Study on Reduction Mechanism of Iron Oxide by Industrial Lignin
Abstract
1. Introduction
2. Materials and Methods
2.1. Experimental Materials
2.2. Apparatus and Experimental Procedures
2.3. Kinetic Equation
3. Results and Discussions
3.1. Comparison of Reducing Agent Pyrolysis and Its Reduction of Fe2O3
3.2. Phase Transformation During Reduction of Fe2O3
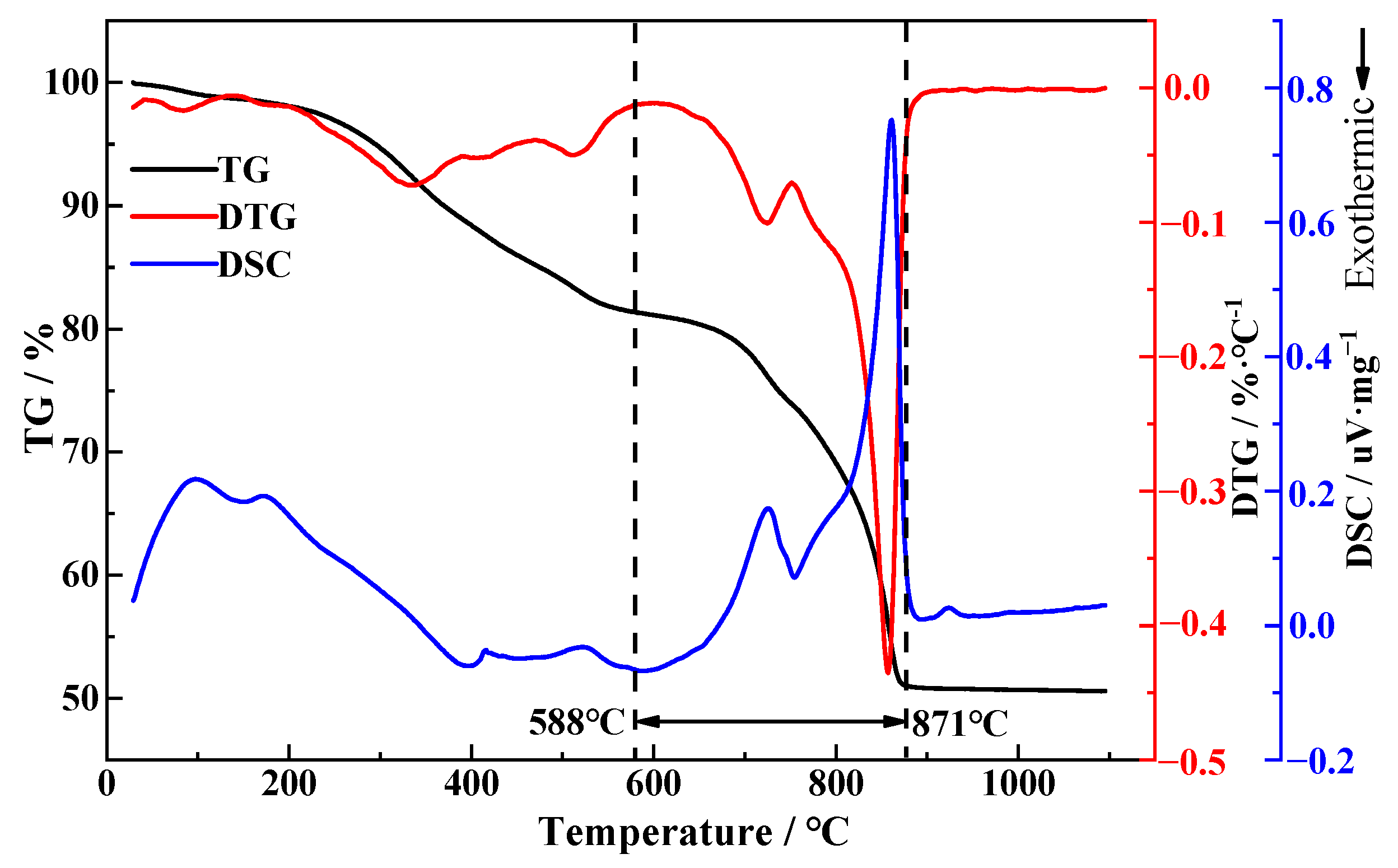
3.3. Effect of Heating Rate on the Reduction of Fe2O3
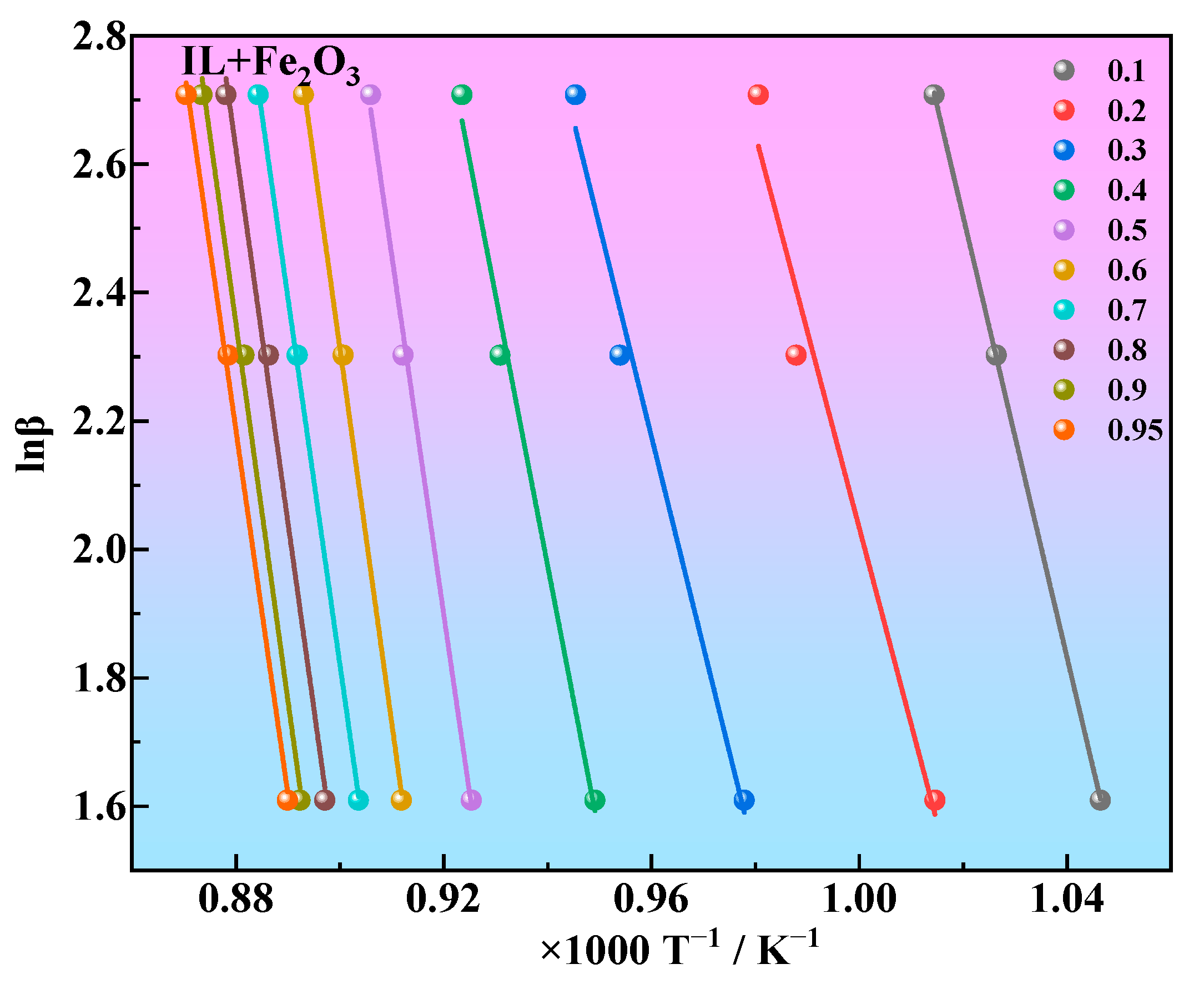
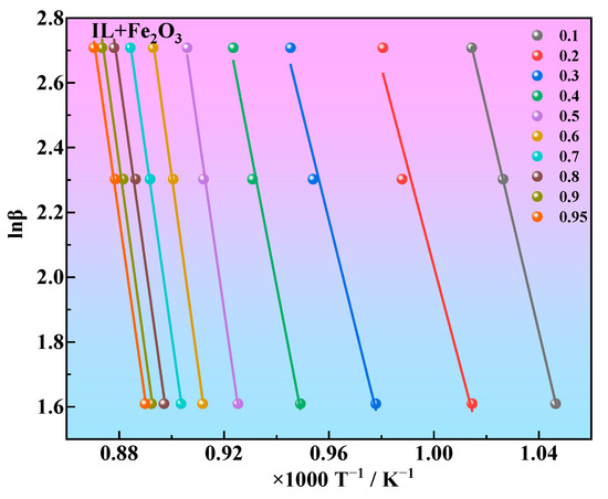
3.4. Kinetic Study on the Reduction of Fe2O3
4. Conclusions and Prospect
- (1)
- The reduction of Fe2O3 by industrial lignin is easier than that by pulverized coal. The mixed sample of industrial lignin and Fe2O3 completed the transformation of Fe2O3→Fe3O4→FeO→Fe at 900 °C, while the mixed sample of pulverized coal and Fe2O3 completed the transformation at 1100 °C.
- (2)
- Too high a heating rate has an adverse effect on the reduction of Fe2O3. On the basis of ensuring both sufficient reduction and reduction efficiency, the optimal heating rate is 10 °C·min−1.
- (3)
- The activation energy of IL reducing Fe2O3 varied from 241.91 to 463.51, which was much lower than that of carbon reducing Fe2O3. At the reduction fraction α ≤ 0.6, the activation energy increased rapidly from approx. 271 kJ·mol−1 to 462 kJ·mol−1, while it gradually dropped to 447 kJ·mol−1 at α = 0.95.
- (4)
- Industrial lignin as a reductant has certain advantages in reducing iron oxide compared with pulverized coal, which provides a theoretical basis for the application of other biomass in the field of iron making. However, it is also noted that the sulfur content in industrial lignin is high, and sulfur is a harmful element for iron-making, so how to remove sulfur from industrial lignin is one of the directions that should be studied in the future.
Author Contributions
Funding
Data Availability Statement
Conflicts of Interest
References
- Zhu, D.C.; Zhu, B.; Geng, A.L.; Li, Y.X.; Xu, L.X. Research progress in lignin-based 3D printing materials. Appl. Chem. Ind. 2023, 52, 820–826. [Google Scholar] [CrossRef]
- Li, M.F.; Xu, Y.H. Fractionation of industrial lignin: A review. J. For. Eng. 2023, 8, 13–20. [Google Scholar] [CrossRef]
- Wang, T.Y.; Li, H.Y.; Diao, X.Y.; Lu, X.B.; Ma, D.G.; Ji, N. Lignin to dispersants, adsorbents, flocculants and adhesives: A critical review on industrial applications of lignin. Ind. Crops Prod. 2023, 199, 116715. [Google Scholar] [CrossRef]
- Nguyen, L.T.; Phan, D.P.; Sarwar, A.; Tran, M.H.; Lee, O.K.; Lee, E.Y. Valorization of industrial lignin to value-added chemicals by chemical depolymerization and biological conversion. Ind. Crops Prod. 2021, 161, 113219. [Google Scholar] [CrossRef]
- Chen, X.Y.; Yuan, B.; Yu, F.L.; Xie, C.X.; Yu, S.T. Lignin: A Potential Source of Biomass-Based Catalysts. Prog. Chem. 2021, 33, 303–317. [Google Scholar] [CrossRef]
- Romhányi, V.; Kun, D.; Pukánszky, B. Correlations among Miscibility, Structure, and Properties in Thermoplastic Polymer/Lignin Blends. ACS Sustain. Chem. Eng. 2018, 6, 14323. [Google Scholar] [CrossRef]
- Luo, S.P.; Cao, J.Z.; McDonald, A.G. Esterification of industrial lignin and its effect on the resulting poly(3-hydroxybutyrate-co-3-hydroxyvalerate) or polypropylene blends. Ind. Crops Prod. 2017, 97, 281–291. [Google Scholar] [CrossRef]
- Morandim-Giannetti, A.A.; Agnelli, J.A.M.; Lanças, B.Z.; Magnabosco, R.; Casarin, S.A.; Bettini, S.H.P. Lignin as additive in polypropylene/coir composites: Thermal, mechanical and morphological properties. Carbohydr. Polym. 2012, 87, 2563–2568. [Google Scholar] [CrossRef]
- Frangville, C.; Rutkevičius, M.; Richter, A.; Velev, O.; Stoyanov, S.; Paunov, V. Fabrication of Environmentally Biodegradable Lignin Nanoparticles. ChemPhysChem 2012, 13, 4235–4243. [Google Scholar] [CrossRef] [PubMed]
- Mahmood, N.; Yuan, Z.; Schmidt, J.; Xu, C. Preparation of bio-based rigid polyurethane foam using hydrolytically depolymerized Kraft lignin via direct replacement or oxypropylation. Eur. Polym. J. 2015, 68, 1–9. [Google Scholar] [CrossRef]
- Silva, E.A.B.d.; Zabkova, M.; Araújo, J.D.; Cateto, C.A.; Barreiro, M.F.; Belgacem, M.N.; Rodrigues, A.E. An integrated process to produce vanillin and lignin-based polyurethanes from Kraft lignin. Chem. Eng. Res. Des. 2009, 87, 1276–1292. [Google Scholar] [CrossRef]
- Yadav, V.K.; Gupta, N.; Kumar, P.; Dashti, M.G.; Tirth, V.; Khan, S.H.; Yadav, K.K.; Islam, S.; Choudhary, N.; Algahtani, A.; et al. Recent Advances in Synthesis and Degradation of Lignin and Lignin Nanoparticles and Their Emerging Applications in Nanotechnology. Materials 2022, 15, 953. [Google Scholar] [CrossRef]
- Liu, H.; Cheng, L.-Q.; Zhou, J.-H. Recent Advances in Low-Cost Carbon Fiber Manufacture from Lignin. Heilongjiang Pulp Pap. 2018, 46, 18–22. [Google Scholar]
- Kun, D.; Pukánszky, B. Polymer/lignin blends: Interactions, properties, applications. Eur. Polym. J. 2017, 93, 618–641. [Google Scholar] [CrossRef]
- Supanchaiyamat, N.; Jetsrisuparb, K.; Knijnenburg, J.T.N.; Tsang, D.C.W.; Hunt, A.J. Lignin materials for adsorption: Current trend, perspectives and opportunities. Bioresour. Technol. 2019, 272, 570–581. [Google Scholar] [CrossRef] [PubMed]
- Liu, J.P. Study on Efficient Depolymerization of Lignin in Hydrogen Donor Solvents for the Preparation of Phenolic Chemicals. Ph.D. Thesis, Beijing University of Chemical Technology, Beijing, China, 2023. [Google Scholar] [CrossRef]
- Kawamoto, H. Lignin pyrolysis reactions. J. Wood Sci. 2017, 63, 117–132. [Google Scholar] [CrossRef]
- Asmadi, M.; Kawamoto, H.; Saka, S. Gas- and solid/liquid-phase reactions during pyrolysis of softwood and hardwood lignins. J. Anal. Appl. Pyrolysis. 2011, 92, 417–425. [Google Scholar] [CrossRef]
- Hosoya, T.; Kawamoto, H.; Saka, S. Role of methoxyl group in char formation from lignin-related compounds. J. Anal. Appl. Pyrolysis. 2009, 84, 79–83. [Google Scholar] [CrossRef]
- Liu, W.J.; Jiang, H.; Yu, H.Q. Thermochemical Conversion of Lignin to Functional Materials: A Review and Future Directions. Green Chem. 2015, 17, 4888–4907. [Google Scholar] [CrossRef]
- Meier, D.; Ante, R.; Faix, O. Catalytic hydropyrolysis of lignin: Influence of reaction conditions on the formation and composition of liquid products. Bioresour. Technol. 1992, 40, 171–177. [Google Scholar] [CrossRef]
- Mullen, C.A.; Boateng, A.A. Catalytic pyrolysis-GC/MS of lignin from several sources. Fuel Process. Technol. 2010, 91, 1446–1458. [Google Scholar] [CrossRef]
- Santana, J.A.; Carvalho, W.S.; Ataíde, C.H. Catalytic effect of ZSM-5 zeolite and HY-340 niobic acid on the pyrolysis of industrial kraft lignins. Ind. Crops Prod. 2018, 111, 126–132. [Google Scholar] [CrossRef]
- Figueiredo, P.; Lintinen, K.; Hirvonen, J.T.; Kostiainen, M.A.; Santos, H.A. Properties and chemical modifications of lignin: Towards lignin-based nanomaterials for biomedical applications. Prog. Mater. Sci. 2018, 93, 233–269. [Google Scholar] [CrossRef]
- Pan, K.; Tian, M.; Jiang, Z.-H.; Kjartanson, B.; Chen, A. Electrochemical oxidation of lignin at lead dioxide nanoparticles photoelectrodeposited on TiO2 nanotube arrays. Electrochim. Acta 2012, 60, 147–153. [Google Scholar] [CrossRef]
- Li, S.H.; Liu, S.; Colmenares, J.C.; Xu, Y.J. A sustainable approach for lignin valorization by heterogeneous photocatalysis. Green Chem. 2016, 18, 594–607. [Google Scholar] [CrossRef]
- Chatel, G.; Rogers, R. Review: Oxidation of Lignin Using Ionic Liquids—An Innovative Strategy To Produce Renewable Chemicals. ACS Sustain. Chem. Eng. 2014, 2, 322–339. [Google Scholar] [CrossRef]
- Schutyser, W.; Renders, T.; Van den Bosch, S.; Koelewijn, S.-F.; Beckham, G.; Sels, B. Chemicals from lignin: An interplay of lignocellulose fractionation, depolymerisation, and upgrading. Chem. Soc. Rev. 2018, 47, 852–908. [Google Scholar] [CrossRef] [PubMed]
- Zaheer, M.; Kempe, R. Catalytic Hydrogenolysis of Aryl Ethers: A Key Step in Lignin Valorization to Valuable Chemicals. ACS Catal 2015, 5, 1675–1684. [Google Scholar] [CrossRef]
- Galkin, M.V.; Sawadjoon, S.; Rohde, V.; Dawange, M.; Samec, J.S.M. Mild Heterogeneous Palladium-Catalyzed Cleavage of β-O-4′-Ether Linkages of Lignin Model Compounds and Native Lignin in Air. ChemCatChem 2014, 6, 179–184. [Google Scholar] [CrossRef]
- Lu, J.; Wang, M.; Zhang, X.; Heyden, A.; Wang, F. β-O-4 Bond Cleavage Mechanism for Lignin Model Compounds over Pd Catalysts Identified by Combination of First-Principles Calculations and Experiments. ACS Catal 2016, 6, 5589–5598. [Google Scholar] [CrossRef]
- Zhou, M.; Fakayode, O.A.; Ahmed Yagoub, A.E.; Ji, Q.; Zhou, C. Lignin fractionation from lignocellulosic biomass using deep eutectic solvents and its valorization. Renew. Sustain. Energy Rev. 2022, 156, 111986. [Google Scholar] [CrossRef]
- Wang, J.H.; Cao, F.; Su, E.; Zhao, L.; Qin, W. Improvement of Animal Feed Additives of Ginkgo Leaves through Solid-state Fermentation using Aspergillus niger. Int. J. Biol. Sci. 2018, 14, 736–747. [Google Scholar] [CrossRef] [PubMed]
- Wang, J.H.; Cao, F.; Su, E.; Wu, C.; Zhao, L.; Ying, R. Improving Flavonoid Extraction from Ginkgo biloba Leaves by Prefermentation Processing. J. Agric. Food Chem. 2013, 61, 5783–5791. [Google Scholar] [CrossRef]
- Liu, Q.M. Preparation of Lignin-Based Carbon Supported Metal Catalysts and Their Reductive Depolymerization of Lignin. Master’s Thesis, Tianjin University of Science and Technology, Tianjin, China, 2022. [Google Scholar] [CrossRef]
- Wang, Y.P. Stydies on Lignin Depolymerization and Its Structure. Ph.D. Thesis, Beijing University of Chemical Technology, Beijing, China, 2021. [Google Scholar] [CrossRef]
- Xiang, D.W.; Shen, F.M.; Jiang, X.; An, H.W.; Zheng, H.Y.; Gao, Q.J. Pyrolysis Characteristics of Industrial Lignin for Use as a Reductant and an Energy Source for Future Iron Making. ACS Omega 2021, 6, 3578–3586. [Google Scholar] [CrossRef] [PubMed]
- Zhang, S. Design and Practice of Grate Rotary Kiln Annular Cooler Oxidation Pellet Process. Shanxi Met. 2022, 45, 91–93. [Google Scholar] [CrossRef]
- Luo, G.P.; Zhang, G.C.; Liu, J.T.; Shang, C.J.; Wang, M.F.; Wu, S.L. Process Optimization for Improving Crushing Strength of Preheated Pellets in Grate-Kiln Oxidied Pelletizing Process. J. Iron Steel Res. 2013, 25, 13–16+22. [Google Scholar] [CrossRef]
- Huang, F.R.; Wang, X.Q.; Li, S.J. The thermal stability of polyetherimide. Polym. Degrad. Stab. 1987, 18, 247–259. [Google Scholar] [CrossRef]
- Liang, Y.G.; Cheng, B.; Si, Y.B.; Cao, D.J.; Jiang, H.Y.; Han, G.M.; Liu, X.H. Thermal decomposition kinetics and characteristics of Spartina alterniflora via thermogravimetric analysis. Renew. Energy 2014, 68, 111–117. [Google Scholar] [CrossRef]
- Sava, I.; Ada, B.; Lisa, G. Study of thermal behavior of polyimides containing pendent-substituted azobenzene units. Polym. Bull. 2014, 71, 1359–1373. [Google Scholar] [CrossRef]
- Pitchaimari, G.; Vijayakumar, C.T. Functionalized N-(4-Hydroxy phenyl) Maleimide Monomers: Kinetics of Thermal Polymerization and Degradation Using Model-Free Approach. J. Appl. Polym. Sci. 2014, 131, 2896308. [Google Scholar] [CrossRef]
- Starink, M.J. The determination of activation energy from linear heating rate experiments: A comparison of the accuracy of isoconversion methods. Thermochim. Acta 2003, 404, 163–176. [Google Scholar] [CrossRef]
- Hao, S.J.; Sun, T.H.; Jiang, W.F.; Zhang, Y.Z.; Lan, J.R. Reduction Behavior of Bituminous Coal Coated Magnetite Powder. Iron Steel Vanadium Titan. 2019, 40, 102–106. [Google Scholar]
- Zhong, S.P.; Guo, L.; Ding, Z.Y.; Guo, Z.C. observation on the growth of iron whiskers in the process of direct reduction of iron ore powder by gas. Nonferrous Met. Sci. Eng. 2018, 9, 15–21. [Google Scholar] [CrossRef]
- Ren, N.; Wang, F.; Zhang, J.J.; Zheng, X.F. Progress in Thermal Analysis Kinetics. Acta Phys.-Chim. Sin. 2020, 36, 1905062. [Google Scholar] [CrossRef]
- Pineau, A.; Kanari, N.; Gaballah, I. Kinetics of reduction of iron oxides by H2: Part II. Low temperature reduction of magnetite. Thermochim. Acta 2007, 456, 75–88. [Google Scholar] [CrossRef]
- Pineau, A.; Kanari, N.; Gaballah, I. Kinetics of reduction of iron oxides by H2: Part I: Low temperature reduction of hematite. Thermochim. Acta 2006, 447, 89–100. [Google Scholar] [CrossRef]
- Mi, Q.Y. Kinetic Mechanism of Direct Reduction of Iron Ore Reinforced by High Volatile Coal. Master’s Thesis, Xi’an University of Architecture and Technology, Xi’an, China, 2023. [Google Scholar] [CrossRef]
- Zhang, X.Z.; Liu, T.Q.; Zhang, W.L.; Guo, D.L.; Wang, L.F.; Chen, M.W. Effect of pyrolysis conditions on pyrolysis and gasification characteristics of black liquor. China Pulp Pap. Ind. 2016, 37, 77–81. [Google Scholar] [CrossRef]
- Guo, D.L.; Wu, S.B.; Liu, B.; Yin, X.L.; Yang, Q. Catalytic effects of NaOH and Na2CO3 additives on alkali lignin pyrolysis and gasification. Appl. Energy 2012, 95, 22–30. [Google Scholar] [CrossRef]
- Wei, R.F.; Cang, D.Q.; Zhang, L.L.; Bai, Y.Y. Staged reaction kinetics and characteristics of iron oxide direct reduction by carbon. Int. J. Miner. Metall. Mater. 2015, 22, 1025–1032. [Google Scholar] [CrossRef]
- Wang, H.P. The Experiment and Mechism Study on Palm Oil Wastes Pyrolysis. Ph.D. Thesis, Huazhong University of Science and Technology, Wuhan, China, 2005. [Google Scholar] [CrossRef]
- Wang, T.J.; Chang, J.; Lv, P.M. Novel Catalyst for Cracking of Biomass Tar. Energy Fuels 2005, 19, 22. [Google Scholar] [CrossRef]
- Sui, X.J.; Wu, S.B. Preparation of phenols using thermal chemical conversion of industrial kraft lignin. CIESC J. 2011, 62, 1763–1769. [Google Scholar] [CrossRef]








| Samples | Proximate Analysis (ad.) | Elemental Analysis (ad.) | |||||||
|---|---|---|---|---|---|---|---|---|---|
| Fixed Carbon | Ash | Volatile | Moisture | C | H | O | N | S | |
| IL | 26.35 | 8.31 | 60.44 | 4.89 | 59.56 | 6.82 | 29.67 | 0.20 | 1.82 |
| LA | 75.90 | 10.01 | 13.38 | 0.71 | 82.00 | 3.41 | 8.50 | 1.79 | 0.20 |
| SM | 62.41 | 7.46 | 28.28 | 1.85 | 75.90 | 4.14 | 16.50 | 1.38 | 0.63 |
| Number | Samples | nc/no | Heating Rate (°C·min−1) |
|---|---|---|---|
| S1 | LA | --- | 10 |
| S2 | SM | --- | 10 |
| S3 | IL | --- | 10 |
| S4 | LA + Fe2O3 | 1.0 | 5, 10, 15 |
| S5 | SM + Fe2O3 | 1.0 | 5, 10, 15 |
| S6 | IL + Fe2O3 | 1.0 | 5, 10, 15 |
| Samples | Heating Rate (°C·min−1) | Reduction Temperature Range (°C) |
|---|---|---|
| IL + Fe2O3 | 5 | 578~858 |
| 10 | 588~871 | |
| 15 | 599~883 |
| Samples | α | Fitting Equation | Activation Energy (E) (kJ·mol−1) | Correlation Coefficient (R2) |
|---|---|---|---|---|
| IL + Fe2O3 | 0.1 | y = −34,342.13x + 37.55 | 271.41 | 1.0000 |
| 0.2 | y = −30,609.25x + 32.64 | 241.91 | 0.9720 | |
| 0.3 | y = −32,761.33x + 33.63 | 258.91 | 0.9867 | |
| 0.4 | y = −42,029.09x + 41.48 | 332.16 | 0.9917 | |
| 0.5 | y = −55,936.50x + 53.36 | 442.07 | 0.9971 | |
| 0.6 | y = −58,503.06x + 54.97 | 462.35 | 0.9982 | |
| 0.7 | y = −57,055.05x + 53.17 | 450.91 | 0.9995 | |
| 0.8 | y = −58,030.18x + 53.69 | 458.61 | 0.9951 | |
| 0.9 | y = −58,649.94x + 53.96 | 463.51 | 0.9951 | |
| 0.95 | y = −56,633.91x + 52.02 | 447.58 | 0.9975 |
| α | Fitting Equation | Activation Energy (E) (kJ·mol−1) | Correlation Coefficient (R2) | |
|---|---|---|---|---|
| IL + Fe2O3 | 0.1 | y = −32,402.11x + 21.79 | 269.39 | 0.9999 |
| 0.2 | y = −28,606.14x + 16.82 | 237.83 | 0.9681 | |
| 0.3 | y = −30,683.25x + 17.73 | 255.10 | 0.9850 | |
| 0.4 | y = −39,894.48x + 25.54 | 331.68 | 0.9909 | |
| 0.5 | y = −53,753.34x + 37.37 | 446.91 | 0.9968 | |
| 0.6 | y = −56,287.43x + 38.95 | 467.97 | 0.9980 | |
| 0.7 | y = −54,818.58x + 37.13 | 455.76 | 0.9994 | |
| 0.8 | y = −55,777.41x + 37.64 | 463.73 | 0.9947 | |
| 0.9 | y = −56,385.17x + 37.90 | 468.79 | 0.9947 | |
| 0.95 | y = −54,362.31x + 35.95 | 451.97 | 0.9973 |
Disclaimer/Publisher’s Note: The statements, opinions and data contained in all publications are solely those of the individual author(s) and contributor(s) and not of MDPI and/or the editor(s). MDPI and/or the editor(s) disclaim responsibility for any injury to people or property resulting from any ideas, methods, instructions or products referred to in the content. |
© 2024 by the authors. Licensee MDPI, Basel, Switzerland. This article is an open access article distributed under the terms and conditions of the Creative Commons Attribution (CC BY) license (https://creativecommons.org/licenses/by/4.0/).
Share and Cite
Xiang, D.; Zhang, Q.; Wu, G.; Wang, Y.; Li, D.; Zhang, Q.; Hu, H. Study on Reduction Mechanism of Iron Oxide by Industrial Lignin. Metals 2024, 14, 1467. https://doi.org/10.3390/met14121467
Xiang D, Zhang Q, Wu G, Wang Y, Li D, Zhang Q, Hu H. Study on Reduction Mechanism of Iron Oxide by Industrial Lignin. Metals. 2024; 14(12):1467. https://doi.org/10.3390/met14121467
Chicago/Turabian StyleXiang, Dongwen, Qiang Zhang, Guoqing Wu, Yajie Wang, Dong Li, Qinghua Zhang, and Huaxin Hu. 2024. "Study on Reduction Mechanism of Iron Oxide by Industrial Lignin" Metals 14, no. 12: 1467. https://doi.org/10.3390/met14121467
APA StyleXiang, D., Zhang, Q., Wu, G., Wang, Y., Li, D., Zhang, Q., & Hu, H. (2024). Study on Reduction Mechanism of Iron Oxide by Industrial Lignin. Metals, 14(12), 1467. https://doi.org/10.3390/met14121467
