Surface Growth of Boronize Coatings Studied with Mathematical Models of Diffusion
Abstract
1. Introduction
2. Materials and Methods
2.1. Properties
- The composition contains approximately 9.0 wt.% boron.
- The crystal structure of Fe2B is identified as body-centered tetragonal and is characterized by axial lengths a = b = 0.5078 × 10−9 m and c = 0.4249 × 10−9 m (as exemplified in Figure 3).
- The density of Fe2B is 7.43 × 10−3 kg/cm3.
- Microhardness ranges from approximately 18–20 × 109 Pa.
- The Young’s modulus range of Fe2B is between 285–295 × 109 Pa.
- The thermal expansion coefficient is measured at 7.65 × 10−6/K within the 473–873 K range and 9.2 × 10−6/K within the 373–1073 K range.
2.2. Substrate and Boronizing Process
3. Mathematical Models of Mass Transfer
3.1. Linear Mass Transfer Model
3.2. Mass Transfer Model of the Error Function
3.3. Goodman Integral Mass Transfer Model
3.4. Optional Mass Transfer Diffusion Model
3.5. Boltzmann–Matano Inverse Diffusion Model
4. Results
4.1. SEM Cross-Sections of the Boronize Coatings
4.2. XRD Analysis
4.3. Coefficient of Friction
4.4. Evaluation of the Activation Energy of Boron in Diiron Boronize for ASTM A681 Steel
5. Discussion
5.1. Growth Kinetics of the Boronized Coatings
5.2. Microstructural Characterization of the Boronize Coating (SEM)
5.3. Chemical Characterization (XRD and EDS)
5.4. Pin-on-Disc Test (COF)
6. Conclusions
- As a result of the boronizing processes, the formation of a single-phase boronize coating (Fe2B) with sawtooth morphology, homogeneously distributed on the surface of the substrate material, was observed. The highest boronize coating thickness was obtained in the boronized sample at 1273 K for 8 h.
- The results indicated that the thickness of the Fe2B boronize coating increased proportionally to the treatment time and temperature.
- The growth kinetics of the boronize coating were observed to follow the parabolic rate law ().
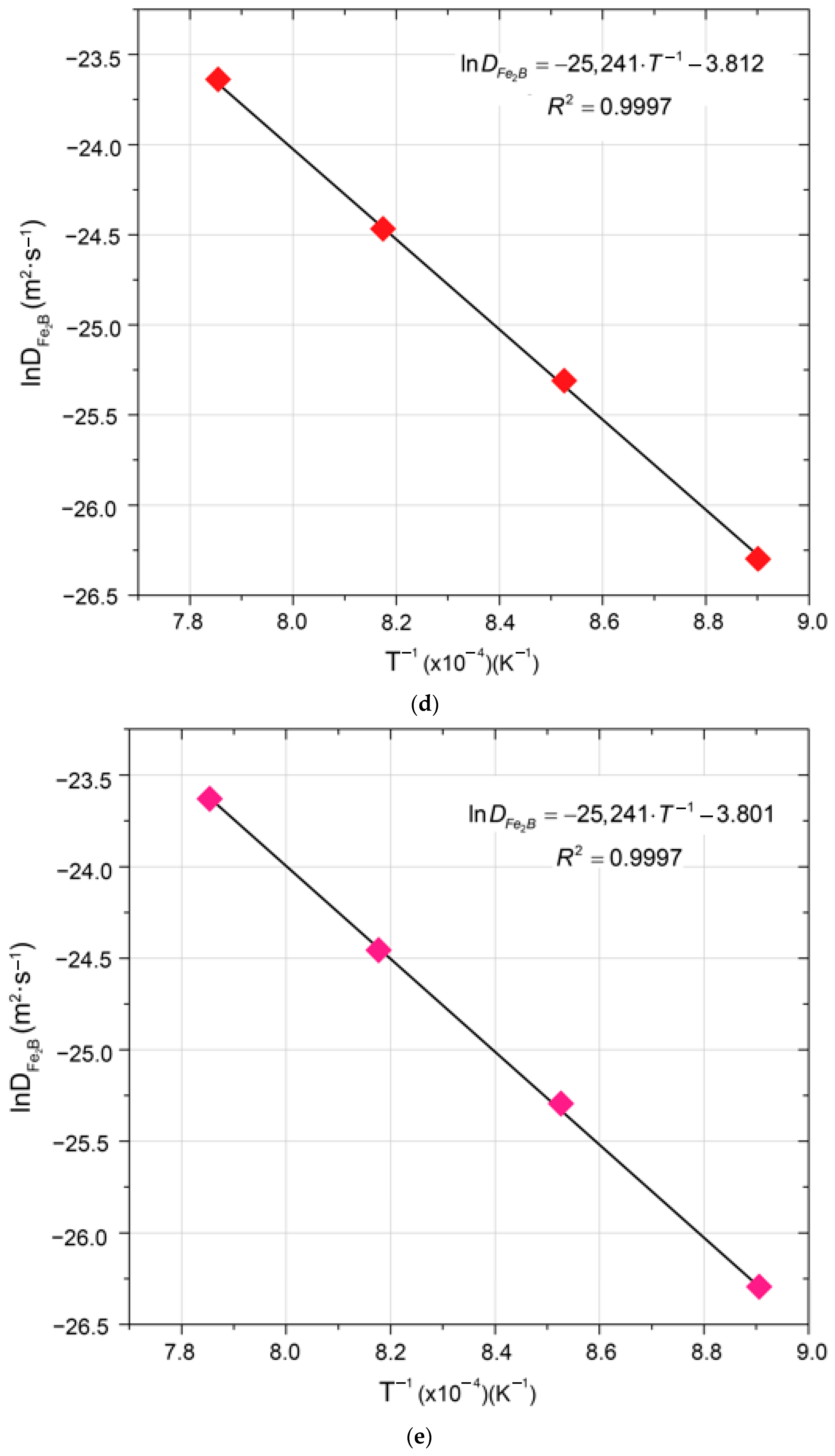
- The activation energy for the growth of the boronized coating was determined to be 209.867 kJ·mol−1 for all five mathematical mass transfer models.
- According to the results presented in Figure 12, the values of the coefficients of friction (COF) obtained after the wear test show that the coefficient of friction of the unboronized sample was approximately three times higher than that of the boronized sample.
- The growth kinetics of boronized coatings were investigated by proposing five mathematical mass transfer models: linear, error function, Goodman integral, optional diffusion, and inverse Boltzmann–Matano diffusion. The results revealed a dimensionless constant () shared by all models, concluding that the models are equivalent.
- The confirmation of the presence of the Fe2B phase was accomplished through the use of X-ray diffraction (1273 K for 8 h).
Author Contributions
Funding
Data Availability Statement
Acknowledgments
Conflicts of Interest
References
- Yıldız, I. Tribological properties and characterization of borided Co–Mg alloys. Open Chem. 2022, 20, 277–286. [Google Scholar] [CrossRef]
- Milinović, A.; Marušić, V.; Konjatić, P.; Berić, N. Effect of carbon content and boronizing parameters on growth kinetics of boride layers obtained on carbon steels. Materials 2022, 15, 1858. [Google Scholar] [CrossRef]
- Ortiz–Domínguez, M.; Campos–Silva, I.; Hernández–Sánchez, E.; Nava–Sánchez, J.; Martínez–Trinidad, J.; Jiménez–Reyes, M.Y.; Damián–Mejía, O. Estimation of Fe2B growth on low-carbon steel based on two diffusion models. Int. J. Mater. Res. 2011, 102, 429–434. [Google Scholar] [CrossRef]
- Arslan-Kaba, M.; Karimzadehkhoei, M.; Keddam, M.; Timur, S.; Sireli, G.K. An experimental and modelling study on pulse current integrated CRTD–Bor process. Mater. Chem. Phys. 2023, 302, 127735. [Google Scholar] [CrossRef]
- Bouarour, B.; Keddam, M.; Boumaai, B. Growth kinetics of diiron boride (Fe2B) coating on a carbon steel by four approaches. Corros. Mater. Prot. J. 2022, 66, 1–6. [Google Scholar]
- Ramdan, R.D.; Takaki, T.; Yashiro, K.; Tomita, Y. The Effects of structure orientation on the growth of Fe2B boride by multi-phase–field simulation. Mater. Trans. 2010, 51, 62–67. [Google Scholar] [CrossRef]
- Campos, I.; Islas, M.; González, E.; Ponce, P.; Ramírez, G. Use of fuzzy logic for modeling the growth of Fe2B boride coatings during boronizing. Surf. Coat. Technol. 2006, 201, 2717–2723. [Google Scholar] [CrossRef]
- Campos, I.; Oseguera, J.; Figueroa, U.; García, J.A.; Bautista, O.; Kelemenis, G. Kinetic study of boron diffusion in the paste-boriding process. Mater. Sci. Eng. A 2003, 352, 261–265. [Google Scholar] [CrossRef]
- Nait Abdellah, Z.; Keddam, M.; Jurči, P. Simulation of boronizing kinetics of ASTM A36 steel with the alternative kinetic model and the integral method. Corros. Mater. Prot. J. 2021, 65, 33–39. [Google Scholar] [CrossRef]
- Morgado González, I. Implementación de Tratamientos Termoquímicos para el Endurecimiento Superficial de un Disco de Sierra Circular y Evaluación de las Propiedades Mecánicas de las Capas Multicomponenciales Formadas. Ph.D. Thesis, University in the State of Hidalgo (UAEH), Pachuca de Soto, Mexico, 12 April 2023. [Google Scholar]
- Akopov, G.; Yeung, M.T.; Kaner, R.B. Rediscovering the crystal chemistry of borides. Adv. Mater. 2017, 29, 1604506. [Google Scholar] [CrossRef]
- Benyakoub, K.; Keddam, M.; Boumaali, B.; Kulka, M. Kinetic modelling of powder-pack boronized 4Cr5MoSiV1 steel by two distinct approaches. Coatings 2023, 13, 1132. [Google Scholar] [CrossRef]
- Kartal, G.; Timur, S.; Sista, V.; Eryilmaz, O.L.; Erdemir, A. The growth of single Fe2B phase on low carbon steel via phase homogenization in electrochemical boriding (PHEB). Surf. Coat. Technol. 2011, 206, 2005–2011. [Google Scholar] [CrossRef]
- Mebarek, B.; Keddam, M.; Kulka, M. Simulation of the incubation time for the formation of (FeB/Fe2B) bilayer on pure iron. Corros. Mater. Prot. J. 2021, 65, 49–56. [Google Scholar] [CrossRef]
- Guo, P.; Ma, S.; He, X.; Lv, P.; Luo, Y.; Jia, J.; Cui, X.; Xu, L.; Xing, J. Effects of boride orientation and Si content on high-temperature oxidation resistance of directionally solidified Fe–B alloys. Materials 2022, 15, 7819. [Google Scholar] [CrossRef]
- Makuch, N.; Dziarski, P. Importance of trimethyl borate temperature used during gas boriding for microstructure, nanomechanical properties and residual stresses distribution on the cross-section of the produced coating. Surf. Coat. Technol. 2021, 405, 126508. [Google Scholar] [CrossRef]
- Sabuz, E.H.; Noor-A-Alam, M.; Waseem Haider, W.; Shabib, I. Improving the mechanical and electrochemical performance of additively manufactured 8620 low alloy steel via boriding. Corros. Mater. Degrad. 2023, 4, 623–643. [Google Scholar] [CrossRef]
- de Mendonça Ferreira, S.T.; Bacco, A.L.K.; do Nascimento, E.M.; Lepienski, C.M. Mechanical characterization and micro-wear of FeB-Fe2B layers on boriding AISI D2 and AISI 4340 steels. Mater. Sci. Appl. 2021, 12, 330–344. [Google Scholar]
- Crisan, O.; Alina Daniela Crisan, A.D.; Randrianantoandro, N. Temperature-dependent phase evolution in FePt-Based nanocomposite multiple-phased magnetic alloys. Nanomaterials 2022, 12, 4122. [Google Scholar] [CrossRef]
- Ruiz, M.A.D.; Huitron, D.S.; Bustos, E.D.G.; Suárez, V.J.C.; Perrusquia, N.L. Effect of the boron powder on surface AISI W2 steel: Experiments and modelling. Adv. Mater. Sci. Eng. 2021, 2021, 5548004. [Google Scholar]
- Kul, M.; Yilmaz, Y.; Oskay, K.; Kumruoğlu, L.C. Effect of chemical composition of boriding agent on the optimization of surface hardness and layer thickness on AISI 8620 steel by solid and liquid boriding processes. Adv. Mater. Sci. 2022, 22, 14–22. [Google Scholar] [CrossRef]
- Rodríguez-Alemán, S.; Hernández-Cooper, E.M.; Pérez-Álvarez, R.; Otero, J.A. Effects of total thermal balance on the thermal energy absorbed or released by a high-temperature phase change material. Molecules 2021, 26, 365. [Google Scholar] [CrossRef]
- Santiago-Acosta, R.D.; Hernández-Cooper, E.M.; Pérez-Álvarez, R.; Otero, J.A. Effects of volume changes on the thermal performance of PCM layers subjected to oscillations of the ambient temperature: Transient and steady periodic regimes. Molecules 2022, 27, 2158. [Google Scholar] [CrossRef]
- Orihel, P.; Jurči, P.; Keddam, M. Characterizations and kinetic modelling of boride layers on bohler K190 Steel. Coatings 2023, 13, 1000. [Google Scholar] [CrossRef]
- Keddam, M.; Peter Jurči, P. Simulating the growth of dual-phase boride layer on AISI M2 steel by two kinetic approaches. Coatings 2021, 11, 433. [Google Scholar] [CrossRef]
- Bonilla-Correa, D.M.; Coronado-Hernández, Ó.E.; Fuertes-Miquel, V.S.; Besharat, M.; Ramos, H.M. Application of Newton–Raphson method for computing the final air–water interface location in a pipe water filling. Water 2023, 15, 1304. [Google Scholar] [CrossRef]
- Zhang, S.; Zhang, H.; Zhang, H.; Zhao, X.; Li, Y. Study on diffusion kinetics and law of chromium on the surface of low-carbon steel. Coatings 2023, 13, 98. [Google Scholar] [CrossRef]
- Ratajski, J. Model of growth kinetics of nitrided coating in the binary Fe–N system. Int. J. Mater. Res. 2004, 95, 823–828. [Google Scholar] [CrossRef]
- VillaVelázquez–Mendoza, C.I.; Rodríguez-Mendoza, J.L.; Ibarra–Galván, V.; Hodgkins, R.P.; López–Valdivieso, A.; Serrato–Palacios, L.L.; Leal-Cruz, A.L.; Ibarra-Junquera, V. Effect of substrate roughness, time and temperature on the processing of iron boride coatings: Experimental and statistical approaches. Int. J. Surf. Sci. Eng. 2014, 8, 71–91. [Google Scholar] [CrossRef]
- Palombarini, G.; Carbucicchio, M. Growth of boride coatings on iron. J. Mater. Sci. Lett. 1987, 6, 415–416. [Google Scholar] [CrossRef]
- Türkmen, I.; Yalamaç, E. Growth of the Fe2B coating on SAE 1020 steel employed a boron source of H3BO3 during the powder-pack boriding method. J. Alloys Compd. 2018, 744, 658–666. [Google Scholar] [CrossRef]
- Kayali, Y.; Kara, R. Investigation of wear behavior and diffusion kinetic values of boronized Hardox-450 steel. Prot. Met. Phys. Chem. Surf. 2021, 57, 1025–1033. [Google Scholar] [CrossRef]
- Ruiz-Trabolsi, P.A.; Velázquez, J.C.; Orozco-Álvarez, C.; Carrera-Espinoza, R.; Yescas-Hernández, J.A.; González-Arévalo, N.E.; Hernández-Sánchez, E. Kinetics of the boride coatings obtained on AISI 1018 steel by considering the amount of matter involved. Coatings 2021, 11, 259. [Google Scholar] [CrossRef]
- Makuch, N.; Dziarski, P.; Kulka, M.; Keddam, M. Growth kinetics and some mechanical properties of plasma paste borided layers produced on Nimonic 80A-Alloy. Materials 2021, 14, 5146. [Google Scholar] [CrossRef]
- Zong, X.; Xia, R.; Zhang, Y.; Zhang, Y.; Zhu, Q. Boriding kinetics and mechanical properties of X65Cr14 martensitic stainless steel by pack method. J. Phys. Conf. Ser. 2022, 2368, 012008. [Google Scholar] [CrossRef]
- Uslu, I.; Comert, H.; Ipek, M.; Ozdemir, O.; Bindal, C. Evaluation of borides formed on AISI P20 steel. Mater. Des. 2007, 28, 55–61. [Google Scholar] [CrossRef]
- Łukaszewicz, G.; Tacikowski, M.; Kulka, M.; Chmielarz, K.; Świątnicki, A.W. The Effect of hybrid treatment combining boriding and nanobainitising on the tribological and mechanical properties of 66SiMnCrMo6-6-4 bearing steel. Materials 2023, 16, 3436. [Google Scholar] [CrossRef]
- Ulutan, M.; Yildirim, M.M.; Çelik, O.N.; Buytoz, S. Tribological properties of borided AISI 4140 steel with the powder pack-boriding method. Tribol. Lett. 2010, 38, 231–239. [Google Scholar] [CrossRef]


















| Substrate | Type of Boronize Coating | Hardness of Boronize Coating (HV) |
|---|---|---|
| Fe | FeB | 1900–2100 |
| Fe2B | 1800–2000 | |
| Co | CoB | 1850 |
| Co2B | 1550 | |
| Co-27·5Cr | CoB | 2200 |
| Co2B | 1550 | |
| Ni | Ni4B3 | 1600 |
| Ni2B | 1500 | |
| Ni3B | 900 | |
| W | W2B | 2700 |
| WB | 2700 | |
| W2B5 | 2700 | |
| Nb | Nb2B4 | 2600–3000 |
| NbB4 | 2600–3000 | |
| Zr | Zr2B | 2300–2600 |
| ZrB2 | 2300–2600 | |
| Ta | Ta2B | 3200–3500 |
| Ta2B | TiB2 | 2500 |
| TiB | 2500 | |
| Ti-6Al-4V | TiB2 | 3000 |
| TiB | 3000 | |
| Mo | Mo2B | 2400–2700 |
| Mo2B5 | 2400–2700 | |
| Re | ReB | 2700–2900 |
| Re2B | 2700–2900 |
| Experimental Temperature T (K) | Experimental Kinetic Constant (m2⸱s−1) | Incubation Time (s) |
|---|---|---|
| 1123 | 1.4661 × 10−13 | 1941.9976 |
| 1173 | 3.9790 × 10−13 | 1941.9725 |
| 1223 | 9.2007 × 10−13 | 1941.9906 |
| 1273 | 2.0991 × 10−12 | 1941.9869 |
| Pre-Exponential Factor D0 (m2·s−1) | Activation Energy Q (kJ·mol−1) | Diffusion Model |
|---|---|---|
| 2.257 × 10−2 | 209.867 | Linear |
| 2.233 × 10−2 | Error function | |
| 2.280 × 10−2 | Goodman integral | |
| 2.210 × 10−2 | Optional diffusion | |
| 2.233 × 10−2 | Boltzmann-Matano inverse diffusion |
| Steel | Activation Energy Q (kJ·mol−1) | Method | References |
|---|---|---|---|
| Hardox-450 | 157.9 | Empirical growth law | [32] |
| ASTM A36 | 161.0 | Diffusion model | [9] |
| AISI 1018 | 91.20–155.2 | Empirical growth law | [33] |
| Nimonic 80A-Alloy | 190.93 | Diffusion model | [34] |
| X65Cr14 stainless steel | 206.53 | Empirical growth law | [35] |
| AISI P20 | 200.0 | Empirical growth law | [36] |
| SAE 1020 | 183.15 | Empirical growth law | [31] |
| ASTM A681 | 209.867 | Diffusion model | This study |
| Diffusion model | |||
| Diffusion model | |||
| Diffusion model | |||
| Diffusion model |
| Boronizing Condition | Empirical Coating Thickness (µm) | Thickness of Simulated Coating (µm) | Models |
|---|---|---|---|
| 1273 K For 1.5 h | 83.33 ± 10.56 | 85.155 | Linear |
| 85.602 | Error function | ||
| 84.705 | Goodman integral | ||
| 86.046 | Optional diffusion | ||
| 85.602 | Boltzmann-Matano inverse diffusion |
| Boronizing Condition | Empirical Coating Thickness (µm) | Thickness of Simulated Coating (µm) | Models |
|---|---|---|---|
| 1223 K For 3 h | 88.88 ± 11.48 | 90.871 | Linear |
| 91.348 | Error function | ||
| 90.392 | Goodman integral | ||
| 91.823 | Optional diffusion | ||
| 91.348 | Boltzmann-Matano inverse diffusion |
Disclaimer/Publisher’s Note: The statements, opinions and data contained in all publications are solely those of the individual author(s) and contributor(s) and not of MDPI and/or the editor(s). MDPI and/or the editor(s) disclaim responsibility for any injury to people or property resulting from any ideas, methods, instructions or products referred to in the content. |
© 2024 by the authors. Licensee MDPI, Basel, Switzerland. This article is an open access article distributed under the terms and conditions of the Creative Commons Attribution (CC BY) license (https://creativecommons.org/licenses/by/4.0/).
Share and Cite
Ortiz-Domínguez, M.; Morales-Robles, Á.J.; Gómez-Vargas, O.A.; Moreno-González, G. Surface Growth of Boronize Coatings Studied with Mathematical Models of Diffusion. Metals 2024, 14, 670. https://doi.org/10.3390/met14060670
Ortiz-Domínguez M, Morales-Robles ÁJ, Gómez-Vargas OA, Moreno-González G. Surface Growth of Boronize Coatings Studied with Mathematical Models of Diffusion. Metals. 2024; 14(6):670. https://doi.org/10.3390/met14060670
Chicago/Turabian StyleOrtiz-Domínguez, Martín, Ángel Jesús Morales-Robles, Oscar Armando Gómez-Vargas, and Georgina Moreno-González. 2024. "Surface Growth of Boronize Coatings Studied with Mathematical Models of Diffusion" Metals 14, no. 6: 670. https://doi.org/10.3390/met14060670
APA StyleOrtiz-Domínguez, M., Morales-Robles, Á. J., Gómez-Vargas, O. A., & Moreno-González, G. (2024). Surface Growth of Boronize Coatings Studied with Mathematical Models of Diffusion. Metals, 14(6), 670. https://doi.org/10.3390/met14060670

