Strains and Stresses in Multilayered Materials Determined Using High-Energy X-ray Diffraction
Abstract
1. Introduction
2. Materials and Methods
2.1. Materials
2.2. Plasma Spraying
2.3. HEXRD—sin2ψ
3. Results
3.1. Diffraction—Phases
3.2. Diffraction—sin2ψ
- If the shape is an ellipsoid, shear stress may be present. A linear shape means that shear stress may be neglected in the analysis. Weaknesses in this shape provide information regarding the microstructure as a texture or gradient in the diffracting volume.
- From the intercept, the strain evolution in one direction (depending of the experimental geometry) can be evaluated.
- From the slope and intercept, the strain evolution in all directions can be evaluated.
3.3. Strain–Stress
4. Discussion
4.1. Multiphased Materials
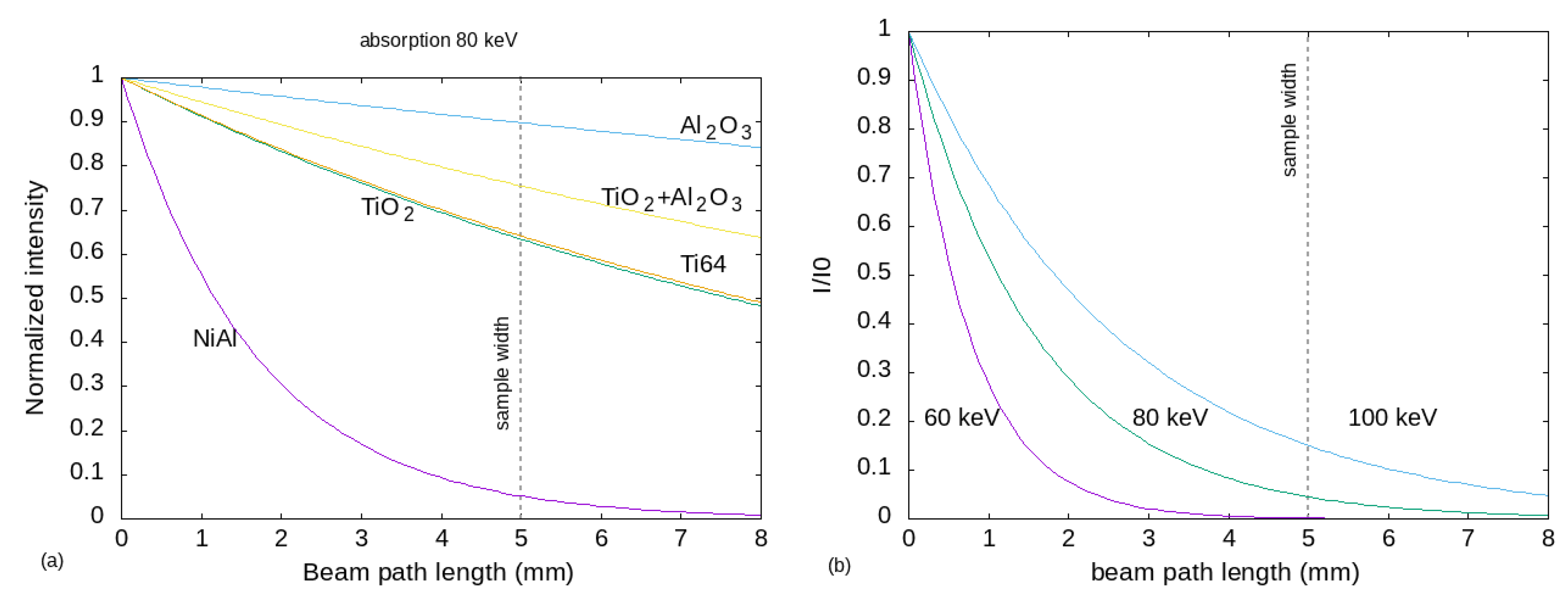
4.2. High-Energy X-ray Diffraction
4.3. Sin2ψ Method
- The 2 position that must be within a selected area around the peak.
- Raw intensity that cannot be below one, above the background, or above the detector capacity (216 in the case of the detector used here).
- FWHM that cannot be below one 2 step higher than a value determined by the user (here, 0.5 is very large compared to the expected values).
- The fit quality factor is the difference between the fitted function (including local background) and raw data regarding the considered interval around the selected peak. This value has a minimum and maximum (1 and 10 here) that represent the quality of fit; a high value means a bad fit and 1 is a perfect fit.
4.4. Stress-Free Parameters—d0
- Powder: the grains must be small enough, the chemistry has to be the same, and no pollution should be added. The pollution effect may be important in cases where powder is extracted from the bulk; it is thus essential that care is taken with the extraction tool.
- Comb: this method releases stress by cutting the material to obtain small, stress-free volumes with free surfaces. Here, the difficulty lies in determining what happens when the volume near the free surface has a significant impact and where it can be used. The answer, related to the material’s microstructure and grain–phase interaction, is not simple. Determining the volume can be tricky in multi-phased materials when the scales between phases are different.
- Reference point: this method is often used when external factors are applied to the materials (tensile tests, thermal treatments). The main difficulty is in ensuring that the chosen point is not really affected by the investigated phenomena. Strain/stress can affect the material over long distances (mm to cm, in some cases). Occasionally, going as far as the experiment allows may not be enough ... Furthermore, with this method, residual stresses are neglected and this can have an effect on the interpretation; for example, if residual stresses are compressive, the yield stress determined may appear higher than normal and, on the contrary, if they are tensile, failure may appear during the early stages.
4.5. Experimental Error
4.6. Mechanical Anisotropy, Analyzed Peaks, and Shear Stress
5. Conclusions
Author Contributions
Funding
Data Availability Statement
Acknowledgments
Conflicts of Interest
Abbreviations
| APS | Atmospheric Plasma Spraying |
| CTE | Thermal Expansion Coefficient |
| ESRF | European Synchrotron Radiation Facility |
| FWHM | Full Width at Half Maximum |
| HEXRD | High-Energy X-ray Diffraction |
| Ti64 | Ti-6Al-4V Alloy |
| XEC | X-ray Elastic Coefficients |
| XRD | X-ray Diffraction |
References
- Clyne, T.; Gill, S. Residual stresses in thermal spray coatings and their effect on interfacial adhesion: A review of recent work. J. Therm. Spray Technol. 1996, 5, 401–418. [Google Scholar] [CrossRef]
- Sampath, S.; Jiang, X.; Matejicek, J.; Prchlik, L.; Kulkarni, A.; Vaidya, A. Role of thermal spray processing method on the microstructure, residual stress and properties of coatings: An integrated study for Ni–5 wt.%Al bond coats. Mater. Sci. Eng. A 2004, 364, 216–231. [Google Scholar] [CrossRef]
- Kuroda, S.; Clyne, T. The quenching stress in thermally sprayed coatings. Thin Solid Films 1991, 200, 49–66. [Google Scholar] [CrossRef]
- Mortensen, A.; Suresh, S. Functionally graded metals and metal-ceramic composites: Part 1 Processing. Int. Mater. Rev. 1995, 40, 239–265. [Google Scholar] [CrossRef]
- Suresh, S.; Mortensen, A. Functionally graded metals and metal-ceramic composites: Part 2 Thermomechanical behaviour. Int. Mater. Rev. 1997, 42, 85–116. [Google Scholar] [CrossRef]
- Cherradi, N.; Delfosse, D.; Ilschner, B.; Kawasaki, A. Functional gradient materials: Application of the concept, production techniques by powder metallurgy. Rev. Met. Paris 1996, 93, 185–196. [Google Scholar] [CrossRef]
- Delfose, D.; Kunzi, H.; Ilschner, B. Expermental determination of residual stresses in materials with a one dimensional gradient of composition. Acta Metall. Mater. 1992, 40, 2219–2224. [Google Scholar] [CrossRef]
- Rossini, N.; Dassisti, M.; Benyounis, K.; Olabi, A. Methods of measuring residual stresses in components. Mater. Des. 2012, 35, 572–588. [Google Scholar] [CrossRef]
- Denkena, B.; Dreier, S. Simulation of Residual Stress Related Part Distortion. In Proceedings of the New Production Technologies in Aerospace Industry; Denkena, B., Ed.; Springer int Publishing AG, Lecture Notes in Production Engineering; Springer: Cham, Swizerland, 2013; pp. 105–113. [Google Scholar] [CrossRef]
- Prime, M.B. Residual Stress Measurement by Successive Extension of a Slot: The Crack Compliance Method. Appl. Mech. Rev. 1999, 52, 75–96. [Google Scholar] [CrossRef]
- Schajer, G.S.; Whitehead, P.S. Hole-Drilling Method for Measuring Residual Stresses; Springer: Charm, Swizerland, 2018. [Google Scholar] [CrossRef]
- Wolf, I.D. Micro-Raman spectroscopy to study local mechanical stress in silicon integrated circuits. Semicond. Sci. Technol. 1996, 11, 139. [Google Scholar] [CrossRef]
- Michaels, C.A.; Cook, R.F. Determination of residual stress distributions in polycrystalline alumina using fluorescence microscopy. Mater. Des. 2016, 107, 478–490. [Google Scholar] [CrossRef] [PubMed]
- Fitzpatrick, M.E.; Fry, A.T.; Holdway, P.; Kandil, F.A.; Shackleton, J.; Suominen, L. Determination of Residual Stresses by X-ray Diffraction. Measurement Good Practice Guide. 52. 2005. Available online: https://eprintspublications.npl.co.uk/2391/ (accessed on 20 May 2024).
- Besnard, A.; Ardigo, M.; Imhoff, L.; Jacquet, P. Curvature radius measurement by optical profiler and determination of the residual stress in thin films. Appl. Surf. Sci. 2019, 487, 356–361. [Google Scholar] [CrossRef]
- Prabith, K.; Krishna, I.R.P. Response and stability analysis of a two-spool aero-engine rotor system undergoing multi-disk rub-impact. Int. J. Mech. Sci. 2022, 213, 106861. [Google Scholar] [CrossRef]
- Darut, G. Elaboration de Revêtements à Structure Sub-Micrométrique Pour Applications Tribologiques par Projection Plasma de Suspensions. Ph.D. Thesis, Université de Limoges, Limoges, France, 2010. [Google Scholar]
- Fauchais, P. Understanding plasma spraying. J. Phys. D Appl. Phys. 2004, 37, R86. [Google Scholar] [CrossRef]
- Burtin, P. Transformation des Alumines de Transition en Alumine Alpha, Influence d’élÉments Étrangers sur la Stabilité des Alumines. Ph.D. Thesis, Ecole des Mines de Saint-Etienne, Saint-Etienne, France, 1985. [Google Scholar]
- Oukach, S.; Hamdi, H.; El Ganaoui, M.; Pateyron, B. Numerical study of the spreading and solidification of a molten particle impacting onto a rigid substrate under plasma spraying conditions. Therm. Sci. 2015, 19, 277–284. [Google Scholar] [CrossRef]
- Fauchais, P.; Vardelle, A. Thermal Spray Coatings. In Wiley Encyclopedia of Electrical and Electronics Engineering; John Wiley & Sons, Ltd: Hoboken, NJ, USA, 2007. [Google Scholar] [CrossRef]
- pyFAI Documentation. Available online: https://www.silx.org/doc/pyFAI/latest/pyFAI.htm (accessed on 20 May 2024).
- Kieffer, J.; Valls, V.; Blanc, N.; Hennig, C. New tools for calibrating diffraction setups. J. Synchrotron Radiat. 2020, 27, 558–566. [Google Scholar] [CrossRef]
- Geandier, G.; Vautrot, L.; Denand, B.; Denis, S. In Situ Stress Tensor Determination during Phase Transformation of a Metal Matrix Composite by High-Energy X-ray Diffraction. Materials 2018, 11, 1415. [Google Scholar] [CrossRef] [PubMed]
- Hauk, V. Structural and Residual Stress Analysis by Nondestructive Methods; Elsevier Science: Amsterdam, The Netherlands, 1997. [Google Scholar] [CrossRef]
- Mejri, M. Caractérisation des Propriétés Thermomécaniques de Matériaux Utilisés pour la Fabrication de Modules Thermo-Électriques et Modélisation par Éléments Finis de leur Comportement en Usage. Ph.D. Thesis, Université de Toulouse 3, Toulouse, France, 2020. [Google Scholar]
- Slim, M.F.; Geandier, G.; Malard, B.; Rouillard, F. Microstructural and Chemical Changes of a Ti-Stabilized Austenitic Stainless Steel After Exposure to Liquid Sodium at Temperatures Between 500 °C and 650 °C. Metall. Mater. Trans. A 2021, 52, 4438–4453. [Google Scholar] [CrossRef]
- Slim, M.F.; Geandier, G.; Rouillard, F.; Malard, B. Determination of residual stress gradient in a Ti-stabilized austenitic stainless steel cladding candidate after carburization in liquid sodium at 500 °C and 600 °C. Acta Mater. 2021, 221, 117435. [Google Scholar] [CrossRef]
- Heidelbach, F.; Riekel, C.; Wenk, H.R. Quantitative texture analysis of small domains with synchrotron radiation X-rays. J. Appl. Crystallogr. 1999, 32, 841–849. [Google Scholar] [CrossRef]
- ID 22 Web Site ESRF (Grenoble, France). Available online: https://www.esrf.fr/id22 (accessed on 20 May 2024).
- Gallas, M.R.; Piermarini, G.J. Bulk Modulus and Young’s Modulus of Nanocrystalline γ-Alumina. J. Am. Ceram. Soc. 1994, 77, 2917–2920. [Google Scholar] [CrossRef]
- Rezai, C. Internal Report—Université de Toulouse—Measurement by Acoustic Resonnace. 2014. [Google Scholar]
- SNECMA. Internal Discussions. 2015. [Google Scholar]
- Fan, Z. On the young’s moduli of Ti-6Al-4V alloys. Scr. Metall. Mater. 1993, 29, 1427–1432. [Google Scholar] [CrossRef]
- ID 11 Web Site ESRF (Grenoble, France). Available online: https://www.esrf.fr/id11 (accessed on 20 May 2024).
- Murray, C.E. Equivalence of Kröner and weighted Voigt-Reuss models for x-ray stress determination. J. Appl. Phys. 2013, 113, 153509. [Google Scholar] [CrossRef]














| Phases | Space Group | σ-Free Cell Parameters (Å)—(hkl) | Macroscopic Mechanical Properties (E in GPa and ν) |
|---|---|---|---|
| -alumina | F d m | 3.9533—(220) | 253—0.24 [31] |
| NiAl | F m m | 3.5457—(220) | 140—0.25 [32] |
| Ti64 | P 63/m m c | 2.9385/4.6844—(110) | 100—0.29 [33] |
| Ti64 | I m m | 3.2531—(200) | 80—0.25 [34] |
Disclaimer/Publisher’s Note: The statements, opinions and data contained in all publications are solely those of the individual author(s) and contributor(s) and not of MDPI and/or the editor(s). MDPI and/or the editor(s) disclaim responsibility for any injury to people or property resulting from any ideas, methods, instructions or products referred to in the content. |
© 2024 by the authors. Licensee MDPI, Basel, Switzerland. This article is an open access article distributed under the terms and conditions of the Creative Commons Attribution (CC BY) license (https://creativecommons.org/licenses/by/4.0/).
Share and Cite
Geandier, G.; Adenis, P.; Selezneff, S.; Pujol d’Andredo, Q.; Malard, B. Strains and Stresses in Multilayered Materials Determined Using High-Energy X-ray Diffraction. Metals 2024, 14, 637. https://doi.org/10.3390/met14060637
Geandier G, Adenis P, Selezneff S, Pujol d’Andredo Q, Malard B. Strains and Stresses in Multilayered Materials Determined Using High-Energy X-ray Diffraction. Metals. 2024; 14(6):637. https://doi.org/10.3390/met14060637
Chicago/Turabian StyleGeandier, Guillaume, Patrick Adenis, Serge Selezneff, Quentin Pujol d’Andredo, and Benoît Malard. 2024. "Strains and Stresses in Multilayered Materials Determined Using High-Energy X-ray Diffraction" Metals 14, no. 6: 637. https://doi.org/10.3390/met14060637
APA StyleGeandier, G., Adenis, P., Selezneff, S., Pujol d’Andredo, Q., & Malard, B. (2024). Strains and Stresses in Multilayered Materials Determined Using High-Energy X-ray Diffraction. Metals, 14(6), 637. https://doi.org/10.3390/met14060637

