Numerical Study on Combustion Behavior of Tuyere and Raceway in Blast Furnace with Oxygen-Rich Blast and Hydrogen Injection
Abstract
1. Introduction
2. Model and Method
2.1. Geometric Model and Operating Parameters
2.2. Mathematical Model
| No. | Reaction Equations | Ar/s−1 | E/J·kmol−1 | β |
|---|---|---|---|---|
| 1 | C<s> + 0.5 O2 = CO | 1,360,000 | 1.3 × 108 | 0.68 |
| 2 | C<s> + CO2 = 2 CO | 67,800 | 1.63 × 108 | 0.73 |
| 3 | C<s> + H2O = CO + H2 | 85,500 | 1.4 × 108 | 0.84 |
| 4 | VM + 2.83 O2 = 0.8 CO + 5.3 H2O | 2.119 × 1011 | 2.027 × 108 | 0 |
| 5 [41] | CO + 0.5 O2 = CO2 | 2.239 × 1012 | 1.7 × 108 | 0 |
| 6 [41] | H2 + 0.5 O2 = H2O | 9.87 × 1012 | 3.1 × 107 | 0 |
| 7 [41] | CO + H2O = CO2 + H2 | 5.0 × 1012 | 2.83 × 108 | 0 |
| 8 [23] | Coke + 0.5 O2 = CO | 3.26 × 106 | 9.02 × 107 | 0 |
| 9 [23] | Coke + CO2 = 2 CO | 4.71 × 109 | 2.41 × 108 | 0 |
| 10 [23] | Coke + H2O = CO + H2 | 3.25 × 109 | 2.17 × 108 | 0 |
3. Results and Discussion
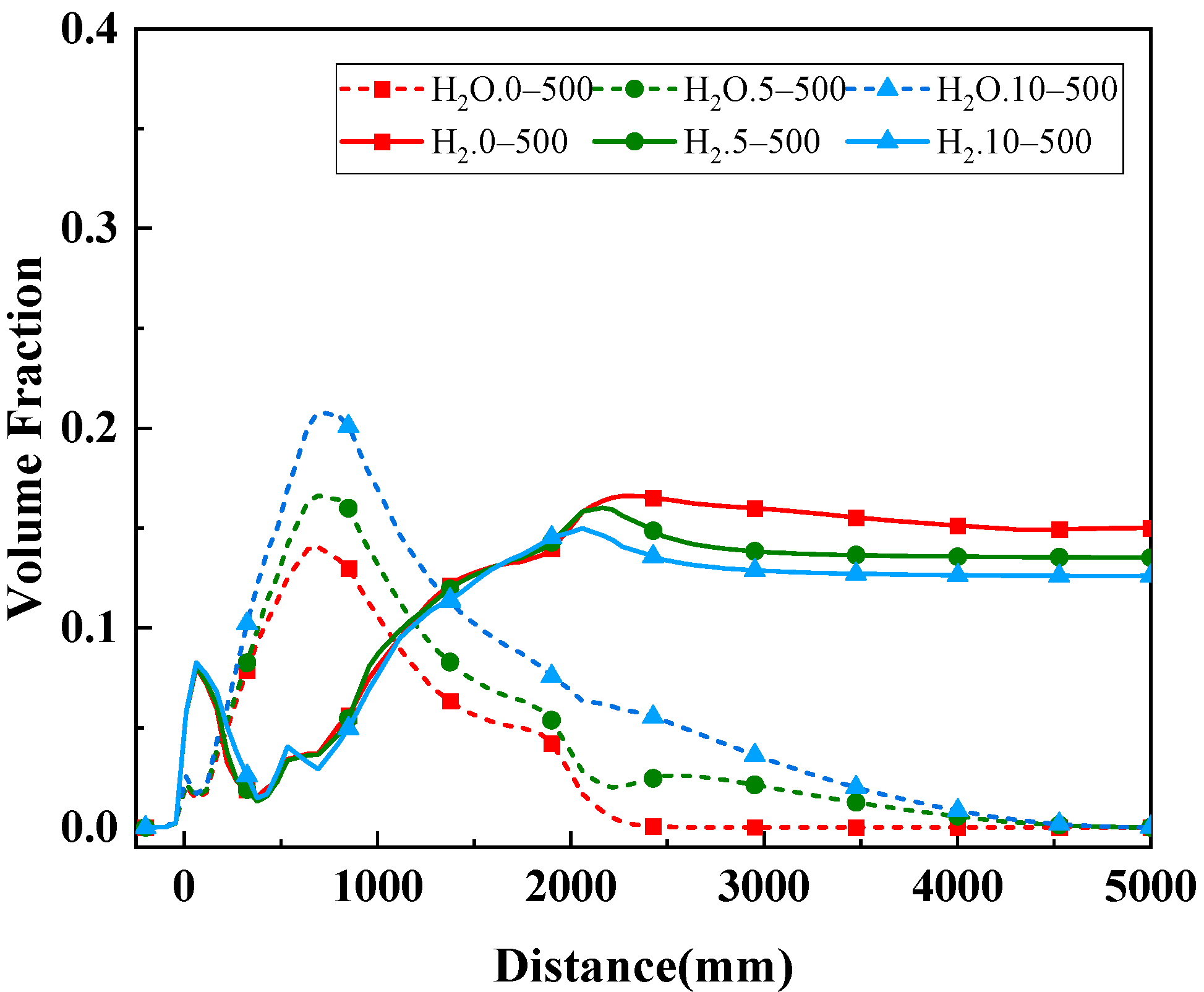
3.1. Comparison Between Hydrogen Injection and the Base Conditions
3.2. Effects of Oxygen Enrichment Rate
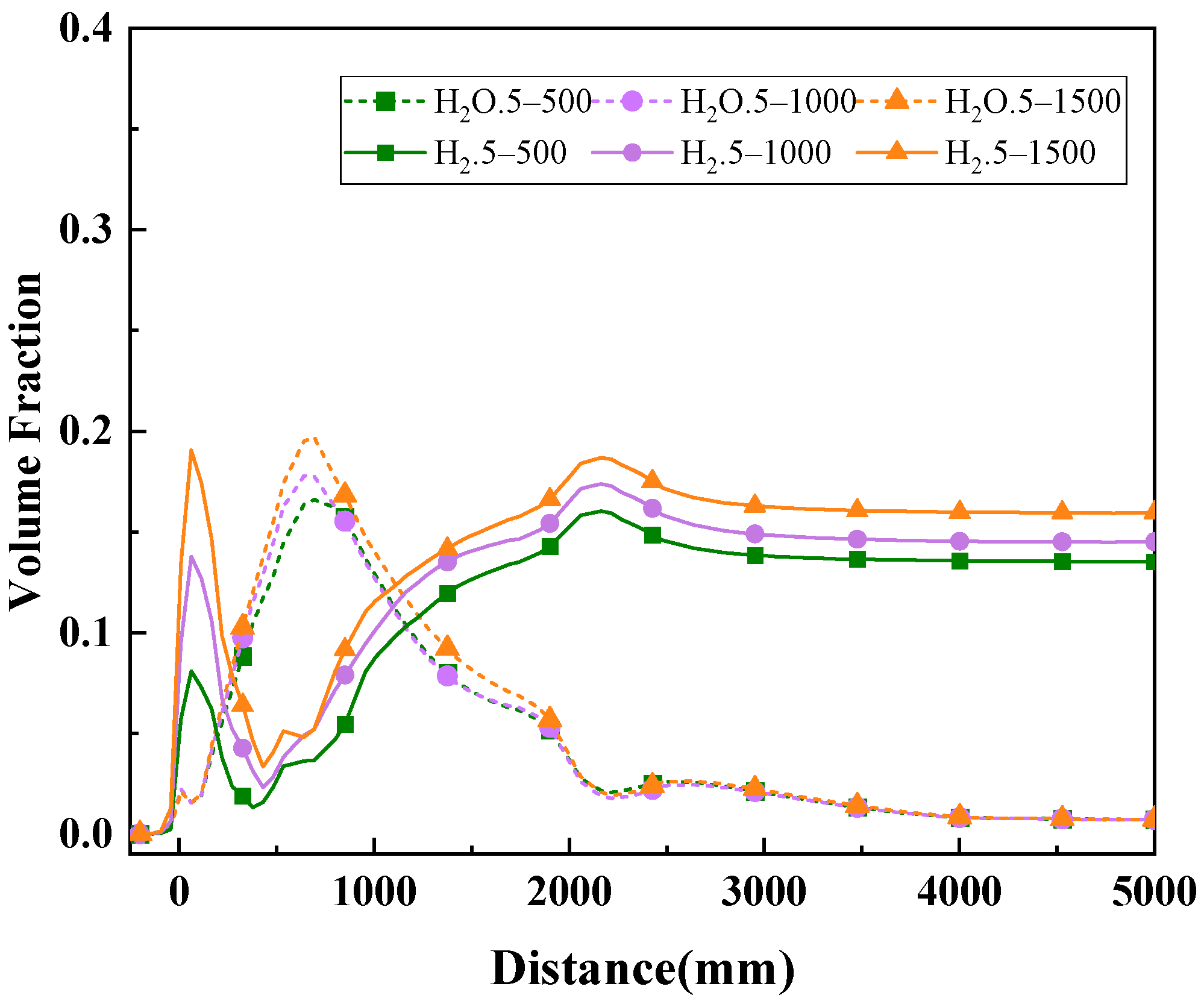
3.3. Effects of Hydrogen Injection Rate
3.4. Analysis of Pulverized Coal Burnout
4. Conclusion
- (1)
- From the base condition, the injection of hydrogen increased the water vapor volume fraction inside the raceway and the hydrogen volume fraction in the coke bed downstream raceway. Due to the cold injection of hydrogen, velocity and temperature near tuyere only increased slightly, but the coke bed temperature decreased.
- (2)
- With the increase in oxygen enrichment rate from 0% to 10%, the volume-averaged temperature in the raceway and coke bed increases from 2193 K to 2505 K. Combustion intensity increases, and hence, the volume fraction of water vapor and CO2 in the raceway increases. Since more carbon is involved in reactions, the final volume fraction of CO in the coke bed increases from 0.29 to 0.40, and that of final hydrogen decreases from 0.15 to 0.13.
- (3)
- With the increase in hydrogen injection from 0 Nm3/h to 1000 Nm3/h, the volume-averaged temperature of the raceway and the coke bed decreased slightly, only reduced by 17 K. The O2 consumption rate in the raceway becomes faster, and the volume fraction of water vapor increases. In the coke bed, the volume fraction of CO decreases, and that of hydrogen increases. The final hydrogen volume fraction increases from 0.14 to 0.16 with the hydrogen injection rate from 500 m3/h to 1500 m3/h.
- (4)
- The burnout rate of pulverized coal is positively correlated with the oxygen enrichment rate, the oxygen enrichment rate increases from 0% to 10%, and the burnout rate has increased by about 15%, while the hydrogen injection rate has little effect on it. Injection of hydrogen can promote the pulverized coal combustion at the front part of the raceway but inhibit it at the end due to the relative lack of oxygen. For pulverized coal with a uniform diameter of 75 μm, 100% burnout can be achieved when the oxygen enrichment rate increases to 10%.
Author Contributions
Funding
Data Availability Statement
Acknowledgments
Conflicts of Interest
References
- Chu, M.S.; Wang, H.T.; Liu, Z.G.; Tang, J. Research Progress on Mathematical Modeling of Blast Furnace Ironmaking Process. Iron Steel 2014, 49, 1–8. [Google Scholar] [CrossRef]
- Behnaz, R.; Arash, T.; Hannah, L.; Tom, H.; Pramod, K.; Kim, H.; Apsara, J. A technical review on coke rate and quality in low-carbon blast furnace ironmaking. Fuel 2023, 336, 127077. [Google Scholar]
- Hu, R.; Zhang, Q. Study of a low-carbon production strategy in the metallurgical industry in China. Energy 2015, 90, 1456–1467. [Google Scholar] [CrossRef]
- Zhao, J.; Zuo, H.; Wang, Y.; Wang, J.; Xue, Q. Review of green and low-carbon ironmaking technology. Ironmak. Steelmak. 2020, 47, 296–306. [Google Scholar] [CrossRef]
- Chen, B.; Chen, J.; Bai, C.; Hu, M.; Chen, M. Optimization of Raceway Adiabatic Flame Temperature Model for H2-Rich Gas Injection Blast Furnace. J. Sustain. Metall. 2024, 10, 1–11. [Google Scholar] [CrossRef]
- Castro, J.A.; Medeiros, G.A.; Silva, L.M.; Ferreira, I.L.; Campos, M.F.; Oliveira, E.M. A Numerical Study of Scenarios for the Substitution of Pulverized Coal Injection by Blast Furnace Gas Enriched by Hydrogen and Oxygen Aiming at a Reduction in CO2 Emissions in the Blast Furnace Process. Metals 2023, 13, 927. [Google Scholar] [CrossRef]
- Xue, Q.G.; Yang, F.; Zhang, X.X.; Wang, J.S.; Zuo, H.B.; Jiang, Z.Y.; She, X.F.; Wang, G. Development of an oxygen blast furnace and its research progress in University of Science and Technology Beijing. J. Eng. Sci. 2021, 43, 1579–1591. [Google Scholar] [CrossRef]
- Wang, G.; Wang, J.S.; Zuo, H.B.; Xue, Q.G. Effect of Blast Furnace Gas Recycling with Hydrogen Injection on Low Carbon Development of Chinese Ironmaking. China Metall. 2019, 29, 1–6. [Google Scholar] [CrossRef]
- Zhu, R.L.; Sun, J.J. China Baowu’s Technical Layout in the Low-carbon Ironmaking. Ironmaking 2022, 41, 8–15. [Google Scholar]
- Gu, C.; Xie, J.; Li, X.; Gao, X. Levelized Cost Analysis for Blast Furnace CO2 Capture, Utilization, and Storage Retrofit in China’s Blast Furnace–Basic Oxygen Furnace Steel Plants. Energies 2023, 16, 7817. [Google Scholar] [CrossRef]
- Zhang, C.; Zhang, J.; Zheng, A.; Xu, R.; Jia, G.; Zhu, J. Effects of hydrogen-rich fuel injection on the states of the raceway in blast furnace. Energy 2023, 274, 127237. [Google Scholar] [CrossRef]
- Li, Z.; Qi, Z.; Wang, Z.; Zhang, L.; Liang, D.; Dong, Q. Numerical investigation of coke oven gas (COG) injection into an ironmaking blast furnace (BF). Int. J. Hydrogen Energy 2022, 47, 31109–31128. [Google Scholar] [CrossRef]
- Tang, J.; Chu, M.-s.; Li, F.; Feng, C.; Liu, Z.-g.; Zhou, Y.-s. Development and progress on hydrogen metallurgy %J International Journal of Minerals, Metallurgy and Materials. Metall. Mater. 2020, 27, 713–723. [Google Scholar]
- Kamijo, C.; Matsukura, Y.; Yokoyama, H.; Sunahara, K.; Kakiuchi, K.; Sakai, H.; Nakano, K.; Ujisawa, Y.; Nishioka, K. Influence of Large Amount of Hydrogen Containing Gaseous Reductant Injection on Carbon Consumption and Operation Conditions of Blast Furnace—Development of Low Carbon Blast Furnace Operation Technology by using Experimental Blast Furnace: Part II. ISIJ Int. 2022, 62, 2433–2441. [Google Scholar] [CrossRef]
- Tang, J.; Chu, M.; Li, F.; Zhang, Z.; Tang, Y.; Liu, Z.; Yagi, J. Mathematical simulation and life cycle assessment of blast furnace operation with hydrogen injection under constant pulverized coal injection. J. Clean. Prod. 2021, 278, 123191. [Google Scholar] [CrossRef]
- Guo, T.L.; Chu, M.S.; Liu, Z.G.; Tang, J.; Yagi, J.I. Mathematical Modeling and Exergy Analysis of Blast Furnace Operation with Natural Gas Injection. Steel Res. Int. 2012, 84, 333–343. [Google Scholar] [CrossRef]
- Cheng, X.F.; Qing, G.L.; Zhang, F.M.; Xu, M.; Qian, R.Q.; Wu, J.L. Effects of Hydrogen-rich Fuels Injection on Blast Furnace Ironmaking Process. China Metall. 2023, 33, 106–113. [Google Scholar] [CrossRef]
- Ren, M.M.; Liu, W.W.; Zhao, J.X.; Pei, Y.; Xing, X.D.; Shi, R.M. Analysis on Mass and Energy Balance of Raceway at Low-carbon Injection Conditions for Blast Furnace. Iron Steel 2023, 58, 1–12. [Google Scholar] [CrossRef]
- Wang, G.; Xu, J.; He, K.; Zou, Z.-p.; Bai, H. Heat distribution model under hydrogen-rich low-carbon conditions in blast furnace. J. Iron Steel Res. Int. 2023, 31, 584–594. [Google Scholar] [CrossRef]
- Wang, Z.; Zhang, J.; Xie, C.; Gao, L.; He, Z.; Zhan, W. Numerical Simulation Study of Co-injection of Pulverized Coal and Hydrogen in the Tuyere-Raceway. J. Sustain. Metall. 2024, 10, 1237–1249. [Google Scholar] [CrossRef]
- Nielson, S.; Okosun, T.; Damstedt, B.; Jampani, M.; Zhou, C.Q. Tuyere-Level Syngas Injection in the Blast Furnace: A Computational Fluid Dynamics Investigation. Processes 2021, 9, 1447. [Google Scholar] [CrossRef]
- Zhang, J.; Zhang, C.; Xu, R.; Zheng, A.; Zhu, J. Research on the impact of tuyere parameters on the states of hydrogen-rich blast furnace. Int. J. Hydrogen Energy 2023, 49, 822–836. [Google Scholar] [CrossRef]
- Shen, Y.S.; Guo, B.Y.; Yu, A.B.; Austin, P.R.; Zulli, P. Three-dimensional modelling of in-furnace coal/coke combustion in a blast furnace. Fuel 2011, 90, 728–738. [Google Scholar] [CrossRef]
- Ren, M.M.; Liu, W.W.; Zhao, J.X.; Zou, C.; Ren, L.; Wu, H.; Zhao, J. Effects of hydrogen fraction in co-injection gas on combustion characteristics of the raceway in low carbon emission blast furnace. Int. J. Hydrogen Energy 2023, 48, 11530–11540. [Google Scholar] [CrossRef]
- Zhang, C.L.; Vladislav, L.; Xu, R.S.; Sergey, G.; Jiao, K.; Zhang, J.L.; Li, T.; Aleksei, T.; Wang, C.; Wang, G.W. Blast furnace hydrogen-rich metallurgy-research on efficiency injection of natural gas and pulverized coal. Fuel 2022, 311, 122412. [Google Scholar] [CrossRef]
- Okosun, T.; Street, S.J.; Zhao, J.; Wu, B.; Zhou, C.Q. Influence of conveyance methods for pulverised coal injection in a blast furnace. Ironmak. Steelmak. 2016, 44, 513–525. [Google Scholar] [CrossRef]
- Liu, Y.; Hu, Z.; Shen, Y. CFD Study of Hydrogen Injection in Blast Furnaces: Tuyere Co-injection of Hydrogen and Coal. Metall. Mater. Trans. B 2021, 52, 2971–2991. [Google Scholar] [CrossRef]
- Tang, Z.; Zheng, Z.; Chen, H.; He, K. The Influence of Hydrogen Injection on the Reduction Process in the Lower Part of the Blast Furnace: A Thermodynamic Study. In Energy Technology 2021; The Minerals, Metals & Materials Series; Springer: Berlin/Heidelberg, Germany, 2021; pp. 149–160. [Google Scholar]
- Gao, D.; Luo, G.; Wang, Y.; Zhang, G. The Multi-Objective Optimization of Blast Furnace Oxygen Enrichment Rate Based on Optimal Carbon Ratio. Metals 2023, 13, 777. [Google Scholar] [CrossRef]
- Babich, A.; Senk, D.; Born, S. Interaction between Co-injected Substances with Pulverized Coal into the Blast Furnace. ISIJ Int. 2014, 54, 2704–2712. [Google Scholar] [CrossRef]
- Zhu, W.; Zhang, J.; Zong, Y.; Zhang, L.; Liu, Y.; Yan, L.; Jiao, K. Optimization Study of Annular Wear-Resistant Layer Structure for Blast Furnace Tuyere. Metals 2023, 13, 1109. [Google Scholar] [CrossRef]
- Ueki, Y.; Yoshiie, R.; Naruse, I.; Matsuzaki, S. Effect of hydrogen gas addition on combustion characteristics of pulverized coal. Fuel Process. Technol. 2017, 161, 289–294. [Google Scholar] [CrossRef]
- Moriya, K.; Takahashi, K.; Murao, A.; Sato, T.; Fukada, K. Effect of Large Amount of Co-injected Gaseous Reducing Agent on Combustibility of Pulverized Coal Analyzed with Non-Contact Measurement. ISIJ Int. 2020, 60, 1662–1668. [Google Scholar] [CrossRef]
- Du, S.-W.; Yeh, C.-P.; Chen, W.-H.; Tsai, C.-H.; Lucas, J.A. Burning characteristics of pulverized coal within blast furnace raceway at various injection operations and ways of oxygen enrichment. Fuel 2015, 143, 98–106. [Google Scholar] [CrossRef]
- Peng, X.; Wang, J.; Li, C.; Zuo, H.; Wang, G.; She, X.; Xue, Q. Influence of Reducing Gas Injection Methods on Pulverized Coal Combustion in a Medium Oxygen-Enriched Blast Furnace. JOM 2021, 73, 2929–2937. [Google Scholar] [CrossRef]
- Zhang, S.Y.; Xue, Q.G.; Liu, J.Z.; She, X.X.; Wang, J.S. Numerical Simulation of Pulverized Coal Combustion in the Raceway of an Oxygen Blast Furnace. Chin. J. Eng. 2015, 37, 638–647. [Google Scholar] [CrossRef]
- Zhuo, Y.; Shen, Y. Three-dimensional transient modelling of coal and coke co-combustion in the dynamic raceway of ironmaking blast furnaces. Appl. Energy 2020, 261, 114456. [Google Scholar] [CrossRef]
- Chen, T.; Cheng, S.S. Three-dimensional Modelling of Pulverized Coal Injection in Blast Furnace Raceway. Chin. J. Process Eng. 2018, 18, 265–273. [Google Scholar]
- Zhuo, Y.; Hu, Z.; Shen, Y. CFD study of hydrogen injection through tuyeres into ironmaking blast furnaces. Fuel 2021, 302, 120804. [Google Scholar] [CrossRef]
- Chen, C.-J.; Hung, C.-I.; Chen, W.-H. Numerical investigation on performance of coal gasification under various injection patterns in an entrained flow gasifier. Appl. Energy 2012, 100, 218–228. [Google Scholar] [CrossRef]
- Zhou, Z.; Liu, Y.; Wang, G.; She, X.; Xue, Q.; Wang, J. Effect of Local Oxygen-enrichment Ways of Oxygen-coal Double Lance on Coal Combustion. ISIJ Int. 2017, 57, 279–285. [Google Scholar] [CrossRef]















| Parameters | Units | Value |
|---|---|---|
| Blast Volume | Nm3/min | 160 |
| Blast Temperature | °C | 1220 |
| Blast Pressure | MPa | 0.46 |
| Oxygen Enrichment Rate of Blast | % | 0, 5, 10 |
| Hydrogen Injection Rate | Nm3/h | 500, 1000, 1500 |
| Pulverized Coal Injection Rate | kg/h | 1500 |
| Proximate Analysis | Volatile | Fixed Carbon | Ash | Moisture |
|---|---|---|---|---|
| Mass Fraction (wt%) | 10.35 | 79.44 | 8.91 | 1.3 |
| Ultimate Analysis | C | H | O | N | S |
|---|---|---|---|---|---|
| Mass Fraction (wt%) | 91.77 | 4.08 | 2.61 | 1.13 | 0.41 |
Disclaimer/Publisher’s Note: The statements, opinions and data contained in all publications are solely those of the individual author(s) and contributor(s) and not of MDPI and/or the editor(s). MDPI and/or the editor(s) disclaim responsibility for any injury to people or property resulting from any ideas, methods, instructions or products referred to in the content. |
© 2024 by the authors. Licensee MDPI, Basel, Switzerland. This article is an open access article distributed under the terms and conditions of the Creative Commons Attribution (CC BY) license (https://creativecommons.org/licenses/by/4.0/).
Share and Cite
Shi, R.; Pei, Y.; Ren, M.; Xue, Z.; Li, X.; Liu, H. Numerical Study on Combustion Behavior of Tuyere and Raceway in Blast Furnace with Oxygen-Rich Blast and Hydrogen Injection. Metals 2025, 15, 7. https://doi.org/10.3390/met15010007
Shi R, Pei Y, Ren M, Xue Z, Li X, Liu H. Numerical Study on Combustion Behavior of Tuyere and Raceway in Blast Furnace with Oxygen-Rich Blast and Hydrogen Injection. Metals. 2025; 15(1):7. https://doi.org/10.3390/met15010007
Chicago/Turabian StyleShi, Ruimeng, Yue Pei, Mengmeng Ren, Zheng Xue, Xinqi Li, and Heping Liu. 2025. "Numerical Study on Combustion Behavior of Tuyere and Raceway in Blast Furnace with Oxygen-Rich Blast and Hydrogen Injection" Metals 15, no. 1: 7. https://doi.org/10.3390/met15010007
APA StyleShi, R., Pei, Y., Ren, M., Xue, Z., Li, X., & Liu, H. (2025). Numerical Study on Combustion Behavior of Tuyere and Raceway in Blast Furnace with Oxygen-Rich Blast and Hydrogen Injection. Metals, 15(1), 7. https://doi.org/10.3390/met15010007

