Mechanical Behavior of Additive Manufacturing (AM) and Wrought Ti6Al4V with a Martensitic Microstructure
Abstract
1. Introduction
2. Materials and Methods
2.1. Materials
2.2. Specimens
2.3. Experimental Procedures
3. Results
3.1. Microstructure
3.2. Mechanical Response
3.2.1. Hardness Testing
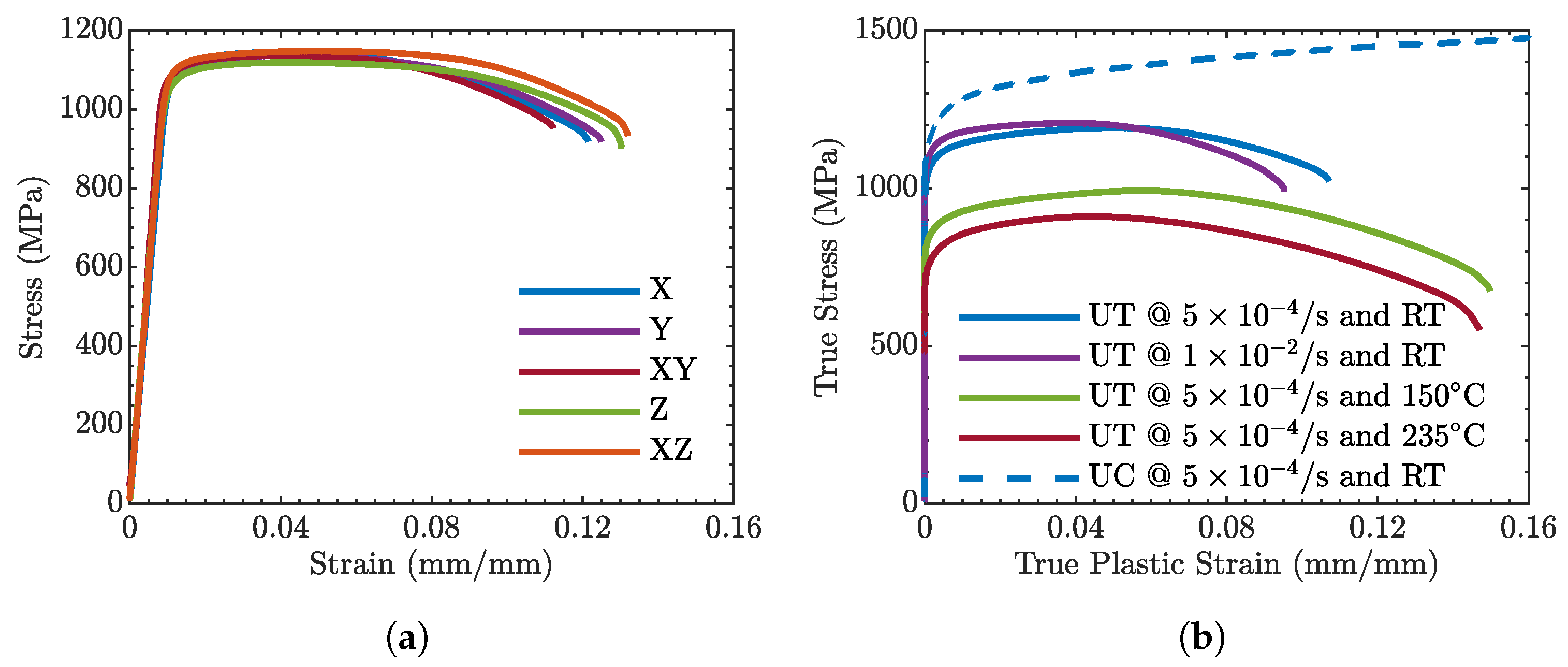
3.2.2. Selective Laser Sintering: SLS
- Temperature has a strong softening effect on the material yield stress, with a reduction of approximately 18% and 25% in both and at 150 °C and 235 °C, respectively. The shape of the flow curve during the uniform deformation phase is not significantly influenced by temperature. According to Considere’s condition, the on-set necking occurs at higher strain levels than those observed in room-temperature testing. Subsequent to necking, the rate of strength reduction is more gradual at elevated temperatures, indicating a dissimilar progression of plastic instability. In addition, thermal softening enhances material deformation and leads to greater Bridgman strain at failure (Table 3).
- The material exhibits a limited, yet present, strain-rate sensitivity in the low-rate regime, with an increase in at 1 × 10−2/s of approximately 3%. By increasing the yield strength, plastic instability occurs for lower strain, along with an increased rate of stress reduction to failure. These results indicate that, under quasi-static conditions, the deformation mechanisms are already thermally activated, even if temperature has a more remarkable influence on material response than the strain rate in this regime [46]. Furthermore, increasing the strain rate results in a higher Bridgman strain at failure compared to lower velocities. This is likely due to the substantial rise in strain rates, by an order of magnitude, in the gauge section during necking, which deviates from isothermal conditions, causing a temperature increase and thus enhancing ductility.
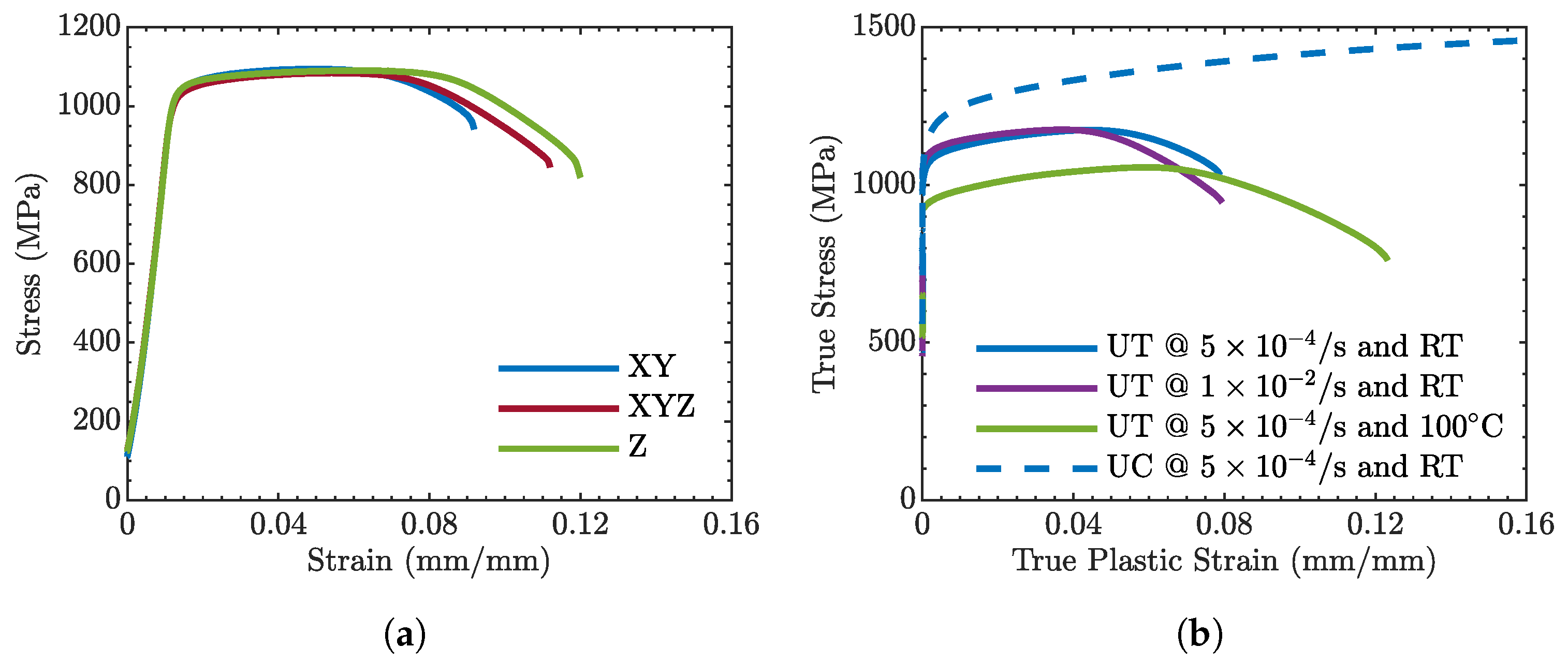
3.2.3. Selective Laser Melting: SLM
3.2.4. Wrought-Water Quenched: W-WQ
4. Discussion
4.1. AM of Ti6Al4V
4.2. Comparison of Wrought and AM Ti6Al4V
5. Conclusions
- Additive manufacturing enables the fabrication of a very fine martensitic microstructure, characterized by the distribution of needle-like phase within the prior- structure.
- No significant anisotropic behavior was identified along different building orientations under tension for the SLS and SLM materials. This indicates that directional differences are negligible in the stress-relieved state.
- A similar work hardening response under tension was identified in all investigated materials. Differences in yield stress and ductility can be attributed to the dissimilar thicknesses of laths and prior- grains, which strongly influence material deformation and fracture. Compared to the commercial grade Ti6Al4V, the martensitic microstructures exhibit higher hardness and strength. The finer laths present in AM alloys contribute to minimizing the significant reduction in ductility observed in W-WQ titanium alloys, especially when compared to wrought Ti6Al4V.
- Tension–compression asymmetry, which indicates that the deformation mechanisms are sensitive to the sign of the applied load, was observed in all three materials. For SLS and SLM Ti6Al4V, asymmetry was found to be higher in the vertically printed samples.
- Strength reduction at high temperatures follows the same trend as conventional Ti6Al4V, suggesting that thermal softening is more influenced by the crystallographic lattice than microstructural features.
Author Contributions
Funding
Data Availability Statement
Acknowledgments
Conflicts of Interest
References
- Özsoy, K.; Duman, B.; Gültekin, D. Metal Part Production with Additive Manufacturing for Aerospace and Defense Industry Metal Part Production with Additive Manufacturing for Aerospace and Defense Industry Havac ı l ı k ve Savunma Sanayisi İ çin Eklemeli İ malatla Metal Parça Üretimi. Int. J. Technol. Sci. 2020, 11, 201–211. [Google Scholar]
- Kumar, R.; Kumar, M.; Chohan, J.S. The role of additive manufacturing for biomedical applications: A critical review. J. Manuf. Process. 2021, 64, 828–850. [Google Scholar] [CrossRef]
- Liu, S.; Shin, Y.C. Additive manufacturing of Ti6Al4V alloy: A review. Mater. Des. 2019, 164, 107552. [Google Scholar] [CrossRef]
- Lütjering, G. Influence of processing on microstructure and mechanical properties of (α + β) titanium alloys. Mater. Sci. Eng. A 1998, 243, 32–45. [Google Scholar] [CrossRef]
- Morita, T.; Hatsuoka, K.; Iizuka, T.; Kawasaki, K. Strengthening of Ti-6Al-4V alloy by short-time duplex heat treatment. Mater. Trans. 2005, 46, 1681–1686. [Google Scholar] [CrossRef]
- Pinke, P.; Caplovic, L.; Kovacs, T. The influence of heat treatment on the microstructure of the casted ti6al4v titanium alloy. Slovak Univ. Technol. Bratislava 2011, 11. [Google Scholar]
- Matsumoto, H.; Yoneda, H.; Sato, K.; Kurosu, S.; Maire, E.; Fabregue, D.; Konno, T.J.; Chiba, A. Room-temperature ductility of Ti-6Al-4V alloy with α′ martensite microstructure. Mater. Sci. Eng. A 2011, 528, 1512–1520. [Google Scholar] [CrossRef]
- Markovsky, P.E.; Semiatin, S.L. Tailoring of microstructure and mechanical properties of Ti-6Al-4V with local rapid (induction) heat treatment. Mater. Sci. Eng. A 2011, 528, 3079–3089. [Google Scholar] [CrossRef]
- Semiatin, S.; Knisley, S.; Fagin, P.; Zhang, F.; Barker, D. Microstructure Evolution during Alpha-Beta Heat Treatment of Ti-6Al-4V. Metall. Mater. Trans. A 2003, 34A, 2003–2377. [Google Scholar] [CrossRef]
- Chen, G.; Ren, C.; Qin, X.; Li, J. Temperature dependent work hardening in Ti-6Al-4V alloy over large temperature and strain rate ranges: Experiments and constitutive modeling. Mater. Des. 2015, 83, 598–610. [Google Scholar] [CrossRef]
- Bartolomeu, F.; Buciumeanu, M.; Pinto, E.; Alves, N.; Silva, F.S.; Carvalho, O.; Miranda, G. Wear behavior of Ti6Al4V biomedical alloys processed by selective laser melting, hot pressing and conventional casting. Trans. Nonferrous Met. Soc. China 2017, 27, 829–838. [Google Scholar] [CrossRef]
- Irwin, J.; Reutzel, E.W.; Michaleris, P.; Keist, J.; Nassar, A.R. Predicting Microstructure from Thermal History during Additive Manufacturing for Ti-6Al-4V. J. Manuf. Sci. Eng. Trans. ASME 2016, 138, 1–11. [Google Scholar] [CrossRef]
- Masoomi, M.; Thompson, S.M.; Shamsaei, N. Laser powder bed fusion of Ti-6Al-4V parts: Thermal modeling and mechanical implications. Int. J. Mach. Tools Manuf. 2017, 118–119, 73–90. [Google Scholar] [CrossRef]
- He, K.; Zhao, X. 3D thermal finite element analysis of the SLM 316L parts with microstructural correlations. Complexity 2018, 2018, 6910187. [Google Scholar] [CrossRef]
- Ricci, S.; Testa, G.; Iannitti, G.; Ruggiero, A. Laser powder bed fusion of AlSi10Mg alloy: Numerical investigation on the temperature field evolution. Forces Mech. 2022, 8, 100109. [Google Scholar] [CrossRef]
- Vilaro, T.; Colin, C.; Bartout, J.D. As-fabricated and heat-treated microstructures of the Ti-6Al-4V alloy processed by selective laser melting. Metall. Mater. Trans. A Phys. Metall. Mater. Sci. 2011, 42, 3190–3199. [Google Scholar] [CrossRef]
- Shunmugavel, M.; Polishetty, A.; Littlefair, G. Microstructure and Mechanical Properties of Wrought and Additive Manufactured Ti-6Al-4V Cylindrical Bars. Procedia Technol. 2015, 20, 231–236. [Google Scholar] [CrossRef]
- Thijs, L.; Verhaeghe, F.; Craeghs, T.; Humbeeck, J.V.; Kruth, J.P. A study of the microstructural evolution during selective laser melting of Ti-6Al-4V. Acta Mater. 2010, 58, 3303–3312. [Google Scholar] [CrossRef]
- Yang, J.; Yu, H.; Yin, J.; Gao, M.; Wang, Z.; Zeng, X. Formation and control of martensite in Ti-6Al-4V alloy produced by selective laser melting. Mater. Des. 2016, 108, 308–318. [Google Scholar] [CrossRef]
- Bordin, A.; Bruschi, S.; Ghiotti, A.; Bucciotti, F.; Facchini, L. Comparison between wrought and EBM Ti6Al4V machinability characteristics. Key Eng. Mater. 2014, 611–612, 1186–1193. [Google Scholar] [CrossRef]
- Beyl, K.; Mutombo, K.; Kloppers, C.P. Tensile properties and microstructural characterization of additive manufactured, investment cast and wrought Ti6Al4V alloy. IOP Conf. Ser. Mater. Sci. Eng. 2019, 655, 012023. [Google Scholar] [CrossRef]
- Ren, X.P.; Li, H.Q.; Guo, H.; Shen, F.L.; Qin, C.X.; Zhao, E.T.; Fang, X.Y. A comparative study on mechanical properties of Ti-6Al-4V alloy processed by additive manufacturing vs. traditional processing. Mater. Sci. Eng. A 2021, 817, 141384. [Google Scholar] [CrossRef]
- Simonelli, M.; Tse, Y.Y.; Tuck, C. Effect of the build orientation on the mechanical properties and fracture modes of SLM Ti-6Al-4V. Mater. Sci. Eng. A 2014, 616, 1–11. [Google Scholar] [CrossRef]
- Bai, H.; Deng, H.; Chen, L.; Xianbo, L.; Qin, L.; Zhang, D.; Liu, T.; Cui, X. Effect of Heat Treatment on the Microstructure and Mechanical Properties of Selective Laser-Melted Ti64 and Ti-5Al-5Mo-5V-1Cr-1Fe. Metals 2021, 11, 534. [Google Scholar] [CrossRef]
- Mierzejewska, Z.A. Effect of laser energy density, internal porosity and heat treatment on mechanical behavior of biomedical TI6AL4V alloy obtained with DMLS technology. Materials 2019, 12, 2928. [Google Scholar] [CrossRef]
- Lee, J.R.; Lee, M.S.; Yeon, S.M.; Kang, D.; Jun, T.S. Influence of heat treatment and loading direction on compressive deformation behaviour of Ti–6Al–4V ELI fabricated by powder bed fusion additive manufacturing. Mater. Sci. Eng. A 2022, 831, 142258. [Google Scholar] [CrossRef]
- Wang, D.; Wang, H.; Chen, X.; Liu, Y.; Lu, D.; Liu, X.; Han, C. Densification, Tailored Microstructure, and Mechanical Properties of Selective Laser Melted Ti–6Al–4V Alloy via Annealing Heat Treatment. Micromachines 2022, 13, 331. [Google Scholar] [CrossRef]
- Waqas, M.; He, D.; Liu, Y.; Riaz, S.; Afzal, F. Effect of Heat Treatment on Microstructure and Mechanical Properties of Ti6Al4V Alloy Fabricated by Selective Laser Melting. J. Mater. Eng. Perform. 2023, 32, 680–694. [Google Scholar] [CrossRef]
- Lu, S.L.; Zhang, Z.J.; Liu, R.; Qu, Z.; Wang, B.; Zhou, X.H.; Eckert, J.; Zhang, Z.F. Prior β grain evolution and phase transformation of selective laser melted Ti6Al4V alloy during heat treatment. J. Alloys Compd. 2022, 914, 165235. [Google Scholar] [CrossRef]
- Lu, S.L.; Zhang, Z.J.; Liu, R.; Qu, Z.; Li, S.J.; Zhou, X.H.; Duan, Q.Q.; Zhang, B.N.; Zhao, X.M.; Zhao, W.; et al. Tailoring hierarchical microstructures to improve the strength and plasticity of a laser powder bed fusion additively manufactured Ti-6Al-4V alloy. Addit. Manuf. 2023, 71, 103603. [Google Scholar] [CrossRef]
- Vrancken, B.; Thijs, L.; Kruth, J.P.; Van Humbeeck, J. Heat treatment of Ti6Al4V produced by Selective Laser Melting: Microstructure and mechanical properties. J. Alloys Compd. 2012, 541, 177–185. [Google Scholar] [CrossRef]
- Ganor, Y.I.; Tiferet, E.; Vogel, S.C.; Brown, D.W.; Chonin, M.; Pesach, A.; Hajaj, A.; Garkun, A.; Samuha, S.; Shneck, R.Z.; et al. Tailoring microstructure and mechanical properties of additively-manufactured ti6al4v using post processing. Materials 2021, 14, 658. [Google Scholar] [CrossRef] [PubMed]
- Zafari, A.; Barati, M.R.; Xia, K. Controlling martensitic decomposition during selective laser melting to achieve best ductility in high strength Ti-6Al-4V. Mater. Sci. Eng. A 2019, 744, 445–455. [Google Scholar] [CrossRef]
- Xu, Y.; Zhang, D.; Guo, Y.; Hu, S.; Wu, X.; Jiang, Y. Microstructural tailoring of As-Selective Laser Melted Ti6Al4V alloy for high mechanical properties. J. Alloys Compd. 2020, 816, 152536. [Google Scholar] [CrossRef]
- Sun, S.; Zhang, D.; Palanisamy, S.; Liu, Q.; Dargusch, M.S. Mechanical properties and deformation mechanisms of martensitic Ti6Al4V alloy processed by laser powder bed fusion and water quenching. Mater. Sci. Eng. A 2022, 839, 142817. [Google Scholar] [CrossRef]
- Lu, J.; Chang, L.; Wang, J.; Sang, L.; Wu, S.; Zhang, Y. In-situ investigation of the anisotropic mechanical properties of laser direct metal deposition Ti6Al4V alloy. Mater. Sci. Eng. A 2018, 712, 199–205. [Google Scholar] [CrossRef]
- Kok, Y.; Tan, X.P.; Wang, P.; Nai, M.L.; Loh, N.H.; Liu, E.; Tor, S.B. Anisotropy and heterogeneity of microstructure and mechanical properties in metal additive manufacturing: A critical review. Mater. Des. 2018, 139, 565–586. [Google Scholar] [CrossRef]
- Chen, S.; Tan, Q.; Gao, W.; Wu, G.; Fan, J.; Feng, Z.; Huang, T.; Godfrey, A.W.; Zhang, M.; Huang, X. Effect of heat treatment on the anisotropy in mechanical properties of selective laser melted AlSi10Mg. Mater. Sci. Eng. A 2022, 858, 144130. [Google Scholar] [CrossRef]
- Dixit, S.; Liu, S.; Murdoch, H.A.; Smith, P.M. Investigating build orientation-induced mechanical anisotropy in additive manufacturing 316L stainless steel. Mater. Sci. Eng. A 2023, 880, 145308. [Google Scholar] [CrossRef]
- Ricci, S.; Zucca, G.; Iannitti, G.; Ruggiero, A.; Sgambetterra, M.; Rizzi, G.; Bonora, N.; Testa, G. Characterization of Asymmetric and Anisotropic Plastic Flow of L-PBF AlSi10Mg. Exp. Mech. 2023, 63, 1409–1425. [Google Scholar] [CrossRef]
- Cain, V.; Thijs, L.; Van Humbeeck, J.; Van Hooreweder, B.; Knutsen, R. Crack propagation and fracture toughness of Ti6Al4V alloy produced by selective laser melting. Addit. Manuf. 2015, 5, 68–76. [Google Scholar] [CrossRef]
- Al-Maharma, A.Y.; Patil, S.P.; Markert, B. Effects of porosity on the mechanical properties of additively manufactured components: A critical review. Mater. Res. Express 2020, 7, 122001. [Google Scholar] [CrossRef]
- Guzanová, A.; Ižaríková, G.; Brezinová, J.; Živčák, J.; Draganovská, D.; Hudák, R. Influence of build orientation, heat treatment, and laser power on the hardness of Ti6Al4V manufactured using the DMLS process. Metals 2017, 7, 318. [Google Scholar] [CrossRef]
- Al-Rubaie, K.S.; Melotti, S.; Rabelo, A.; Paiva, J.M.; Elbestawi, M.A.; Veldhuis, S.C. Machinability of SLM-produced Ti6Al4V titanium alloy parts. J. Manuf. Process. 2020, 57, 768–786. [Google Scholar] [CrossRef]
- Hall, E.O. Variation of Hardness of Metals with Grain Size. Nature 1954, 173, 948–949. [Google Scholar] [CrossRef]
- Lee, W.S.; Lin, M.T. The effects of strain rate and temperature on the compressive deformation behaviour of Ti-6Al-4V alloy. J. Mater. Process. Technol. 1997, 71, 235–246. [Google Scholar] [CrossRef]
- Nixon, M.E.; Cazacu, O.; Lebensohn, R.A. Anisotropic response of high-purity α-titanium: Experimental characterization and constitutive modeling. Int. J. Plast. 2010, 26, 516–532. [Google Scholar] [CrossRef]
- Lin, P.; Hao, Y.; Zhang, B.; Zhang, S.; Chi, C.; Shen, J. Tension–compression asymmetry in yielding and strain hardening behavior of CP-Ti at room temperature. Mater. Sci. Eng. A 2017, 707, 172–180. [Google Scholar] [CrossRef]
- Syed, F.W.; Anil Kumar, V.; Gupta, R.K.; Kanjarla, A.K. Role of microstructure on the tension/compression asymmetry in a two-phase Ti-5Al-3Mo-1.5V titanium alloy. J. Alloys Compd. 2019, 795, 151–162. [Google Scholar] [CrossRef]
- Suryawanshi, J.; Singh, G.; Msolli, S.; Jhon, M.H.; Ramamurty, U. Tension–compression asymmetry and shear strength of titanium alloys. Acta Mater. 2021, 221, 117392. [Google Scholar] [CrossRef]
- Neeraj, T.; Savage, M.F.; Tatalovich, J.; Kovarik, L.; Hayes, R.W.; Mills, M.J. Observation of tension–compression asymmetry in α/β and titanium alloys. Philos. Mag. 2005, 85, 279–295. [Google Scholar] [CrossRef]
- Gilles, G.; Hammami, W.; Libertiaux, V.; Cazacu, O.; Yoon, J.H.; Kuwabara, T.; Habraken, A.M.; Duchêne, L. Experimental characterization and elasto-plastic modeling of the quasi-static mechanical response of TA-6 v at room temperature. Int. J. Solids Struct. 2011, 48, 1277–1289. [Google Scholar] [CrossRef]
- Tuninetti, V.; Gilles, G.; Milis, O.; Pardoen, T.; Habraken, A.M. Anisotropy and tension–compression asymmetry modeling of the room temperature plastic response of Ti-6Al-4V. Int. J. Plast. 2015, 67, 53–68. [Google Scholar] [CrossRef]
- Singh, P.K.; Kumar, S.; Jain, P.K.; Dixit, U.S. Effect of Build Orientation on Metallurgical and Mechanical Properties of Additively Manufactured Ti-6Al-4V Alloy. J. Mater. Eng. Perform. 2024, 33, 3476–3493. [Google Scholar] [CrossRef]
- Xie, Z.; Dai, Y.; Ou, X.; Ni, S.; Song, M. Effects of selective laser melting build orientations on the microstructure and tensile performance of Ti-6Al-4V alloy. Mater. Sci. Eng. A 2020, 776, 139001. [Google Scholar] [CrossRef]
- Amsterdam, E.; Kool, G.A. High cycle fatigue of laser beam deposited Ti-6Al-4V and inconel 718. In ICAF 2009, Bridging the Gap between Theory and Operational Practice—Proceedings of the 25th Symposium of the International Committee on Aeronautical Fatigue, Rotterdam, The Netherlands, 27–29 May 2009; Springer: Dordrecht, The Netherlands, 2009; pp. 1261–1274. [Google Scholar] [CrossRef]
- Jaber, H.; Kónya, J.; Kulcsár, K.; Kovács, T. Effects of Annealing and Solution Treatments on the Microstructure and Mechanical Properties of Ti6Al4V Manufactured by Selective Laser Melting. Materials 2022, 15, 1978. [Google Scholar] [CrossRef]
- Wang, L.; Ma, C.; Huang, J.; Ding, H.Y.; Chu, M.Q. Microstructure and tensile properties of Ti-6Al-4V alloys manufactured by selective laser melting with optimized processing parameters. IOP Conf. Ser. Mater. Sci. Eng. 2017, 265, 012015. [Google Scholar] [CrossRef]
- Carroll, B.E.; Palmer, T.A.; Beese, A.M. Anisotropic tensile behavior of Ti-6Al-4V components fabricated with directed energy deposition additive manufacturing. Acta Mater. 2015, 87, 309–320. [Google Scholar] [CrossRef]
- Sun, W.; Ma, Y.; Huang, W.; Zhang, W.; Qian, X. Effects of build direction on tensile and fatigue performance of selective laser melting Ti6Al4V titanium alloy. Int. J. Fatigue 2020, 130, 105260. [Google Scholar] [CrossRef]
- Chong, Y.; Bhattacharjee, T.; Yi, J.; Shibata, A.; Tsuji, N. Mechanical properties of fully martensite microstructure in Ti-6Al-4V alloy transformed from refined beta grains obtained by rapid heat treatment (RHT). Scr. Mater. 2017, 138, 66–70. [Google Scholar] [CrossRef]
- Hockett, J.E.; Sherby, O.D. Large strain deformation of polycrystalline metals at low homologous temperatures. J. Mech. Phys. Solids 1975, 23, 87–98. [Google Scholar] [CrossRef]
- Cao, S.; Chu, R.; Zhou, X.; Yang, K.; Jia, Q.; Lim, C.V.S.; Huang, A.; Wu, X. Role of martensite decomposition in tensile properties of selective laser melted Ti-6Al-4V. J. Alloys Compd. 2018, 744, 357–363. [Google Scholar] [CrossRef]
- Mouritz, A.P. Introduction to Aerospace Materials; Elsevier: Amsterdam, The Netherlands, 2012. [Google Scholar]
- Ivanov, S.; Gushchina, M.; Artinov, A.; Khomutov, M.; Zemlyakov, E. Effect of elevated temperatures on the mechanical properties of a direct laser deposited ti-6al-4v. Materials 2021, 14, 6432. [Google Scholar] [CrossRef]
- Lennon, A.M.; Ramesh, K.T. The influence of crystal structure on the dynamic behavior of materials at high temperatures. Int. J. Plast. 2004, 20, 269–290. [Google Scholar] [CrossRef]
- Gao, C.Y.; Zhang, L.C.; Yan, H.X. A new constitutive model for HCP metals. Mater. Sci. Eng. A 2011, 528, 4445–4452. [Google Scholar] [CrossRef]
- Tvergaard, V.; Needleman, A. Analysis of the cup-cone fracture in a round tensile bar. Acta Metall. 1984, 32, 157–169. [Google Scholar] [CrossRef]
- Lavogiez, C.; Dancette, S.; Cazottes, S.; Le Bourlot, C.; Maire, E. In situ analysis of plasticity and damage nucleation in a Ti-6Al-4V alloy and laser weld. Mater. Charact. 2018, 146, 81–90. [Google Scholar] [CrossRef]











| Material and Directions | SLS | SLM | W-WQ | ||||||
|---|---|---|---|---|---|---|---|---|---|
| X | XY | Y | XZ | Z | X | XZ | Z | ||
| Uniaxial Tension @ 5 × 10−4/s and RT | 3 | 3 | 3 | 3 | 3 | 3 | 3 | 3 | 3 |
| Uniaxial Tension @ 5 × 10−4/s and HT | 4 | - | - | - | - | 2 | - | - | 2 |
| Uniaxial Tension @ 1 × 10−2/s and RT | 2 | - | - | - | - | 2 | - | - | 2 |
| Uniaxial Compression @ 5 × 10−4/s and RT | 2 | - | - | - | 2 | 2 | - | 2 | 2 |
| Material | Prior-β Average Diameter (μm) | α′ Lamellae Thickness (μm) |
|---|---|---|
| W-WQ | 1150 | 1.9 ± 0.6 |
| SLS | 85 | 0.9 ± 0.3 |
| SLM | 80 | 1.2 ± 0.4 |
| Test | Temperature (°C) | Strain-Rate (1/s) | (MPa) | (MPa) | (%) | (%) |
|---|---|---|---|---|---|---|
| RBU-S X | 25 | 1141.1 | 1179.2 | 3.2 | 40.1 | |
| RBU-S X | 25 | 1178.1 | 1195.7 | 2.0 | 53.3 | |
| RBU-S X | 150 | 926.2 | 985.6 | 4.4 | 94.1 | |
| RBU-S X | 235 | 854.6 | 905.4 | 3.4 | 112.3 | |
| RBU-S Y | 25 | 1144.1 | 1179.6 | 2.9 | 37.6 | |
| RBU-S XY | 25 | 1141.3 | 1178.0 | 2.9 | 40.3 | |
| RBU-S Z | 25 | 1115.6 | 1157.3 | 3.3 | 35.1 | |
| RBU-S XZ | 25 | 1152.5 | 1199.0 | 3.7 | 41.6 | |
| AC-S X | 25 | 1282.8 | N.A. | N.A. | N.A. | |
| AC-S Z | 25 | 1308.3 | N.A. | N.A. | N.A. |
| Test | Temperature (°C) | Strain-Rate (1/s) | (MPa) | (MPa) | (%) | (%) |
|---|---|---|---|---|---|---|
| RBU-S XY | 25 | 1121.5 | 1168.9 | 3.4 | 36.7 | |
| RBU-S XY | 25 | 1139.6 | 1169.7 | 2.7 | 55.5 | |
| RBU-S XY | 100 | 979.6 | 1050.2 | 4.5 | 88.1 | |
| RBU-S Z | 25 | 1094.9 | 1153.7 | 4.5 | 61.6 | |
| RBU-S XYZ | 25 | 1087.2 | 1144.3 | 4.1 | 58.3 | |
| AC-S XY | 25 | 1237.4 | N.A. | N.A. | N.A. | |
| AC-S Z | 25 | 1294.9 | N.A. | N.A. | N.A. |
| Author | AM Process | Heat Treatment | Microstructure | Direction/ Position | YS (MPa) | UTS (MPa) |
|---|---|---|---|---|---|---|
| Cain et al. [41] | SLM | AB | X/flat | 1093 | 1279 | |
| Z | 1125 | 1216 | ||||
| 650 °C-4 h + FC | X/flat | 1145 | 1187 | |||
| Z | 1132 | 1156 | ||||
| 890 °C-2 h + FC | + | X/flat | 973 | 996 | ||
| Z | 964 | 998 | ||||
| Simonelli et al. [23] | SLM | AB | X/flat | 1075 | 1199 | |
| X/edge | 978 | 1143 | ||||
| Z | 967 | 1117 | ||||
| 730 °C-4 h + FC | + | X/flat | 974 | 1065 | ||
| X/edge | 958 | 1057 | ||||
| Z | 937 | 1052 | ||||
| Vilaro et al. [16] | SLM | AB | X | 1137 | 1206 | |
| Y | 962 | 1166 | ||||
| 1050 °C-1 h + WQ | X | 913 | 1019 | |||
| Y | 836 | 951 | ||||
| 980 °C-1 h + WQ | + + | X | 944 | 1036 | ||
| Y | 925 | 1040 | ||||
| 730 °C-2 h + AC | + + | X | 965 | 1046 | ||
| Y | 900 | 1000 | ||||
| Amsterdam and Kool [56] | LBD | 970 °C-1 h + WQ | + | X | 973 | 1073 |
| Z | 943 | 1073 | ||||
| 538 °C + AC | + | X | 1063 | 1162 | ||
| Z | 1045 | 1141 | ||||
| Wang et al. [58] | DMLM | 800 °C-2 h + FC | + | X | 988 | 1053 |
| Z | 982 | 1037 | ||||
| Carroll et al. [59] | DED | AB | N.A. | X/edge | 960 | 1063 |
| Z | 945 | 1041 | ||||
| Sun et al. [60] | SLM | 750–850 °C-5 h | N.A. | X | 858 | 936 |
| XZ | 883 | 964 | ||||
| Z | 888 | 953 | ||||
| Bai et al. [24] | SLM | AB | N.A. | 1065 | 1152 | |
| 850 °C-2 h + FC | + | N.A. | 943 | 989 | ||
| 950 °C-2 h + FC | + | N.A. | 835 | 887 | ||
| 1020 °C-2h + FC | + | N.A. | 742 | 839 | ||
| CA | Bimodal | N.A. | 1054 | 1196 | ||
| Lee et al. [26] | SLM (Ti64ELI) | AB | ’ | X | 1372 | 1656 |
| Z | 1278 | 1602 | ||||
| 800 °C-2 h + AC | + | X | 1101 | 1615 | ||
| Z | 1029 | 1537 | ||||
| 900 °C-2 h + AC | + + | X | 1007 | 1501 | ||
| Z | 969 | 1837 | ||||
| 950 °C-2 h + AC | + + | X | 1017 | 1689 | ||
| Z | 939 | 1609 | ||||
| This work | SLS | 635 °C-3 h + FC | ’ | X | 1067.2 | 1141.2 |
| Y | 1081.9 | 1143.7 | ||||
| XY | 1082.2 | 1144.8 | ||||
| Z | 1057.3 | 1124.9 | ||||
| XZ | 1101.6 | 1153.6 | ||||
| SLM | 740 °C-2 h + FC | ’ | XY | 1052.5 | 1114.8 | |
| XYZ | 1027.7 | 1087.6 | ||||
| Z | 1051.9 | 1096.4 |
Disclaimer/Publisher’s Note: The statements, opinions and data contained in all publications are solely those of the individual author(s) and contributor(s) and not of MDPI and/or the editor(s). MDPI and/or the editor(s) disclaim responsibility for any injury to people or property resulting from any ideas, methods, instructions or products referred to in the content. |
© 2024 by the authors. Licensee MDPI, Basel, Switzerland. This article is an open access article distributed under the terms and conditions of the Creative Commons Attribution (CC BY) license (https://creativecommons.org/licenses/by/4.0/).
Share and Cite
Ricci, S.; Iannitti, G. Mechanical Behavior of Additive Manufacturing (AM) and Wrought Ti6Al4V with a Martensitic Microstructure. Metals 2024, 14, 1028. https://doi.org/10.3390/met14091028
Ricci S, Iannitti G. Mechanical Behavior of Additive Manufacturing (AM) and Wrought Ti6Al4V with a Martensitic Microstructure. Metals. 2024; 14(9):1028. https://doi.org/10.3390/met14091028
Chicago/Turabian StyleRicci, Sara, and Gianluca Iannitti. 2024. "Mechanical Behavior of Additive Manufacturing (AM) and Wrought Ti6Al4V with a Martensitic Microstructure" Metals 14, no. 9: 1028. https://doi.org/10.3390/met14091028
APA StyleRicci, S., & Iannitti, G. (2024). Mechanical Behavior of Additive Manufacturing (AM) and Wrought Ti6Al4V with a Martensitic Microstructure. Metals, 14(9), 1028. https://doi.org/10.3390/met14091028

