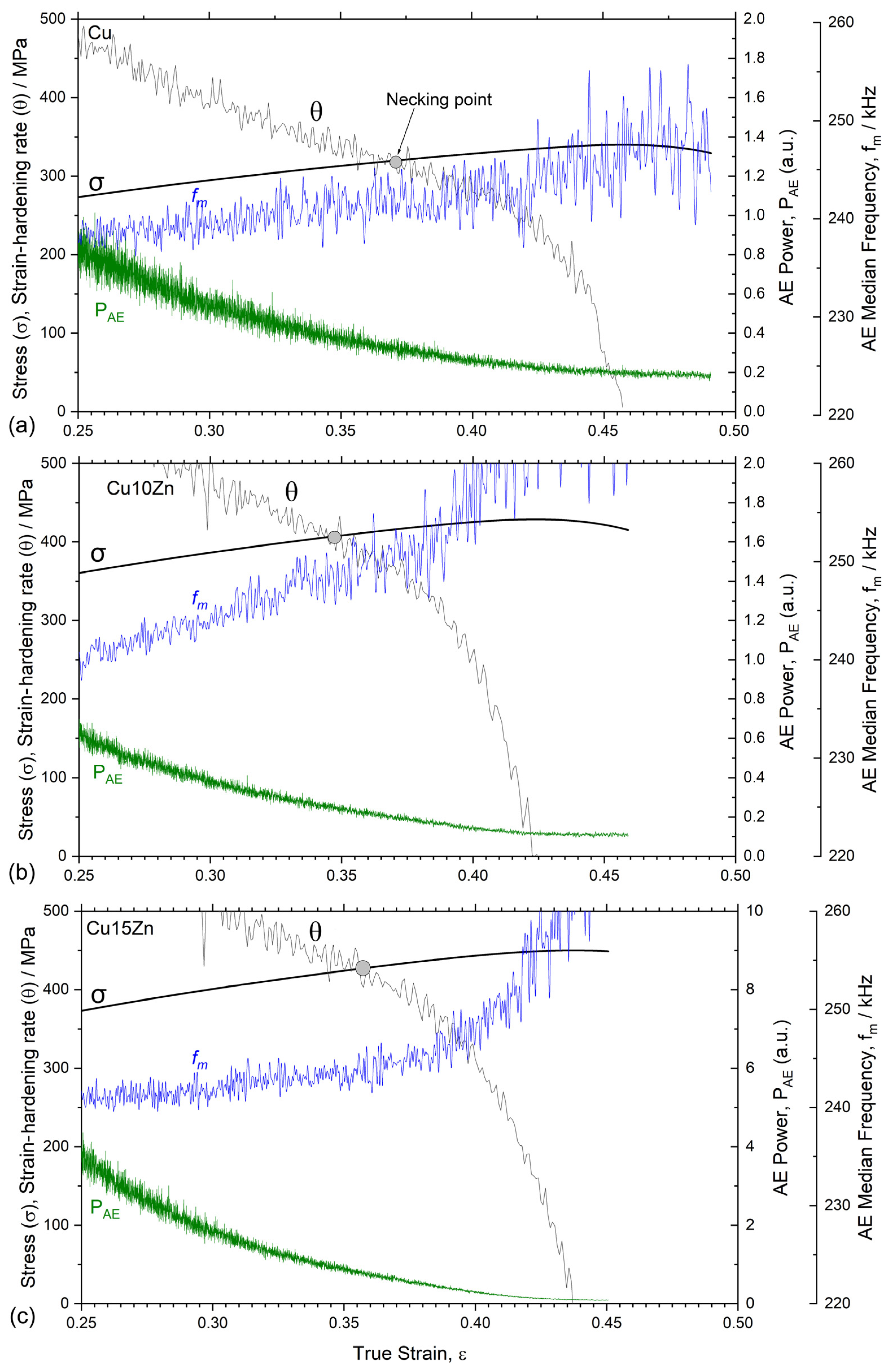
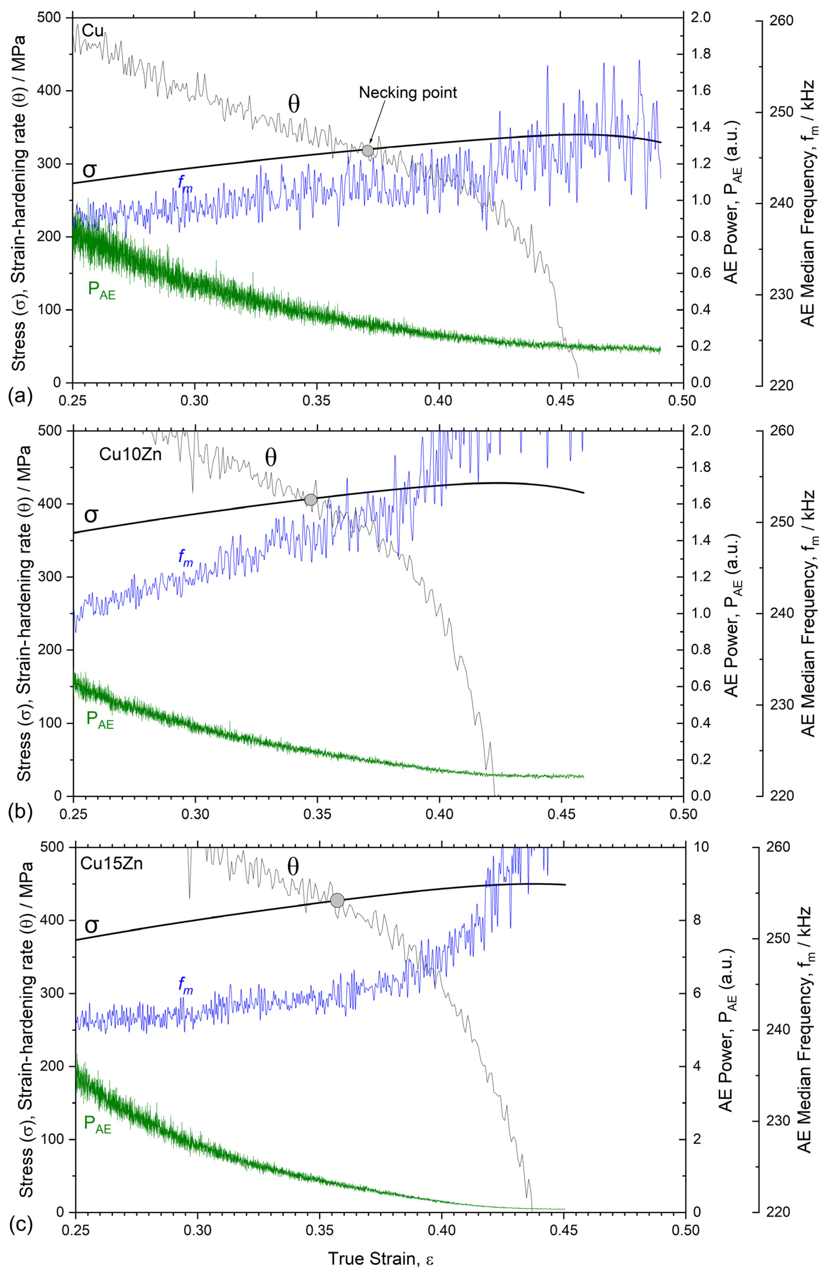
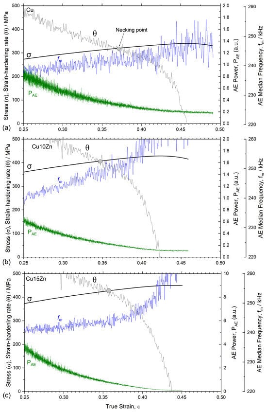
4.3. Necking
5. Summary and Future Outlook
Funding
Acknowledgments
Conflicts of Interest
References
- Griffith, A.A.; Taylor, G.I. VI. The phenomena of rupture and flow in solids. Philos. Trans. R. Soc. Lond. Ser. A 1921, 221, 163–198. [Google Scholar] [CrossRef]
- Rees, D.W.A. Fracture Mechanics. In Mechanics of Solids and Structures, 2nd ed.; Imperial College Press: London, UK, 2016; pp. 745–774. [Google Scholar]
- Brechet, Y.; Louchet, F.; Magnin, T. Plastic instabilities and their relation to fracture. Mater. Sci. Eng. A 1993, 164, 35–41. [Google Scholar] [CrossRef]
- Antolovich, S.D.; Armstrong, R.W. Plastic strain localization in metals: Origins and consequences. Prog. Mater. Sci. 2014, 59, 1–160. [Google Scholar] [CrossRef]
- Papanikolaou, S.; Cui, Y.; Ghoniem, N. Avalanches and plastic flow in crystal plasticity: An overview. Model. Simul. Mater. Sci. Eng. 2018, 26, 013001. [Google Scholar] [CrossRef]
- Maaß, R.; Derlet, P.M.; Greer, J.R. Independence of slip velocities on applied stress in small crystals. Small 2015, 11, 341–351. [Google Scholar] [CrossRef]
- Sparks, G.; Phani, P.S.; Hangen, U.; Maaß, R. Spatiotemporal slip dynamics during deformation of gold micro-crystals. Acta Mater. 2017, 122, 109–119. [Google Scholar] [CrossRef]
- Ugi, D.; Péterffy, G.; Lipcsei, S.; Fogarassy, Z.; Szilágyi, E.; Groma, I.; Ispánovity, P.D. Irradiation-induced strain localization and strain burst suppression investigated by microcompression and concurrent acoustic emission experiments. Mater. Charact. 2023, 199, 112780. [Google Scholar] [CrossRef]
- Ispánovity, P.D.; Ugi, D.; Péterffy, G.; Knapek, M.; Kalácska, S.; Tüzes, D.; Dankházi, Z.; Máthis, K.; Chmelík, F.; Groma, I. Dislocation avalanches are like earthquakes on the micron scale. Nat. Commun. 2022, 13, 1975. [Google Scholar] [CrossRef]
- Portevin, A.; Le Chatelier, F. Sur un phénomène observé lors de l’essai de traction d’alliages en cours de transformation. Compt. Rend. Acad. Sci. Paris 1923, 176, 507–510. [Google Scholar]
- Wadley, H.N.G.; Mehrabian, R. Acoustic emission for materials processing: A review. Mater. Sci. Eng. 1984, 65, 245–263. [Google Scholar] [CrossRef]
- Wadley, H.N.G.; Scruby, C.B.; Sinclair, J.E. Acoustic emission source characterization. J. Acoust. Soc. Am. 1980, 68, S103–S104. [Google Scholar] [CrossRef]
- Vinogradov, A.; Yasnikov, I.S.; Estrin, Y. Stochastic dislocation kinetics and fractal structures in deforming metals probed by acoustic emission and surface topography measurements. J. Appl. Phys. 2014, 115, 233506. [Google Scholar] [CrossRef]
- Natsik, V.D.; Chishko, K.A. Acoustic emission from dislocations emerging to the surface of a crystal. Sov. Phys. Acoust. USSR 1982, 28, 225–229. [Google Scholar]
- Vinogradov, A.; Danyuk, A.V.; Merson, D.L.; Yasnikov, I.S. Probing elementary dislocation mechanisms of local plastic deformation by the advanced acoustic emission technique. Scr. Mater. 2018, 151, 53–56. [Google Scholar] [CrossRef]
- Schaarwächter, W.; Ebener, H. Acoustic emission—A probe into dislocation dynamics in plasticity. Acta Metall. Mater. 1990, 38, 195–205. [Google Scholar] [CrossRef]
- Sendrowicz, A.; Myhre, A.O.; Danyuk, A.V.; Vinogradov, A. Dislocation kinetics explains energy partitioning during strain hardening: Model and experimental validation by infrared thermography and acoustic emission. Mater. Sci. Eng. A 2022, 856, 143969. [Google Scholar] [CrossRef]
- Toronchuk, J.P. Acoustic-Emission during Twinning of Zinc Single-Crystals. Mater. Eval. 1977, 35, 51–53. [Google Scholar]
- Kuribayashi, K.; Kishi, T.; Horiuchi, R. Kinematical Study of Deformation Twinning in Zinc by Means of Acoustic-Emission. J. Jpn. Inst. Met. Mater. 1981, 45, 449–456. [Google Scholar] [CrossRef]
- Janeček, M.; Král, R.; Dobroň, P.; Chmelík, F.; Šupík, V.; Holländer, F. Mechanisms of plastic deformation in AZ31 magnesium alloy investigated by acoustic emission and transmission electron microscopy. Mater. Sci. Eng. A 2007, 462, 311–315. [Google Scholar] [CrossRef]
- Čapek, J.; Máthis, K.; Clausen, B.; Stráská, J.; Beran, P.; Lukáš, P. Study of the loading mode dependence of the twinning in random textured cast magnesium by acoustic emission and neutron diffraction methods. Mater. Sci. Eng. A 2014, 602, 25–32. [Google Scholar] [CrossRef]
- Vinogradov, A.; Vasilev, E.; Seleznev, M.; Máthis, K.; Orlov, D.; Merson, D. On the limits of acoustic emission detectability for twinning. Mater. Lett. 2016, 183, 417–419. [Google Scholar] [CrossRef]
- Carpenter, S.H.; Hadjcostis, A. Sources of acoustic-emission generated during plastic deformation. Mater. Eval. 1977, 35, S10. [Google Scholar]
- Zaiser, M. Scale invariance in plastic flow of crystalline solids. Adv. Phys. 2006, 55, 185–245. [Google Scholar] [CrossRef]
- Lépinoux, J.; Kubin, L.P. The dynamic organization of dislocation structures: A simulation. Scr. Metall. 1987, 21, 833–838. [Google Scholar] [CrossRef]
- Aifantis, E.C. On the dynamical origin of dislocation patterns. Mater. Sci. Eng. 1986, 81, 563–574. [Google Scholar] [CrossRef]
- Wang, W.-X.; Yang, R.; Lai, Y.-C.; Kovanis, V.; Grebogi, C. Predicting Catastrophes in Nonlinear Dynamical Systems by Compressive Sensing. Phys. Rev. Lett. 2011, 106, 154101. [Google Scholar] [CrossRef]
- Agletdinov, E.A.; Yasnikov, I.S. Application of recurrence quantification analysis of acoustic emission time series to analysis of a plastic flow of metals. Phys. Rev. E 2023, 108, 044217. [Google Scholar] [CrossRef]
- Estrin, Y. Classification of Plastic Instabilities by Linear Stability Analysis. Solid State Phenom. 1988, 384, 417–428. [Google Scholar] [CrossRef]
- Kubin, L.P.; Estrin, Y. Strain Nonuniformities and Plastic Instabilities; Société Française de Physique: Paris, France, 1988; Volume 23. [Google Scholar]
- Estrin, Y.; Kubin, L.P. Plastic instabilities: Phenomenology and theory. Mater. Sci. Eng. A 1991, 137, 125–134. [Google Scholar] [CrossRef]
- Zaiser, M.; Hähner, P. A unified description of strain-rate softening instabilities. Mater. Sci. Eng. A 1997, 238, 399–406. [Google Scholar] [CrossRef]
- Wan, M.; Li, F.; Yao, K.; Song, G.; Fan, X. Theory, Method and Practice of Metal Deformation Instability: A Review. Materials 2023, 16, 2667. [Google Scholar] [CrossRef] [PubMed]
- Zaiser, M.; Seeger, A. Long-range internal stresses, dislocation patterning and work-hardening in crystal plasticity. In Dislocations in Solids; Nabarro, F.R.N., Duesbery, M.S., Eds.; Elsevier: Amsterdam, The Netherlands, 2002; Volume 11, pp. 1–100. [Google Scholar]
- Miguel, M.C.; Vespignani, A.; Zapperi, S.; Weiss, J.; Grasso, J.R. Intermittent dislocation flow in viscoplastic deformation. Nature 2001, 410, 667–671. [Google Scholar] [CrossRef] [PubMed]
- Richeton, T.; Weiss, J.; Louchet, F. Breakdown of avalanche critical behaviour in polycrystalline plasticity. Nat. Mater. 2005, 4, 465–469. [Google Scholar] [CrossRef]
- Moriya, H.; Niitsuma, H. Precise detection of a P-wave in low S/N signal by using time-frequency representations of a triaxial hodogram. Geophysics 1996, 61, 1453–1466. [Google Scholar] [CrossRef]
- Vassallo, M.; Satriano, C.; Lomax, A. Automatic picker developments and optimization: A strategy for improving the performances of automatic phase pickers. Seismol. Res. Lett. 2012, 83, 541–554. [Google Scholar] [CrossRef]
- Pomponi, E.; Vinogradov, A.; Danyuk, A. Wavelet based approach to signal activity detection and phase picking: Application to acoustic emission. Signal Process. 2015, 115, 110–119. [Google Scholar] [CrossRef]
- Danyuk, A.; Rastegaev, I.; Pomponi, E.; Linderov, M.; Merson, D.; Vinogradov, A. Improving of acoustic emission signal detection for fatigue fracture monitoring. Procedia Eng. 2017, 176, 284–290. [Google Scholar] [CrossRef]
- Agletdinov, E.; Merson, D.; Vinogradov, A. A new method of low amplitude signal detection and its application in acoustic emission. Appl. Sci. 2019, 10, 73. [Google Scholar] [CrossRef]
- Vaseghi, S.V. Advanced Digital Signal Processing and Noise Reduction, 4th ed.; Wiley: Hoboken, NJ, USA, 2008; p. 514. [Google Scholar]
- Inouye, J.M.; Blemker, S.S.; Inouye, D.I. Towards undistorted and noise-free speech in an MRI scanner: Correlation subtraction followed by spectral noise gating. J. Acoust. Soc. Am. 2014, 135, 1019–1022. [Google Scholar] [CrossRef]
- Danyuk, A.; Merson, D.; Vinogradov, A. New prospects to use acoustic emission during scratch testing for probing fundamental mechanisms of plastic deformation. In Proceedings of the 12th International Conference of the Slovenian Society for Non-Destructive Testing: Application of Contemporary Non-Destructive Testing in Engineering (ICNDT 2013), Portoroz, Slovenia, 4–6 September 2013; pp. 567–574. [Google Scholar]
- Erlenkämper, S. Time and amplitude statistics of acoustic emission signals in fracture mechanics experiments. In Acousctic Emission; Deutsche Gesellschaft fur Metallkunde: Berlin, Germany, 1980; pp. 165–188. [Google Scholar]
- Braginskii, A.P.; Vinogradov, A.Y.; Leksovskii, A.M.; Medvededv, B.M. Acoustic emission amplitude-frequency analysis of the deformation kinetics of amorphous alloys. Sov. Tech. Phys. Lett. 1986, 12, 265–266. [Google Scholar]
- Vinogradov, A.; Agletdinov, E.; Merson, D. Mechanical Twinning is a Correlated Dynamic Process. Sci. Rep. 2019, 9, 5748. [Google Scholar] [CrossRef] [PubMed]
- Agletdinov, E.; Drozdenko, D.; Harcuba, P.; Dobroň, P.; Merson, D.; Vinogradov, A. On the long-term correlations in the twinning and dislocation slip dynamics. Mater. Sci. Eng. A 2020, 777, 139091. [Google Scholar] [CrossRef]
- Cox, D.R.; Isham, V. Point processes. In Handbooks in Operations Research and Management Science; Chapman & Hall/CRC: New York, NY, USA, 1980; 188p. [Google Scholar]
- Todorovic, P. An Introduction to Stochastic Processes and Their Applications; Springer: New York, NY, USA, 1992; p. xiii. 290p. [Google Scholar]
- Georgii, H.-O. Stochastics: Introduction to Probability and Statistics, 3rd ed.; Walter De Gruyter: Berlin, Germany; New York, NY, USA, 2008; 370p. [Google Scholar]
- Bendat, J.S.; Piersol, A.G. Random Data: Analysis and Measurement Procedures, 3rd ed.; Wiley: New York, NY, USA, 2000; 594p. [Google Scholar]
- Devincre, B.; Veyssière, P.; Saada, G. Simulation of the plastic flow in Ni3Al: Work hardening and strain-rate sensitivity. Philos. Mag. A 1999, 79, 1609–1627. [Google Scholar] [CrossRef]
- Vinogradov, A.; Yasnikov, I.S.; Merson, D.L. Phenomenological approach towards modelling the acoustic emission due to plastic deformation in metals. Scr. Mater. 2019, 170, 172–176. [Google Scholar] [CrossRef]
- Vinogradov, A.; Danyuk, A.; Yasnikov, I.S. Towards predicting necking instability in metals by acoustic emission model analysis. Mater. Trans. 2024, 65, 292–301. [Google Scholar] [CrossRef]
- Uhlenbeck, G.E.; Ornstein, L.S. On the theory of the Brownian motion. Phys. Rev. 1930, 36, 823–841. [Google Scholar] [CrossRef]
- Malen, K.; Bolin, L. Theoretical estimate of acoustic-emission stress amplitudes. Phys. Status Solidi B 1974, 61, 637–645. [Google Scholar] [CrossRef]
- Landy, R.J.; Ono, K. Acoustic emission behavior of a low alloy steel. J. Acoust. Emiss. 1982, 1, 7–19. [Google Scholar]
- Scruby, C.B.; Wadley, H.N.G.; Hill, J.J. Dynamic elastic displacements at the surface of an elastic half-space due to defect sources. J. Phys. D Appl. Phys. 1983, 16, 1069–1083. [Google Scholar] [CrossRef]
- Eitzen, D.G.; Wadley, H.N.G. Acoustic emission—Establishing the fundamentals. J. Res. Natl. Bur. Stand. 1984, 89, 75–100. [Google Scholar] [CrossRef]
- Simmons, J.A.; Clough, R.B. Theory of acoustic emission. In Dislocation Modelling of Physical Systems, Proceedings of the International Conference, Gainesville, FL, USA, 22–27 June 1980; Elsevier: Amsterdam, The Netherlands, 1981. [Google Scholar]
- Eisenblätter, J. The origin of acoustic emission—Mechanisms and models. In Acoustic Emission; Deutsche Gesellschaft fur Metallkunde: Berlin, Germany, 1980; pp. 189–204. [Google Scholar]
- Kocks, U.F.; Mecking, H. Physics and phenomenology of strain hardening: The FCC case. Prog. Mater. Sci. 2003, 48, 171–273. [Google Scholar] [CrossRef]
- Mecking, H.; Kocks, U.F. Kinetics of flow and strain-hardening. Acta Metall. 1981, 29, 1865–1875. [Google Scholar] [CrossRef]
- Bergström, Y. A dislocation model for the stress-strain behaviour of polycrystalline α-Fe with special emphasis on the variation of the densities of mobile and immobile dislocations. Mater. Sci. Eng. 1970, 5, 193–200. [Google Scholar] [CrossRef]
- Klepaczko, J. Thermally activated flow and strain rate history effects for some polycrystalline f.c.c. metals. Mater. Sci. Eng. 1975, 18, 121–135. [Google Scholar] [CrossRef]
- Mughrabi, H. The α-factor in the Taylor flow-stress law in monotonic, cyclic and quasi-stationary deformations: Dependence on slip mode, dislocation arrangement and density. Curr. Opin. Solid State Mater. Sci. 2016, 20, 411–420. [Google Scholar] [CrossRef]
- Yasnikov, I.S.; Vinogradov, A.; Estrin, Y. Revisiting the Considère criterion from the viewpoint of dislocation theory fundamentals. Scr. Mater. 2014, 76, 37–40. [Google Scholar] [CrossRef]
- Yasnikov, I.S.; Estrin, Y.; Vinogradov, A. What governs ductility of ultrafine-grained metals? A microstructure based approach to necking instability. Acta Mater. 2017, 141, 18–28. [Google Scholar] [CrossRef]
- Yasnikov, I.S.; Kaneko, Y.; Uchida, M.; Vinogradov, A. The grain size effect on strain hardening and necking instability revisited from the dislocation density evolution approach. Mater. Sci. Eng. A 2022, 831, 142330. [Google Scholar] [CrossRef]
- Gillis, P.P. Dislocation Motions and Acoustic Emissions. In Acoustic Emission; Liptai, R., Harris, D., Tatro, C., Eds.; ASTM International: West Conshohocken, PA, USA, 1972; pp. 29–1972. [Google Scholar]
- Tetelman, A.S. Acoustic emission and fracture mechanics testing of metals and composites. In Proceedings of the US-Japan Joint Symposium on Acoustic Emission, English Volume, Tokyo, Japan, 4 July 1972; pp. 1–46. [Google Scholar]
- Kiesewetter, N.; Schiller, P. Acoustic emission from moving dislocations in Aluminum. Phys. Status Solidi A 1976, 38, 569–576. [Google Scholar] [CrossRef]
- Kiesewetter, N. Acoustic emission from moving dislocations. Scr. Metall. 1974, 8, 249–252. [Google Scholar] [CrossRef]
- Ono, K. Acoustic emission arising from plastic deformation and fracture. In Fundamentals of Acoustic Emission; Ono, K., Ed.; Univeristy of California: Oakland, CA, UCA, 1979. [Google Scholar]
- Kuribayashi, K.; Kishi, T. Fundamental aspects of acoustic emission activity. In Acoustic Emission; Deutsche Gesellschaft fur Metallkunde: Berlin, Germany, 1980; pp. 53–60. [Google Scholar]
- Fleischmann, P.; Rouby, D. Continuous acoustic emission during the deformation of pure aluminium. In Acoustic Emission; Deutsche Gesellschaft fur Metallkunde: Berlin, Germany, 1980; pp. 39–51. [Google Scholar]
- Vinogradov, A.; Lazarev, A. Continuous acoustic emission during intermittent plastic flow in α-brass. Scr. Mater. 2012, 66, 745–748. [Google Scholar] [CrossRef]
- Vinogradov, A.V.; Patlan, V.; Hashimoto, S. Spectral analysis of acoustic emission during cyclic deformation of copper single crystals. Philos. Mag. A 2001, 81, 1427–1446. [Google Scholar] [CrossRef]
- Hähner, P. On the foundations of stochastic dislocation dynamics. Appl. Phys. A Mater. Sci. Process. 1996, 62, 473–481. [Google Scholar] [CrossRef]
- Holt, D.L. Dislocation Cell Formation in Metals. J. Appl. Phys. 1970, 41, 3197–3201. [Google Scholar] [CrossRef]
- Johnston, W.G.; Gilman, J.J. Dislocation velocities, dislocation densities, and plastic flow in Lithium Fluoride crystals. J. Appl. Phys. 1959, 30, 129–144. [Google Scholar] [CrossRef]
- Michalak, J.T. The influence of temperature on the development of long-range internal stress during the plastic deformation of high-purity iron. Acta Metall. 1965, 13, 213–222. [Google Scholar] [CrossRef]
- Argon, A.S. Dislocation dynamics. Mater. Sci. Eng. 1968, 3, 24–32. [Google Scholar] [CrossRef]
- Krishtal, M.M.; Khrustalev, A.K.; Volkov, A.V.; Borodin, S.A. Nucleation and growth of macrofluctuations of plastic strain with discontinuous yield and luders deformation: Results of high-speed video filming. Dokl. Phys. 2009, 54, 225–229. [Google Scholar] [CrossRef]
- Heiple, C.R.; Carpenter, S.H. Acoustic emission produced by deformation of metals and alloys—A review: Part I and II. J. Acoust. Emiss. 1987, 6, 177–237. [Google Scholar]
- Cáceres, C.H.; Rodriguez, A.H. Acoustic emission and deformation bands in Al-2.5% Mg and Cu-30% Zn. Acta Metall. 1987, 35, 2851–2864. [Google Scholar] [CrossRef]
- Lazarev, A.; Vinogradov, A. About plastic instabilities in iron and power spectrum of acoustic emission. J. Acoust. Emiss. 2009, 27, 144–156. [Google Scholar]
- Murav’ev, T.; Zuev, L. Acoustic emission during the development of a Lüders band in a low-carbon steel. Tech. Phys. 2008, 53, 1094–1098. [Google Scholar] [CrossRef]
- Petit, J.; Montay, G.; François, M. Strain Localization in Mild (Low Carbon) Steel Observed by Acoustic Emission—ESPI Coupling during Tensile Test. Exp. Mech. 2018, 58, 743–758. [Google Scholar] [CrossRef]
- Haneef, T.K.; Mukhopadhyay, C.K.; Rao, B.P.C.; Jayakumar, T. Acoustic emissions generated during Luders band elongation of tempered medium carbon steel. Strength Fract. Complex. 2010, 6, 149–159. [Google Scholar] [CrossRef]
- Roman, I.; Teoh, H.B.; Ono, K. Thermal restoration of burst emissions in A533B steel. J. Acoust. Emiss. 1984, 3, 19–26. [Google Scholar]
- Weidner, A.; Biermann, H. Review on Strain Localization Phenomena Studied by High-Resolution Digital Image Correlation. Adv. Eng. Mater. 2021, 23, 2001409. [Google Scholar] [CrossRef]
- Liu, C. Evolution of deformation and stress during necking in uniaxial tension. Forces Mech. 2023, 11, 100201. [Google Scholar] [CrossRef]
- Sendrowicz, A.; Myhre, A.O.; Wierdak, S.W.; Vinogradov, A. Challenges and accomplishments in mechanical testing instrumented by in situ techniques: Infrared thermography, digital image correlation, and acoustic emission. Appl. Sci. 2021, 11, 6718. [Google Scholar] [CrossRef]
- Sendrowicz, A.; Myhre, A.O.; Yasnikov, I.S.; Vinogradov, A. Stored and dissipated energy of plastic deformation revisited from the viewpoint of dislocation kinetics modelling approach. Acta Mater. 2022, 237, 118190. [Google Scholar] [CrossRef]
- Lebyodkin, M.A.; Lebedkina, T.A.; Brechtl, J.; Liaw, P.K. Serrated Flow in Alloy Systems. In High-Entropy Materials: Theory, Experiments, and Applications; Brechtl, J., Liaw, P.K., Eds.; Springer International Publishing: Cham, Switzerland, 2021; pp. 523–644. [Google Scholar] [CrossRef]
- Fressengeas, C.; Lebedkina, T.A.; Lebyodkin, M.A. Complex patterning in jerky flow from time series analysis and numerical simulation. Model. Simul. Mater. Sci. Eng. 2024, 32, 035018. [Google Scholar] [CrossRef]
- Chihab, K.; Estrin, Y.; Kubin, L.P.; Vergnol, J. The kinetics of the Portevin-Le Chatelier bands in an Al-5at%Mg alloy. Scr. Metall. 1987, 21, 203–208. [Google Scholar] [CrossRef]
- Kubin, L.P.; Chihab, K.; Estrin, Y. The rate dependence of the Portevin-Le Chatelier effect. Acta Metall. 1988, 36, 2707–2718. [Google Scholar] [CrossRef]
- Yilmaz, A. The Portevin-Le Chatelier effect: A review of experimental findings. Sci. Technol. Adv. Mater. 2011, 12, 063001. [Google Scholar] [CrossRef]
- Hähner, P. Theory of solitary plastic waves: Part I. Appl. Phys. A Mater. Sci. Process. 1994, 58, 41–48. [Google Scholar] [CrossRef]
- Kubin, L.P.; Estrin, Y. Evolution of dislocation densities and the critical conditions for the Portevin-Le Châtelier effect. Acta Metall. Mater. 1990, 38, 697–708. [Google Scholar] [CrossRef]
- Estrin, Y. Versatile unified constitutive model based on dislocation density evolution. In High-Temperature Constitutive Modeling: Theory and Applications, Proceedings of the Winter Annual Meeting of the American Society of Mechanical Engineers (ASME), Atlanta, Georgia, 1–6 December 1991; Freed, A., Walker, K., Eds.; Materials Division and the Applied Mechanics Division, ASME: New York, NY, USA, 1991; pp. 65–83. [Google Scholar]
- Robinson, J.M.; Shaw, M.P. Microstructural and mechanical influences on dynamic strain-aging phenomena. Int. Mater. Rev. 1994, 39, 113–122. [Google Scholar] [CrossRef]
- Ananthakrishna, G. Current theoretical approaches to collective behavior of dislocations. Phys. Rep. 2007, 440, 113–259. [Google Scholar] [CrossRef]
- Lukac, P.; Balik, J.; Chmelik, F. Physical aspects of plastic instabilities. Mater. Sci. Eng. A 1997, 234, 45–51. [Google Scholar] [CrossRef]
- Louche, H.; Bouabdallah, K.; Vacher, P.; Coudert, T.; Balland, P. Kinematic Fields and Acoustic Emission Observations Associated with the Portevin Le Chatelier Effect on an Al-Mg Alloy. Exp. Mech. 2008, 48, 741–751. [Google Scholar] [CrossRef]
- Chmelik, F.; Dosoudil, J.; Plessing, J.; Neuhauser, H.; Lukac, P.; Trojanova, Z. The Portevin-Le Chatelier effect in Cu-Al single-crystals investigated by acoustic emission and slip line cinematography. Key Eng. Mater. 1994, 97–98, 263–268. [Google Scholar] [CrossRef]
- Chmelik, F.; Pink, E.; Krol, J.; Balik, J.; Pesicka, J.; Lukac, P. Mechanisms of serrated flow in aluminium alloys with precipitates investigated by acoustic emission. Acta Mater. 1998, 46, 4435–4442. [Google Scholar] [CrossRef]
- Chmelik, F.; Ziegenbein, A.; Neuhauser, H.; Lukac, P. Investigating the Portevin-Le Chatelier effect by the acoustic emission and laser extensometry techniques. Mater. Sci. Eng. A 2002, 324, 200–207. [Google Scholar] [CrossRef]
- Chmelík, F.; Klose, F.B.; Dierke, H.; Šachl, J.; Neuhäuser, H.; Lukáč, P. Investigating the Portevin-Le Châtelier effect in strain rate and stress rate controlled tests by the acoustic emission and laser extensometry techniques. Mater. Sci. Eng. A 2007, 462, 53–60. [Google Scholar] [CrossRef]
- Ozgowicz, W.; Grzegorczyk, B.; Pawełek, A.; Piątkowski, A.; Ranachowski, Z. The Portevin-Le Chatelier effect and acoustic emission of plastic deformation CuZn30 monocrystals. Arch Met. Mater 2014, 59, 183–188. [Google Scholar] [CrossRef][Green Version]
- Lebyodkin, M.A.; Shashkov, I.V.; Lebedkina, T.A.; Mathis, K.; Dobron, P.; Chmelik, F. Role of superposition of dislocation avalanches in the statistics of acoustic emission during plastic deformation. Phys. Rev. E 2013, 88, 042402. [Google Scholar] [CrossRef]
- Lebedkina, T.A.; Zhemchuzhnikova, D.A.; Lebyodkin, M.A. Correlation versus randomization of jerky flow in an AlMgScZr alloy using acoustic emission. Phys. Rev. E 2018, 97, 013001. [Google Scholar] [CrossRef]
- Scruby, C.B.; Wadley, H.N.G.; Rusbridge, K.L. Origin of acoustic emission in Al-Zn-Mg Alloys. II. Copper-Containing Quaternary Alloys. Mater. Sci. Eng. 1983, 59, 169–183. [Google Scholar] [CrossRef]
- Rusbridge, K.L.; Scruby, C.B.; Wadley, H.N.G. Origin of acoustic emission in aged Al-Zn-Mg alloys I: The base ternary alloy. Mater. Sci. Eng. 1983, 59, 151–168. [Google Scholar] [CrossRef]
- Mukherjee, A.K.; Takagaki, T. Acoustic emission and serrated yielding in alpha brass. In Strength of Metals and Alloys; Haasen, P., Gerold, V., Kostorz, G., Eds.; Pergamon: Elmsford, NY, USA, 1979; pp. 589–593. [Google Scholar]
- Bharathi, M.S.; Lebyodkin, M.; Ananthakrishna, G.; Fressengeas, C.; Kubin, L.P. Multifractal burst in the spatiotemporal dynamics of jerky flow. Phys. Rev. Lett. 2001, 87, 165508. [Google Scholar] [CrossRef]
- Bharathi, M.S.; Ananthakrishna, G. Dynamics of crossover from a chaotic to a power-law state in jerky flow. Phys. Rev. E 2003, 67, 065104. [Google Scholar] [CrossRef]
- Lebyodkin, M.A.; Brechet, Y.; Estrin, Y.; Kubin, L.P. Statistics of the catastrophic slip events in the Portevin-Le Chatelier effect. Phys. Rev. Lett. 1995, 74, 4758. [Google Scholar] [CrossRef] [PubMed]
- Lebyodkin, M.; Dunin-Barkowskii, L.; Bréchet, Y.; Estrin, Y.; Kubin, L.P. Spatio-temporal dynamics of the Portevin-Le Chatelier effect: Experiment and modelling. Acta Mater. 2000, 48, 2529–2541. [Google Scholar] [CrossRef]
- Bak, P.; Tang, C.; Wiesenfeld, K. Self-organized criticality: An explanation of the 1/f noise. Phys. Rev. Lett. 1987, 59, 381. [Google Scholar] [CrossRef] [PubMed]
- Koslowski, M.; LeSar, R.; Thomson, R. Avalanches and scaling in plastic deformation. Phys. Rev. Lett. 2004, 93, 125502. [Google Scholar] [CrossRef] [PubMed]
- Shibkov, A.A.; Gasanov, M.F.; Zheltov, M.A.; Zolotov, A.E.; Ivolgin, V.I. Intermittent plasticity associated with the spatio-temporal dynamics of deformation bands during creep tests in an AlMg polycrystal. Int. J. Plast. 2016, 86, 37–55. [Google Scholar] [CrossRef]
- Ono, K. Amplitude Distribution Analysis of Acoustic-Emission Signals. Mater. Eval. 1976, 34, 177–181. [Google Scholar]
- Ono, K.; Yamamoto, M. Anisotropic mechanical and acoustic emission behavior of A533B steels. Mater. Sci. Eng. 1981, 47, 247–263. [Google Scholar] [CrossRef]
- Thiebaud, R.; Dobron, P.; Chmelik, F.; Jerome, W.; Louchet, F. On the critical character of plasticity in metallic single crystals. Mater. Sci. Eng. A Struct. Mater. Prop. Microstruct. Process. 2006, 424, 190–195. [Google Scholar] [CrossRef]
- Weiss, J.; Carmen Miguel, M. Dislocation avalanche correlations. Mater. Sci. Eng. A 2004, 387–389, 292–296. [Google Scholar] [CrossRef]
- Weiss, J.; Grasso, J.R. Acoustic emission in single crystals of ice. J. Phys. Chem. B 1997, 101, 6113–6117. [Google Scholar] [CrossRef]
- Weiss, J.; Grasso, J.R.; Miguel, M.C.; Vespignani, A.; Zapperi, S. Complexity in dislocation dynamics: Experiments. Mater. Sci. Eng. A Struct. Mater. Prop. Microstruct. Process. 2001, 309, 360–364. [Google Scholar] [CrossRef]
- Weiss, J.; Lahaie, F.; Grasso, J.R. Statistical analysis of dislocation dynamics during viscoplastic deformation from acoustic emission. J. Geophys. Res. Solid Earth 2000, 105, 433–442. [Google Scholar] [CrossRef]
- Rumi, D.; Ananthakrishna, G. Power laws, precursors and predictability during failure. Europhys. Lett. 2004, 66, 715. [Google Scholar] [CrossRef]
- Sreekala, S.; Ahluwalia, R.; Ananthakrishna, G. Precursors and power-law statistics of acoustic emission and shape memory effect in martensites. Phys. Rev. B 2004, 70, 224105. [Google Scholar] [CrossRef]
- Botvina, L.R. Scaling in Damage Accumulation; Springer: Dordrecht, The Netherlands, 2009; pp. 177–187. [Google Scholar]
- Lebyodkin, M.A.; Kobelev, N.P.; Bougherira, Y.; Entemeyer, D.; Fressengeas, C.; Gornakov, V.S.; Lebedkina, T.A.; Shashkov, I.V. On the similarity of plastic flow processes during smooth and jerky flow: Statistical analysis. Acta Mater. 2012, 60, 3729–3740. [Google Scholar] [CrossRef]
- Kumar, J.; Ananthakrishna, G. Modeling the complexity of acoustic emission during intermittent plastic deformation: Power laws and multifractal spectra. Phys. Rev. E 2018, 97, 012201. [Google Scholar] [CrossRef]
- Casals, B.; Dahmen, K.A.; Gou, B.; Rooke, S.; Salje, E.K.H. The duration-energy-size enigma for acoustic emission. Sci. Rep. 2021, 11, 5590. [Google Scholar] [CrossRef]
- Considère, A. Mémoire sur l’emploi du fer et de l’acier dans les constructions. Ann. Ponts Chaussées 1885, 9, 574–775. [Google Scholar]
- Hart, E.W. Theory of the tensile test. Acta Metall. 1967, 15, 351–355. [Google Scholar] [CrossRef]
- Vinogradov, A.; Yasnikov, I.S.; Matsuyama, H.; Uchida, M.; Kaneko, Y.; Estrin, Y. Controlling strength and ductility: Dislocation-based model of necking instability and its verification for ultrafine grain 316L steel. Acta Mater. 2016, 106, 295–303. [Google Scholar] [CrossRef]
- Bridgman, P.W. Studies in Large Plastic Flow and Fracture; McGraw-Hill: New York, NY, USA, 1952; Volume 362. [Google Scholar]
- Tu, S.; Ren, X.; He, J.; Zhang, Z. Stress–strain curves of metallic materials and post-necking strain hardening characterization: A review. Fatigue Fract. Eng. Mater. Struct. 2020, 43, 3–19. [Google Scholar] [CrossRef]
- Lazarev, A.; Vinogradov, A.; Hashimoto, S. Relation between plastic instabilities in Iron and power spectrum of acoustic emission. In Progress in Acoustic Emission XIX, Proceedings of the 19th International Acoustic Emission Symposium, Kyoto, Japan, 9–12 December 2008; The Japanese Society for Non-Destructive Inspection: Kyoto, Japan, 2008; pp. 179–186. [Google Scholar]
- Azrin, M.; Olson, G.B.; Gagne, R.A. Inhomogeneous deformation and strain-rate effects in high-strength TRIP steels. Mater. Sci. Eng. 1976, 23, 33–41. [Google Scholar] [CrossRef]
- Lebyodkin, M.; Amouzou, K.; Lebedkina, T.; Richeton, T.; Roth, A. Complexity and Anisotropy of Plastic Flow of α-Ti Probed by Acoustic Emission and Local Extensometry. Materials 2018, 11, 1061. [Google Scholar] [CrossRef] [PubMed]
- Baral, M.; Al-Jewad, A.; Breunig, A.; Groche, P.; Ha, J.; Korkolis, Y.P.; Kinsey, B.L. Acoustic emission monitoring for necking in sheet metal forming. J. Mater. Process. Technol. 2022, 310, 117758. [Google Scholar] [CrossRef]
- Jayakumar, T.; Raj, B.; Bhattacharya, D.K.; Rodriguez, P.; Prabhakar, O. Influence of coherent γ’ on acoustic emission generated during tensile deformation in Nimonic alloy PE16. Mater. Sci. Eng. A 1992, 150, 51–58. [Google Scholar] [CrossRef]
- Scruby, C.; Wadley, H.; Sinclair, J.E. The origin of acoustic-emission during deformation of aluminum and an aluminum-magnesium alloy. Philos. Mag. A 1981, 44, 249–274. [Google Scholar] [CrossRef]
- Zhao, P.; Jiao, J.; Tang, Y.; Fang, G. Investigation on damage evolution and acoustic emission behavior of aluminum alloy sheet during blanking process. Int. J. Adv. Manuf. Technol. 2021, 117, 675–688. [Google Scholar] [CrossRef]
- Scruby, C.B.; Jones, C.; Titchmarsh, J.M.; Wadley, H.N.G. Relationship between microstructure and acoustic emission in Mn-Mo-Ni A533B steel. Met. Sci. 1981, 15, 241–261. [Google Scholar] [CrossRef]
- Mukhopadhyay, C.; Rajkumar, K.; Jayakumar, T.; Raj, B. Study of tensile deformation behaviour of M250 grade maraging steel using acoustic emission. J. Mater. Sci. 2010, 45, 1371–1384. [Google Scholar] [CrossRef]
- Venkataraman, B.; Mukhopadhyay, C.K.; Raj, B. Effect of variation of strain rate on thermal and acoustic emission during tensile deformation of nuclear grade AISI type 316 stainless steel. Mater. Sci. Technol. 2004, 20, 1310–1316. [Google Scholar] [CrossRef]
- Barat, K.; Bar, H.N.; Mandal, D.; Roy, H.; Sivaprasad, S.; Tarafder, S. Low temperature tensile deformation and acoustic emission signal characteristics of AISI 304LN stainless steel. Mater. Sci. Eng. A 2014, 597, 37–45. [Google Scholar] [CrossRef]
- Stankevych, O.; Skalsky, V. Investigation and identification of fracture types of structural materials by means of acoustic emission analysis. Eng. Fract. Mech. 2016, 164, 24–34. [Google Scholar] [CrossRef]
- Li, J.; Zhang, J.-Z.; Zeng, L.-Y.; Wang, S.; Song, X.-Y.; Chen, N.-L.; Zuo, X.-W.; Rong, Y.-H. Revealing dislocation activity modes during yielding and uniform deformation of low-temperature tempered steel by acoustic emission. J. Iron Steel Res. Int. 2024. [Google Scholar] [CrossRef]
- Vinogradov, A. Acoustic emission in ultra-fine grained copper. Scr. Mater. 1998, 39, 797–805. [Google Scholar] [CrossRef]
- Hartman, W.F. Acoustic emission and Portevin-Le Chatelier effect. Exp. Mech. 1974, 14, 19–23. [Google Scholar] [CrossRef]
- Ono, K.; Cho, H.; Matsuo, T. Transfer functions of acoustic emission sensors. J. Acoust. Emiss. 2008, 26, 72–90. [Google Scholar]
- Ono, K. Calibration Methods of Acoustic Emission Sensors. Materials 2016, 9, 508. [Google Scholar] [CrossRef]
- Vinogradov, A. Mechanical properties of ultrafine-grained metals: New challenges and perspectives. Adv. Eng. Mater. 2015, 17, 1710–1722. [Google Scholar] [CrossRef]
- Vinogradov, A.; Patlan, V.; Hashimoto, S.; Kitagawa, K. Acoustic emission during cyclic deformation of ultrafine-grain copper processed by severe plastic deformation. Philos. Mag. A 2002, 82, 317–335. [Google Scholar] [CrossRef]












Disclaimer/Publisher’s Note: The statements, opinions and data contained in all publications are solely those of the individual author(s) and contributor(s) and not of MDPI and/or the editor(s). MDPI and/or the editor(s) disclaim responsibility for any injury to people or property resulting from any ideas, methods, instructions or products referred to in the content. |
© 2025 by the author. Licensee MDPI, Basel, Switzerland. This article is an open access article distributed under the terms and conditions of the Creative Commons Attribution (CC BY) license (https://creativecommons.org/licenses/by/4.0/).
Share and Cite
Vinogradov, A. Signatures of Plastic Instabilities and Strain Localization in Acoustic Emission Time-Series. Metals 2025, 15, 46. https://doi.org/10.3390/met15010046
Vinogradov A. Signatures of Plastic Instabilities and Strain Localization in Acoustic Emission Time-Series. Metals. 2025; 15(1):46. https://doi.org/10.3390/met15010046
Chicago/Turabian StyleVinogradov, Alexey. 2025. "Signatures of Plastic Instabilities and Strain Localization in Acoustic Emission Time-Series" Metals 15, no. 1: 46. https://doi.org/10.3390/met15010046
APA StyleVinogradov, A. (2025). Signatures of Plastic Instabilities and Strain Localization in Acoustic Emission Time-Series. Metals, 15(1), 46. https://doi.org/10.3390/met15010046

