Abstract
The advancement in additive manufacturing has significantly expanded the use of lattice structures in many engineering fields. Titanium diamond lattice structures, produced by a direct metal laser sintering process, were experimentally investigated. Two cell sizes were selected at five different relative densities. Morphological analysis was conducted by digital microscopy. The compressive tests and digital image correlation technique allowed the evaluation of elastic moduli to be used in the Gibson–Ashby model. Failure mechanisms of the structures have been analysed by digital image correlation, which represents a promising technique for strain evaluation of such structures. A non-linear finite element model of the lattice structures was developed and validated using the experimental data. The analysis of the results highlights the good mechanical properties of the Ti6Al4V alloy lattice structures.
1. Introduction
The growing interest in advanced component manufacturing using 3D-printing technology opens new challenges and perspectives in the transportation industry, allowing the production of complex structures with high mechanical performance. Additive Manufactured Honeycomb Sandwich structures (AMHS) were recently proposed for marine structural applications [1]. Additive manufacturing (AM) lattice structures are well employed in ship, aircraft, automotive and biomedical devices [2,3,4,5,6]. Recently, additive manufacturing lattice structures have been employed inside structural ship’s hulls for replacing inner planking layers. With the spread of the new unmanned aerial vehicles (UAVs), a lot of operations in the military and civilian sector have been simplified. These vehicles must be swift, full of agility and, at the same time, fuel efficient. These qualities could be possible to achieve firstly by using light-weight structures to reduce mass onboard, so the application of additive manufacturing technology may offer a good solution [7,8]. One of the most common techniques used in the manufacturing of Ti-6Al-4V lattice structures is Selective Laser Melting (SLM). Several studies on these structures have been conducted to assess crucial mechanical properties for various application fields, including medical [9,10]. Direct metal laser sintering (DMLS) is a further advanced 3D-printing process that uses laser technology to melt and layer metal powders, creating three-dimensional objects layer by layer. In this printing process, a substrate of metal powder is deposited and subsequently a precision laser selectively melts the powder according to 3D-model specifications. After, the lower substrate allows the next layer of powder to be added. This iteration continues until the entire object is created. DMLS printing is particularly advantageous for the manufacturing of complex and custom components in metal alloys, offering greater design and high mechanical performance compared with traditional metal fabrication methods.
The knowledge of the mechanical properties of these new AM structures is essential. The responses of bending-dominated and stretch-dominated lattice structures have been generally evaluated [11]. Stretch-dominated structures have higher stiffness rather than bending-dominated structures which are subjected to bending moments. Among the strut-based lattice structures that have been studied in the last years there are body-centred cubic (BCC) and face-centred-cubic (FCC) cells; in addition to these, there are other strut-based cells such as diamond and octet-truss cells. Triply periodic minimal surfaces (TPMS) structures are interesting for their energy adsorption applications. The challenge is to define their mechanical properties to choose the optimal design. Studies have pointed out the TPMS mechanical properties by means of finite element (FE) analyses and compressive tests for validating experimental data [12,13,14,15], highlighting the great advantages of employing TPMS structures not only for static purposes but also for dynamic applications with a high strain rate. TPMS show interesting fatigue behaviour especially for Gyroid cellular structures (GCS) [14]. The sheet-based Ti6Al4V alloy TPMS structures show great properties regarding the adsorption of energy, for example the TPMS-Diamond structure with a nominal thickness of 0.2 mm has a value of energy adsorbed of 37.9 MJ/ with an adsorption efficiency of nearly 58% [15].
The methodology of this study is based on compressive tests supported by FE simulations and a digital image correlation (DIC) technique to assess the failure mechanisms of the lattice structures. Due to the high cost of the metallic powder materials [16] and of the AM processes [17,18], the implementation of an FE model alongside the experimental investigation is a common practice in the evaluation of the mechanical performance of the lattice structures [19,20,21,22]. A reliable FE model, in good agreement with the experimental results, can accurately predict the mechanical response of a lattice structure [23]. The combination of the DIC technique and FE analysis could unravel ambiguity in the mechanical properties of lattice structures [24,25,26,27,28,29]. Fila et al. [30] confirmed the importance of using the DIC technique for obtaining information about displacements, strain and velocities during quasi-static and dynamic tests of lattice structures. Recent cases reported by Drücker et al. [31] also support the hypothesis that DIC measurements could be useful for obtaining true stress–strain data for additively manufactured lattice structures. Köhnen et al. [32] investigated the plastic deformation behaviour of AISI 316L/1.44 lattice structures during tension, compression and fatigue testing using optical microscopy, SEM and DIC. Boniotti et al. [33] developed FE models for studying the effects of defects and geometrical irregularities of SLM AlSi7Mg lattice structures with the aid of DIC and micro-computed tomography. Neuhäuserová et al. [34] proposed an in-house algorithm for digital image correlation for evaluating the displacements of lattice structures subjected to quasi-static and dynamic loading conditions when analysing tetrakaidekahedral unit cells.
This study focuses on analysing the mechanical properties of lattice structures of Ti6Al4V ELI alloy, produced by the SLM process, through experimental compression tests, evaluating two different cell sizes. The use of the DIC technique enabled the mechanical characterization of the lattice materials and the construction of the Gibson–Ashby model. DIC was also employed for detecting failure mechanisms in lattice structures, allowing for further investigations about local strain approaches. The failure mechanisms on the tested specimens were observed by digital microscopy. In addition, FEM analyses have been performed and validated by experimental tests to evaluate their reliability in the design of such structures. The used approach provides insights about the performance of additive manufacturing lattice materials, offering potential advancements in material design and structural engineering.
2. Materials and Methods
2.1. Design and Manufactuting of the Specimens
Figure 1.
TPMS diamond skeletal unit cell.
TPMS diamond skeletal lattices were designed using the open-source ASLI software v0.1 [35]. Two cell dimensions were selected: one measuring 3 mm and the other 4 mm, with relative densities ranging from 10% to 50%. The analysis of the different cell sizes allows for the evaluation of its effect on the mechanical properties of the lattice material at various relative densities. Cylindrical specimens of 35 mm height and 30 mm diameter were fabricated in Ti6Al4V ELI (Grade 23) titanium alloy by a SLM 280 Twin 3D-printer (SLM Solutions Group AG, Lübeck, Germany). The used titanium alloy had a spherical shape and a particle size in the range 20–63 μm. The thickness of the powder layer was set to 30 μm. The additively manufactured specimens are shown in Figure 2.
Figure 2.
TPMS diamond skeletal specimens.
Digital microscopy was applied to evaluate the accuracy of the DMLS process before carrying out the compressive tests.
Uniaxial compressive tests were carried out on a universal testing machine (UTM), which was equipped with load cells of 25 kN to test specimen with relative density 10%, 250 kN to test specimens with relative densities 20% and 30%, and 600 kN to test specimens with relative densities 40% and 50%. The load cells were calibrated according to ISO 7500-1 [36], with those from 25 kN and 250 kN in Class 1 while those from 600 kN in Class 0.5. Compressive tests were carried out at a crosshead velocity of 2 mm/min.
DIC technique, with open source 2D DIC software Ncorr v1.2 [37], was used to calculate the elastic moduli of the diamond lattices and to evaluate their collapse mechanism. To this purpose, videos of the compressive tests were recorded with a super-macro-objective, at a resolution of 1280 × 720 pixels and an acquisition rate of 60 fps. The images were calibrated considering the known specimen’s dimensions, obtaining a resolution of 0.08 mm/pixel. Due to the cylindrical specimen’s shape, the ROI was analysed in the central portion of the images, with a dimension of 140 × 90 pixels and close to the distortion centre, where the distortion due to the geometry and the objective is minimal and can be considered negligible [38]. It was decided to not apply a speckle pattern on the specimen’s surfaces, thus exploiting the inherent porosity of the structures. Gibson–Ashby model was applied to relate the mechanical properties of the lattices to their relative densities. According to the model, elastic moduli calculated from DIC and compressive strength obtained from UTM were plotted against the relative densities to obtain, respectively, the power Equations (2) and (3).
where E* and σ* are, respectively, the elastic modulus and the compressive strength of the lattice material, and Es and σs are the elastic modulus and the compressive strength of the parent material. C1, C2, n1, and n2 are constant values, which are experimentally determined. The mechanical properties of the parent material, used to apply the Gibson–Ashby formulae, were obtained from the previous literature in which experimental tests were conducted on laser-based AM Ti-6Al-4V alloy specimens [39].
2.2. Finite Element Model
A non-linear FE model was developed by means of Altair HyperWorks 2022.3 (Altair Engineering, Troy, MI, USA) software package and Optistruct as implicit solver. The numerical analysis was conducted with the aim of evaluating the diamond lattice elastic modulus, making a comparison with the experimental results.
Numerical models were set up to exploit ASLI software v0.1 [35] to build a 3D mesh of first order tetrahedral elements with a dimension of 0.3 mm, following a mesh sensitivity study performed on the specimen with a relative density of 30%. It represents the worst case having the thinner strut among the specimens analysed in the FE model. The choice of the mesh size is based on the strut size, considering the software recommendations to have at least three elements on the smaller thickness. Three mesh sizes were analysed: 0.2 mm, 0.3 mm and 0.4 mm. Figure 3 reports the comparison of the analyses’ results, in terms of von Mises stress.
Figure 3.
Von Mises stress results of the mesh sensitivity test for mesh sizes: (a) 0.2 mm; (b) 0.3 mm; (c) 0.4 mm.
Moreover, a comparison of the von Mises stress calculated in three different zones in the central section of the specimen was performed, as reported in Table 1 referring to Figure 4.
Table 1.
Comparison of the von Mises stress evaluated in three different zone of the specimens for the mesh sensitivity test.
Figure 4.
Zones of the specimen considered for the evaluation of the von Mises stress for the mesh sensitivity test.
The 0.4 mm mesh size was compared with the 0.3 mm mesh size and the von Mises stress percentage error, calculated in zones 1, 2 and 3, was, respectively: 22%, 22% and 8%. The mesh size 0.4 mm was therefore discarded since a percentage error higher than 20% was not considered suitable for the FE analysis. The comparison between mesh sizes 0.2 and 0.3 mm resulted in a von Mises stress percentage error in the central (zone 2) and lower (zone 3) parts of the specimens equal to 8% and 6%, respectively. These values are lower than 10% and therefore they are considered acceptable. A percentage error higher than 10% was found in the top part of the specimen and it is equal to 12%. However, the purpose of the proposed FE analysis is to calculate the lattice’s elastic modulus, and the FE model does not aim to evaluate the diamond lattice’s behaviour when subjected to high loads and deformation; therefore, the error was considered acceptable, and the mesh size of 0.3 mm was considered suitable for the FE analysis.
Due to computational time reason, smaller specimens were used compared with that of experimental tests. The use of smaller specimens does not affect the results, since the elastic modulus of the lattice structure does not depend on the specimen dimensions but only on the elastic modulus of the parent material and the lattice’s relative density, as confirmed by the power relationship (2) of the Gibson–Ashby model. Cylindrical specimens of 16 mm diameter and 25 mm height were designed with diamond cells of 3 mm and 4 mm size and relative densities from 30% to 50%. The specimen dimension does not affect the evaluation of the lattice’s elastic modulus. Two compression plates, modelled with quad elements of 0.3 mm size, were placed at the top and bottom surface of the specimens to apply boundary conditions. Lattice structures and compression plates were made of Ti6Al4V alloy and steel, respectively. Their mechanical properties, obtained from the literature [39], are reported in Table 2.
Table 2.
Material properties used in the FE model.
A frictionless contact was applied at the interface between specimen and plates. A compressive load of 1 kN was applied on the top plate while the bottom plate was fixed, as depicted in Figure 5. The choice of 1 kN load is due to the fact that, for all the specimens experimentally tested, this value belongs to the elastic region in the load–displacement curve.
Figure 5.
FE model boundary conditions.
3. Experimental Results and Discussion
3.1. Dimensional Check Results
The designed and the actual relative densities of the diamond lattices are reported in Table 3.
Table 3.
Mass and relative density of the specimens.
The actual relative densities of specimens with a cell size of 3 mm are higher than those with a cell size of 4 mm even if the designed relative density is the same (Table 3). Table 3 shows that, with equal cell size, the mismatch decreases at the increase in relative density. An increase in the cell size allows for a better quality of 3D printing, since with equal relative density specimens of a 4 mm cell size present a percentage mismatch lower than those with a 3 mm cell size.
Despite the overall specimen’s dimensions being well respected, local defects were encountered during visual evaluation by digital microscopy, especially in specimens at lower densities with smaller strut diameters, which are more difficult to reproduce during the 3D-printing process, as shown in Figure 6.
Figure 6.
(a) diamond skeletal unit cell and digital microscopy of specimen 4 mm_10% with: (b) in the red boxes are highlighted inaccuracies in building the struts; (c) strut diameter correctly printed.
With reference to the diamond skeletal unit cell (Figure 6a), specimen 4 mm_10% presents defects in the central parts of the struts where the diameter is lower, as highlighted in Figure 6b. However, the microscopy observation allows for the assertion that, globally, the 3D-printing process well respects the strut’s geometry, as visible in Figure 6c.
Specimens with a relative density of 50% and a higher strut diameter also showed bad reproducibility of the strut diameters in some parts of the geometry, leading to circularity defects in the specimen’s pore shape, as observable in Figure 7.
Figure 7.
Digital microscopy of (a) in the red boxes are highlighted discrepancies between designed and actual pore size geometry for specimen 3 mm_50%, (b) 3 mm_40%.
As highlighted in Figure 7a, the pore size geometry of the specimen 3 mm_50% is not always well reproduced; this problem is less observable in specimens with lower relative densities, as depicted in Figure 7b for the specimen 3 mm_40%.
The evaluation of the mismatch between designed and actual cell morphology is considered useful for the reliability of the FE analyses since those defects are generally not included in the simulations.
3.2. Compressive Tests
Figure 8 shows representative results of the compressive tests in terms of the stress–strain curves according to the various specimens’ relative densities. According to the Gibson–Ashby theory [40], it is possible to highlight how the maximum force, and consequently the maximum stress, is similar for cells of 3 mm and 4 mm size. In the curves, the stress peak corresponds to failure of the single layer of the lattice structure. From the curves obtained from testing lattice structures with 10% relative density (Figure 8a), it is possible to highlight the stress trend during the entire test. It can be seen how the stress decreases with each layer failure until reaching a sort of plateau. The whole curve is reported as a representative trend of each specimen, which experienced a stress peak after a layer failure. For the other relative densities, the analysis was conducted focusing on the maximum peak, corresponding to the first layer failure. Also in this case, the curves measured for the specimens with 50% relative density are reported as examples (Figure 8b). The stress–strain curves at 10% relative density were plotted by measuring the strain via the UTM, and the other curves were plotted by measuring the strain using DIC equipment. From the analysis of the strains for each relative density, similar values were found in both cases of cells size analysed.
Figure 8.
Stress—strain curves of the tested specimens: (a) whole curves obtained by UTM for 10% relative density; (b) curves at maximum stress obtained by DIC for 50% relative density.
The specific energy absorbed per unit mass (SEAm) was calculated, using Equation (4), as the ratio of the stress–stain curve integral to the lattice structure density (ρ).
The results, in terms of maximum force (Fmax), maximum stress (σmax) and elasticity modulus (E) and specific energy absorbed, are reported in Table 4. During the compressive test of the specimen 4 mm_20%, complete failure was not reached; therefore, it was not possible to evaluate the Fmax, σmax and SEAm.
Table 4.
Results of the compressive tests.
The analysis of the results in terms of specific energy absorbed, shown in Figure 9, underlines how the values increase as the relative density increases. Furthermore, the specimens’ comparison with the same relative density shows that cell size has a limited influence on the energy adsorption properties of the lattice structures under investigation.
Figure 9.
SEA comparison of the tested specimens.
There is a significant difference in terms of specific energy absorbed only for the specimens with a value of 30% of relative density. This could be due to the presence of defects inside the 3 mm_30% specimen.
The elastic modulus was calculated by DIC images, considering from each DIC frame the mean strain evaluated in the region of interest (ROI) of the specimen. The obtained strain values were then related to the stresses calculated from UTM and therefore the elastic modulus was calculated.
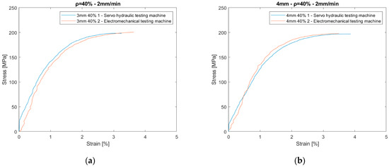
It was chosen to carry out tests at different density values to perform repetitions on specimens under the same conditions. The repeatability of the values of the compressive tests was validated by carrying out two repetitions only on specimens with 40% relative density. Figure 10 shows the elastic region, up to the compressive strength, of the specimens 3 mm_40% (Figure 10a) and 4 mm_40% (Figure 10b).
Figure 10.
Stress—strain curves of the repetition tests of specimens: 3 mm_40% (a); 4 mm_40% (b).
For the specimens with 40% relative density, the two repetitions were carried out with a servo hydraulic testing machine and an electromechanical testing machine.
Table 5 reports the mechanical properties obtained by the repeated tests; the elastic moduli were calculated through DIC technique. The experimental tests confirm the repeatability of the results.
Table 5.
Mechanical properties of the specimens 3 mm_40% and 4 mm_40%.
The mechanical properties obtained from compressive tests were related to the relative densities through the application of the Gibson–Ashby model. The results are reported in Figure 11 and summarised in Table 6, together with data from the literature for the same lattice topology.
Figure 11.
Gibson–Ashby curves: (a) relative modulus versus relative density; (b) relative strength versus relative density.
Table 6.
Gibson–Ashby model constants.
The results showed a limited effect of the cell size on the mechanical properties. The Gibson–Ashby model [43] predicts the range of the coefficient C1 and C2 to be, respectively, in the ranges of 0.1–4 and 0.1–1, while the exponent n1 and n2 are, respectively, 2 and 1.5. The calculated coefficient for the relative modulus falls within the predicted range, and Gibson–Ashby report that exponent values around 2 are considered acceptable. The coefficient and exponent of the relative strength fall out of the predicted range; however, data reported in literature [41,42] show discrepancies in the determination of these parameters. The coefficients C2 evaluated in the present work are higher than those from the literature, while exponents n2 are in accordance with the reported data.
3.3. Collapse Mode
The tested lattice structures are shown in Figure 12. From visual inspection, it is possible to highlight various compressive failure modes. At 10% of relative density, for both cell sizes, it can be seen how the lattice structure collapses on itself in a brittle mode without the formation of macrocracks. As the relative density increases (from 20% to 50%), there is a layer’s densification and therefore failure through 45° diagonal paths. It is possible to correlate the collapse mode with the stress–strain curves described in Figure 8. The number of stress peaks detected on the curves corresponds to the number of collapsed layers visible on the broken specimens. It is also possible to underline how, for the 3 mm cell size, the layer’s densification at 30 and 40% densities allows the structure to strengthen by recovering up to 93% and 86% of the initial load. For the 4 mm cell size, the structure recovers up to 95% and 87% of the initial load. The failure via the diagonal path was also verified by the DIC investigation, as shown in Figure 13.
Figure 12.
TPMS diamond skeletal tested specimens.
Figure 13.
DIC results of specimen 4 mm_50%.
DIC images report the vertical strain in terms of Eulerian–Almansi strain [44], which is calculated with respect to the deformed state of the specimen. The strains reported in Figure 13 are evaluated as the mean strain of the DIC frame. The strains are almost constant in the elastic region (ε = 0.005), and they slightly increase in the bottom part after reached the elastic limit (ε = 0.012). From this point, the top region of the specimen starts to deform with a diagonal path (red part in Figure 13 at a strain of 0.04) while strains linearly increase in the central and bottom regions up to the maximum stress (ε = 0.04); however, no cracks formation and propagation were observed. After reaching the maximum stress, a sudden fracture appears in the top region with a bi-diagonal path, leading to a high strain increase (ε = 0.08). The observed behaviour is representative of the whole batch except for specimens with a relative density of 10%, which, as described in Figure 12, collapse on themselves layer-by-layer, as is also confirmed by the DIC vertical strain evolution presented in Figure 14.
Figure 14.
DIC results of specimen 3 mm_10.
Figure 14 shows the deformation process of the 3 mm_10% specimen during the compressive test up to a global strain of 10%. As visible, the deformation is concentrated in the lower layers while the upper layers remain undeformed. After the collapse of a specific layer, the adjacent one starts to deform, in a layer-by-layer mechanism of collapse.
3.4. Finite Element Model Results
Table 7 shows the results of the FE analysis, in terms of Young’s Modulus, and the comparison with the experimental results obtained using the DIC technique. The elastic modulus was determined by evaluating the mean principal strain and plotting the result in a stress–strain curve. The elastic modulus was then evaluated as the slope of the stress–strain curve. The values of the elastic moduli, obtained by FE simulations, confirm the experimental results; the values increase as the relative density increases and are not influenced by the cell size. The values are very similar for specimens with the same density and different cell sizes; this difference is higher for the experimental values, considering that the FE models do not take into account the real defects [45] and the inaccuracies in the additive manufacturing production.
Table 7.
FE results vs experimental data.
Table 7 shows that the 50% relative density presents the highest discrepancies between the experimental and FE results. The 30% relative density tends to overestimate the lattice’s elastic moduli while the other relative densities tested underestimate this value. Overall, the presented results allow for the assertion that the proposed FE model can be applied as a good tool for a first approximation evaluation of the lattice’s elastic modulus.
4. Conclusions
In this research, the 3D-printed titanium TPMS diamond lattice structures’ characterization was carried out by compressive test and collapse mode analysis.
Before the mechanical characterization, a dimensional check was performed. Overall, specimens’ dimensions were well reproduced during the DMLS printing process, since the calculated error between the designed and measured relative densities were lower than 10%. A slight size effect was encountered in the measurement of the relative density; indeed, specimens with 4 mm cell size showed lower percentage errors. Digital microscopy showed deformities in the strut diameter of the lowest (10%) and the highest (50%) relative densities analysed; however, these deformities were limited to a small number of struts.
From the stress–strain curves obtained by compressive tests, it was possible to observe the non-dependence of the cell size since, when comparing specimens with the same density, the load values were similar. DIC proved to be an effective and high-performance technique for evaluating the strains and elastic modulus of the material under examination and allowed for the building of the Gibson–Ashby predictive curves. The failure mode analysis highlights the various compressive failure modes: at a lower relative density, the lattice structure collapses on itself without a macrocrack formation, and for the other density, there is the formation of a 45° diagonal path. The densification phenomenon allows the structure to strengthen by recovering up to 95% in the 4 mm case with a 30% relative density.
The FE results showed that the FE model can be applied as a good tool for a first approximation evaluation of the lattice’s elastic modulus. The proposed FE model turned out to be a fast test method since the mesh is automatically generated through the ASLI software v0.1 and the simulation time is reduced since load and deformation are applied in the specimen’s elastic region.
Author Contributions
Conceptualization, G.E.; methodology F.D.; validation, V.C. and G.E.; formal analysis, F.D., D.R. and G.B.; investigation, F.D., D.R. and G.E.; resources, V.C. and G.E.; data curation, F.D., D.R. and G.B.; writing—original draft preparation, F.D., D.R. and G.B.; writing—review and editing, V.C. and G.E.; visualization, F.D., D.R. and G.B.; supervision, V.C. and G.E.; funding acquisition, V.C. All authors have read and agreed to the published version of the manuscript.
Funding
This research received no external funding.
Data Availability Statement
The raw data supporting the conclusions of this article will be made available by the authors on request.
Acknowledgments
This study shows the results of the research activities of the Research Project “EOLO” (Code: ARS01_01044), project funded by the PON (National Operative Programme) 2014–2020.
Conflicts of Interest
The authors declare no conflicts of interest.
References
- Garbatov, Y.; Scattareggia Marchese, S.; Epasto, G.; Crupi, V. Flexural Response of Additive-Manufactured Honeycomb Sandwiches for Marine Structural Applications. Ocean. Eng. 2024, 302, 117732. [Google Scholar] [CrossRef]
- Adelmann, B.; Hellmann, R. Mechanical Properties of LPBF-Built Titanium Lattice Structures—A Comparative Study of As-Built and Hot Isostatic Pressed Structures for Medical Implants. Metals 2022, 12, 2072. [Google Scholar] [CrossRef]
- Jam, A.; du Plessis, A.; Lora, C.; Raghavendra, S.; Pellizzari, M.; Benedetti, M. Manufacturability of Lattice Structures Fabricated by Laser Powder Bed Fusion: A Novel Biomedical Application of the Beta Ti-21S Alloy. Addit. Manuf. 2022, 50, 102556. [Google Scholar] [CrossRef]
- Boursier Niutta, C.; Ciardiello, R.; Tridello, A. Experimental and Numerical Investigation of a Lattice Structure for Energy Absorption: Application to the Design of an Automotive Crash Absorber. Polymers 2022, 14, 1116. [Google Scholar] [CrossRef] [PubMed]
- Ferro, C.G.; Varetti, S.; Maggiore, P. Experimental Evaluation of Mechanical Compression of Lattice Trusses Made with Ti6Al4V for Aerospace Use. Chin. J. Aeronaut. 2024, 37, 520–532. [Google Scholar] [CrossRef]
- Armanfar, A.; Alper Tasmektepligil, A.; Kilic, R.T.; Demir, S.; Cam, S.; Karafi, Y.; El Majd, B.A.; Gunpinar, E. Embedding Lattice Structures into Ship Hulls for Structural Optimization and Additive Manufacturing. Ocean. Eng. 2024, 301, 117601. [Google Scholar] [CrossRef]
- Moon, S.K.; Tan, Y.E.; Hwang, J.; Yoon, Y.-J. Application of 3D Printing Technology for Designing Light-Weight Unmanned Aerial Vehicle Wing Structures. Int. J. Precis. Eng. Manuf.-Green Technol. 2014, 1, 223–228. [Google Scholar] [CrossRef]
- Palomba, G.; Crupi, V.; Epasto, G. Additively Manufactured Lightweight Monitoring Drones: Design and Experimental Investigation. Polymer 2022, 241, 124557. [Google Scholar] [CrossRef]
- Papazoglou, D.P.; Neidhard-Doll, A.T.; Pinnell, M.F.; Erdahl, D.S.; Osborn, T.H. Compression and Tensile Testing of L-PBF Ti-6Al-4V Lattice Structures with Biomimetic Porosities and Strut Geometries for Orthopedic Implants. Metals 2024, 14, 232. [Google Scholar] [CrossRef]
- Turudija, R.; Stojković, M.; Stojković, J.R.; Aranđelović, J.; Marinković, D. Stiffness of Anatomically Shaped Lattice Scaffolds Made by Direct Metal Laser Sintering of Ti-6Al-4V Powder: A Comparison of Two Different Design Variants. Metals 2024, 14, 219. [Google Scholar] [CrossRef]
- Maconachie, T.; Leary, M.; Lozanovski, B.; Zhang, X.; Qian, M.; Faruque, O.; Brandt, M. SLM Lattice Structures: Properties, Performance, Applications and Challenges. Mater. Des. 2019, 183, 108137. [Google Scholar] [CrossRef]
- Zhang, L.; Feih, S.; Daynes, S.; Chang, S.; Wang, M.Y.; Wei, J.; Lu, W.F. Energy Absorption Characteristics of Metallic Triply Periodic Minimal Surface Sheet Structures under Compressive Loading. Addit. Manuf. 2018, 23, 505–515. [Google Scholar] [CrossRef]
- Sun, Q.; Sun, J.; Guo, K.; Wang, L. Compressive Mechanical Properties and Energy Absorption Characteristics of SLM Fabricated Ti6Al4V Triply Periodic Minimal Surface Cellular Structures. Mech. Mater. 2022, 166, 104241. [Google Scholar] [CrossRef]
- Yang, L.; Yan, C.; Cao, W.; Liu, Z.; Song, B.; Wen, S.; Zhang, C.; Shi, Y.; Yang, S. Compression–Compression Fatigue Behaviour of Gyroid-Type Triply Periodic Minimal Surface Porous Structures Fabricated by Selective Laser Melting. Acta Mater. 2019, 181, 49–66. [Google Scholar] [CrossRef]
- AlMahri, S.; Santiago, R.; Lee, D.-W.; Ramos, H.; Alabdouli, H.; Alteneiji, M.; Guan, Z.; Cantwell, W.; Alves, M. Evaluation of the Dynamic Response of Triply Periodic Minimal Surfaces Subjected to High Strain-Rate Compression. Addit. Manuf. 2021, 46, 102220. [Google Scholar] [CrossRef]
- Flores, I.; Kretzschmar, N.; Azman, A.H.; Chekurov, S.; Pedersen, D.B.; Chaudhuri, A. Implications of Lattice Structures on Economics and Productivity of Metal Powder Bed Fusion. Addit. Manuf. 2020, 31, 100947. [Google Scholar] [CrossRef]
- Richard, C.T.; Kwok, T.-H. Analysis and Design of Lattice Structures for Rapid-Investment Casting. Materials 2021, 14, 4867. [Google Scholar] [CrossRef] [PubMed]
- Wei, K.; Yang, Q.; Ling, B.; Xie, H.; Qu, Z.; Fang, D. Mechanical Responses of Titanium 3D Kagome Lattice Structure Manufactured by Selective Laser Melting. Extreme Mech. Lett. 2018, 23, 41–48. [Google Scholar] [CrossRef]
- Timercan, A.; Terriault, P.; Brailovski, V. Axial Tension/Compression and Torsional Loading of Diamond and Gyroid Lattice Structures for Biomedical Implants: Simulation and Experiment. Mater. Des. 2023, 225, 111585. [Google Scholar] [CrossRef]
- Zhu, H.; Wang, P.; Wei, D.; Si, J.; Wu, Y. Energy Absorption of Diamond Lattice Cylindrical Shells under Axial Compression Loading. Thin-Walled Struct. 2022, 181, 110131. [Google Scholar] [CrossRef]
- Guo, H.; Takezawa, A.; Honda, M.; Kawamura, C.; Kitamura, M. Finite Element Simulation of the Compressive Response of Additively Manufactured Lattice Structures with Large Diameters. Comput. Mater. Sci. 2020, 175, 109610. [Google Scholar] [CrossRef]
- Shi, X.; Liao, W.; Li, P.; Zhang, C.; Liu, T.; Wang, C.; Wu, J. Comparison of Compression Performance and Energy Absorption of Lattice Structures Fabricated by Selective Laser Melting. Adv. Eng. Mater. 2020, 22, 2000453. [Google Scholar] [CrossRef]
- Smith, M.; Guan, Z.; Cantwell, W.J. Finite Element Modelling of the Compressive Response of Lattice Structures Manufactured Using the Selective Laser Melting Technique. Int. J. Mech. Sci. 2013, 67, 28–41. [Google Scholar] [CrossRef]
- Wu, C.; Luo, J.; Zhong, J.; Xu, Y.; Wan, B.; Huang, W.; Fang, J.; Steven, G.P.; Sun, G.; Li, Q. Topology Optimisation for Design and Additive Manufacturing of Functionally Graded Lattice Structures Using Derivative-Aware Machine Learning Algorithms. Addit. Manuf. 2023, 78, 103833. [Google Scholar] [CrossRef]
- Wang, R.; Chen, Y.; Yan, X.; Cong, N.; Fang, D.; Zhang, P.; Liang, X.; Wu, W. Experimental Investigations on the Mechanical Performances of Auxetic Metal-Ceramic Hybrid Lattice under Quasi-Static Compression and Dynamic Ballistic Loading. Appl. Sci. 2023, 13, 7564. [Google Scholar] [CrossRef]
- Somlo, K.; Chauhan, S.S.; Niordson, C.F.; Poulios, K. Uniaxial Tensile Behaviour of Additively Manufactured Elastically Isotropic Truss Lattices Made of 316L. Int. J. Solids Struct. 2022, 246–247, 111599. [Google Scholar] [CrossRef]
- Hao, W.; Liu, Y.; Wang, T.; Guo, G.; Chen, H.; Fang, D. Failure Analysis of 3D Printed Glass Fiber/PA12 Composite Lattice Structures Using DIC. Compos. Struct. 2019, 225, 111192. [Google Scholar] [CrossRef]
- Boniotti, L.; Foletti, S.; Beretta, S.; Patriarca, L. Analysis of Strain and Stress Concentrations in Micro-Lattice Structures Manufactured by SLM. Rapid Prototyp. J. 2019, 26, 370–380. [Google Scholar] [CrossRef]
- Mauko, A.; Fíla, T.; Falta, J.; Koudelka, P.; Rada, V.; Neuhäuserová, M.; Zlámal, P.; Vesenjak, M.; Jiroušek, O.; Ren, Z. Dynamic Deformation Behaviour of Chiral Auxetic Lattices at Low and High Strain-Rates. Metals 2020, 11, 52. [Google Scholar] [CrossRef]
- Fíla, T.; Koudelka, P.; Falta, J.; Zlámal, P.; Rada, V.; Adorna, M.; Bronder, S.; Jiroušek, O. Dynamic Impact Testing of Cellular Solids and Lattice Structures: Application of Two-Sided Direct Impact Hopkinson Bar. Int. J. Impact Eng. 2021, 148, 103767. [Google Scholar] [CrossRef]
- Drücker, S.; Schulze, M.; Ipsen, H.; Bandegani, L.; Hoch, H.; Kluge, M.; Fiedler, B. Experimental and Numerical Mechanical Characterization of Additively Manufactured Ti6Al4V Lattice Structures Considering Progressive Damage. Int. J. Mech. Sci. 2021, 189, 105986. [Google Scholar] [CrossRef]
- Köhnen, P.; Haase, C.; Bültmann, J.; Ziegler, S.; Schleifenbaum, J.H.; Bleck, W. Mechanical Properties and Deformation Behavior of Additively Manufactured Lattice Structures of Stainless Steel. Mater. Des. 2018, 145, 205–217. [Google Scholar] [CrossRef]
- Boniotti, L.; Beretta, S.; Patriarca, L.; Rigoni, L.; Foletti, S. Experimental and Numerical Investigation on Compressive Fatigue Strength of Lattice Structures of AlSi7Mg Manufactured by SLM. Int. J. Fatigue 2019, 128, 105181. [Google Scholar] [CrossRef]
- Neuhäuserová, M.; Fíla, T.; Koudelka, P.; Falta, J.; Rada, V.; Šleichrt, J.; Zlámal, P.; Jiroušek, O. Compressive Behaviour of Additively Manufactured Periodical Re-Entrant Tetrakaidecahedral Lattices at Low and High Strain-Rates. Metals 2021, 11, 1196. [Google Scholar] [CrossRef]
- Perez-Boerema, F.; Barzegari, M.; Geris, L. A Flexible and Easy-to-Use Open-Source Tool for Designing Functionally Graded 3D Porous Structures. Virtual Phys. Prototyp. 2022, 17, 682–699. [Google Scholar] [CrossRef]
- ISO 7500-1; Metallic Materials—Verification of Static Uniaxial Testing Machines—Part 1: Tension/Compression Testing Machines—Verification and Calibration of the Force-Measuring System. ISO: Geneva, Switzerland, 2004.
- Blaber, J.; Adair, B.; Antoniou, A. Ncorr: Open-Source 2D Digital Image Correlation Matlab Software. Exp. Mech. 2015, 55, 1105–1122. [Google Scholar] [CrossRef]
- Pan, B.; Yu, L.; Wu, D.; Tang, L. Systematic Errors in Two-Dimensional Digital Image Correlation Due to Lens Distortion. Opt. Lasers Eng. 2013, 51, 140–147. [Google Scholar] [CrossRef]
- Beese, A.M.; Carroll, B.E. Review of Mechanical Properties of Ti-6Al-4V Made by Laser-Based Additive Manufacturing Using Powder Feedstock. JOM 2016, 68, 724–734. [Google Scholar] [CrossRef]
- Gibson, L.J.; Ashby, M.F. Cellular Solids—Structure and Properties; Cambridge University Press: Cambridge, UK, 1997. [Google Scholar]
- Yan, C.; Hao, L.; Hussein, A.; Young, P. Ti-6Al-4V Triply Periodic Minimal Surface Structures for Bone Implants Fabricated via Selective Laser Melting. J. Mech. Behav. Biomed. Mater. 2015, 51, 61–73. [Google Scholar] [CrossRef]
- Alabort, E.; Barba, D.; Reed, R.C. Design of Metallic Bone by Additive Manufacturing. Scr. Mater. 2019, 164, 110–114. [Google Scholar] [CrossRef]
- Ashby, M.F.; Evans, A.G.; Fleck, N.A.; Gibson, L.J.; Hutchinson, J.W.; Wadley, H.N.G. Metal Foams: A Design Guide; Library of Congress Cataloguing-in-Publication Data; Elsevier: Amsterdam, The Netherlands, 2000. [Google Scholar]
- Attard, M.M. Finite Strain—Isotropic Hyperelasticity. Int. J. Solids Struct. 2003, 40, 4353–4378. [Google Scholar] [CrossRef]
- Tamburrino, F.; Graziosi, S.; Bordegoni, M. The Design Process of Additively Manufactured Mesoscale Lattice Structures: A Review. J. Comput. Inf. Sci. Eng. 2018, 18, 040801. [Google Scholar] [CrossRef]
Disclaimer/Publisher’s Note: The statements, opinions and data contained in all publications are solely those of the individual author(s) and contributor(s) and not of MDPI and/or the editor(s). MDPI and/or the editor(s) disclaim responsibility for any injury to people or property resulting from any ideas, methods, instructions or products referred to in the content. |
© 2024 by the authors. Licensee MDPI, Basel, Switzerland. This article is an open access article distributed under the terms and conditions of the Creative Commons Attribution (CC BY) license (https://creativecommons.org/licenses/by/4.0/).













