Kinetic Analysis of Molten Oxide Reduction Using Bottom-Blown Hydrogen Injection
Abstract
1. Introduction
2. Materials and Methods
2.1. Materials and Equipment
2.2. Experimental Methods
- (a)
- The thickness of the initial slag layer is 3 cm and the density is 3 g/cm3;
- (b)
- Only hydrogen is involved in the reduction reaction from the beginning of hydrogen blowing. We examined the samples obtained and found that the amount of C in the samples remained between 2.2% and 2.5% after 50 min, so the amount of C involved in the reaction was considered negligible.
3. Results and Discussion
3.1. Thermodynamic Analysis of Hydrogen Reduction of Molten-State Iron Oxides
3.1.1. Standard Gibbs Free Energy for Smelting Reduction of Iron Oxides
3.1.2. Thermodynamic Equilibrium Diagram for Smelting Reduction of Iron Oxides
3.2. Effect of Reduction Time on Melt Reduction
3.2.1. Analysis of Reduction Conversion, Reduction Degree, and Hydrogen Utilization Rate
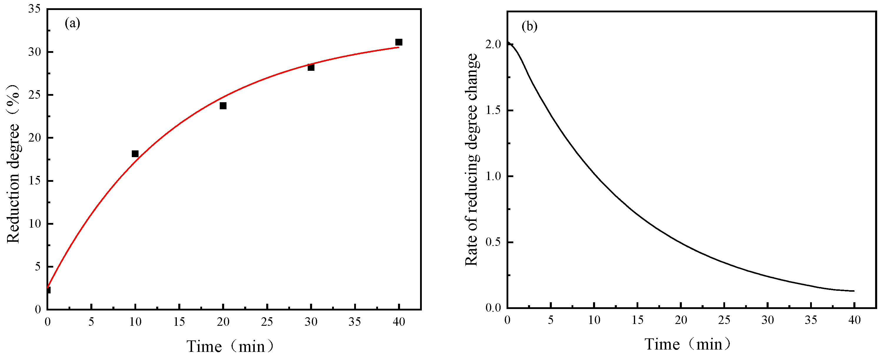
3.2.2. Kinetic Analysis
4. Conclusions
Author Contributions
Funding
Data Availability Statement
Conflicts of Interest
References
- Yao, T.; Wu, W.; Yang, Y.; He, Q.; Meng, H.; Lin, T. Analysis on low-carbon development of China’s steel industry under “dual-carbon” goal. J. Iron Steel Res. 2022, 34, 505–513. [Google Scholar]
- Qu, Y.; Xing, L.; Wang, C.; Shao, L.; Zou, Z. Kinetic characterization of flash reduction process of hematite ore fines under hydrogen atmosphere. Int. J. Hydrogen Energy 2020, 45, 31481–31493. [Google Scholar] [CrossRef]
- Ren, L.; Zhou, S.; Peng, T.; Ou, X. A review of CO2 emissions reduction technologies and low-carbon development in the iron and steel industry focusing on China. Renew. Sustain. Energy Rev. 2021, 143, 110846. [Google Scholar] [CrossRef]
- Spreitzer, D.; Schenk, J. Reduction of Iron Oxides with Hydrogen—A Review. Steel Res. Int. 2019, 90, 1900108. [Google Scholar] [CrossRef]
- Pann, C.C.; Pang, J.M. Development trace and application prospect of hydrogen metallurgy technology. China Metall. 2021, 31, 73–77. [Google Scholar]
- Qiu, Z.; Du, T.; Yue, Q.; Na, H.; Sun, J.; Yuan, Y.; Che, Z.; Wang, Y.; Li, Y. A multi-parameters evaluation on exergy for hydrogen metallurgy. Energy 2023, 281, 128279. [Google Scholar] [CrossRef]
- Souza, F.I.R.; Springer, H.; Ma, Y.; Mahajan, A.; Silva, C.; Kulse, M.; Raabe, D. Green steel at its crossroads: Hybrid hydrogen-based reduction of iron ores. J. Clean. Prod. 2022, 340, 130805. [Google Scholar] [CrossRef]
- Abu, T.M.N.; Salleh, F.; Tengku, S.T.S.; Samsuri, A.; Samidin, S.; Yarmo, M.A. Influence of hydrogen and carbon monoxide on reduction behavior of iron oxide at high temperature: Effect on reduction gas concentrations. Int. J. Hydrogen Energy 2021, 46, 24791–24805. [Google Scholar]
- Zhang, J.; Ju, S.; Liu, Z.; Fan, J.; Li, K.; Bai, M. Technical innovation and production practice of hydrogen-based driect reduction ironmaking process. Iron Steel 2023, 58, 25–31. [Google Scholar]
- Yang, Z.; Yu, J.; Zhang, Y.; Wang, J.; Ren, Z. Analysis on kinetics of iron ore oxidized pellet by hydrogen plasma smelting reduction. J. Iron Steel Res. 2023, 33, 31–42. [Google Scholar]
- Jeong, M.H.; Lee, D.H.; Bae, J.W. Reduction and oxidation kinetics of different phases of iron oxides. Int. J. Hydrogen Energy 2015, 40, 2613–2620. [Google Scholar] [CrossRef]
- Kannan, R.; Stevens, A.G.; Fancher, C.; Rahman, O.; Miller, R.; Ward, J.; Ziabari, A.K.; Babu, S.S.; Nandwana, P. Reduction kinetics of hematite powder using argon/hydrogen plasma with prospects for near net shaping of sustainable iron. Sustain. Mater. Technol. 2024, 40, e00879. [Google Scholar] [CrossRef]
- Lu, L.; Wang, F.; Wang, H.; Qiu, J.; Ping, X. Research status on thermodynamics and kinetics of Carbon and Hydrogen reduction of molten iron oxides. J. Iron Steel Res. 2024, 36, 150–162. [Google Scholar]
- Hessels, C.J.M.; Homan, T.A.M.; Deen, N.G.; Tang, Y. Reduction kinetics of combusted iron powder using hydrogen. Powder Technol. 2022, 407, 117540. [Google Scholar] [CrossRef]
- He, K.; Zheng, Z.; Chen, Z. Mesoscale numerical simulation of the multiple step reaction in hydrogen reduction of iron oxides. Int. J. Hydrogen Energy 2024, 55, 1535–1546. [Google Scholar] [CrossRef]
- Ban, Y.S.; Iguchi, Y.; Nagasaka, T. Rate of reduction of liquid wustite with hydrogen. Tetsu—Hagane 1984, 70, 1689–1696. [Google Scholar] [CrossRef]
- Hayashi, S.; Iguchi, Y. Hydrogen reduction of liquid iron oxide fines in gas-conveyed systems. ISIJ Int. 1994, 34, 555–561. [Google Scholar] [CrossRef]
- Nagasaka, T.; Hino, M.; Ban, Y.S. Interfacial Kinetics of Hydrogen with Liquid Slag Containing Iron Oxide. Metall. Mater. Trans. B 2000, 31, 945–955. [Google Scholar] [CrossRef]
- Zhang, J.; Li, Y.; Liu, Z.; Wang, T.; Wang, Y.; Li, K.; Wang, G.; Xu, T.; Zhang, Y. Isothermal kinetic analysis on reduction of solid/liquid wustite by hydrogen. Int. J. Miner. Metall. Mater. 2022, 29, 1830–1838. [Google Scholar] [CrossRef]
- Elsherbiny, A.A.; Qiu, D.; Wang, K.; Li, M.; Ahmed, M.; Hammam, A.; Zhu, Y.; Song, W. Parametric study on hematite pellet direct reduction by hydrogen. Powder Technol. 2024, 435, 119434. [Google Scholar] [CrossRef]
- Choisez, L.; Hemke, K.; Özgün, Ö.; Pistidda, C.; Jeppesen, H.; Raabe, D.; Ma, Y. Hydrogen-based direct reduction of combusted iron powder: Deep pre-oxidation, reduction kinetics and microstructural analysis. Acta Mater. 2024, 268, 119752. [Google Scholar] [CrossRef]
- Chen, F.; Lv, W.; Zhou, G.; Liu, Z.; Chu, M.; Lv, X. Effects of pre-oxidation on the hydrogen-rich reduction of Panzhihua ilmenite concentrate powder: Reduction kinetics and mechanism. Int. J. Hydrogen Energy 2023, 48, 13415–13429. [Google Scholar] [CrossRef]
- Koga, N.; Vyazovkin, S.; Burnham, A.K.; Favergeon, L.; Muravyev, N.V.; Pérez-Maqueda, L.A.; Saggese, C.; Sánchez-Jiménez, P.E. ICTAC Kinetics Committee recommendations for analysis of thermal decomposition kinetics. Thermochim. Acta 2023, 719, 179384. [Google Scholar] [CrossRef]
- Vyazovkin, S.; Burnham, A.K.; Criado, J.M.; Pérez-Maqueda, L.A.; Popescu, C.; Sbirrazzuoli, N. ICTAC Kinetics Committee recommendations for performing kinetic computations on thermal analysis data. Thermochim. Acta 2011, 520, 1–19. [Google Scholar] [CrossRef]
- Ren, S.; Zhang, J. Thermogravimetric analysis of anthracite and waste plastics by iso-conversional method. Thermochim. Acta 2013, 561, 36–40. [Google Scholar] [CrossRef]
- Zheng, S.; Sun, K.; Hao, X.; Yang, S.; Wang, D. Kinetics test of hydrogen-carbon smelting reduction. China Metall. 2013, 23, 15–19. [Google Scholar]










| TFe | Fe2O3 | FeO | Al2O3 | CaO | MgO | SiO2 | K2O | Na2O | P | S |
|---|---|---|---|---|---|---|---|---|---|---|
| 63.16 | 89.90 | 0.36 | 0.81 | 0.77 | 1.51 | 5.36 | 0.091 | 0.039 | 0.016 | 0.0050 |
| Fe | C | Si | S | P |
|---|---|---|---|---|
| 96.39 | 3.50 | 0.060 | 0.035 | 0.020 |
Disclaimer/Publisher’s Note: The statements, opinions and data contained in all publications are solely those of the individual author(s) and contributor(s) and not of MDPI and/or the editor(s). MDPI and/or the editor(s) disclaim responsibility for any injury to people or property resulting from any ideas, methods, instructions or products referred to in the content. |
© 2024 by the authors. Licensee MDPI, Basel, Switzerland. This article is an open access article distributed under the terms and conditions of the Creative Commons Attribution (CC BY) license (https://creativecommons.org/licenses/by/4.0/).
Share and Cite
Lu, L.; Wang, F.; Wang, H.; Qiu, J.; Ping, X. Kinetic Analysis of Molten Oxide Reduction Using Bottom-Blown Hydrogen Injection. Metals 2024, 14, 1255. https://doi.org/10.3390/met14111255
Lu L, Wang F, Wang H, Qiu J, Ping X. Kinetic Analysis of Molten Oxide Reduction Using Bottom-Blown Hydrogen Injection. Metals. 2024; 14(11):1255. https://doi.org/10.3390/met14111255
Chicago/Turabian StyleLu, Lijin, Feng Wang, Haifeng Wang, Jian Qiu, and Xiaodong Ping. 2024. "Kinetic Analysis of Molten Oxide Reduction Using Bottom-Blown Hydrogen Injection" Metals 14, no. 11: 1255. https://doi.org/10.3390/met14111255
APA StyleLu, L., Wang, F., Wang, H., Qiu, J., & Ping, X. (2024). Kinetic Analysis of Molten Oxide Reduction Using Bottom-Blown Hydrogen Injection. Metals, 14(11), 1255. https://doi.org/10.3390/met14111255

