Optimization of Strength and Plasticity in Layered Aluminum Composites Through High-Pressure Torsion Treatment
Abstract
1. Introduction
2. Materials and Methods
3. Results and Discussion
3.1. Results of Tensile Tests
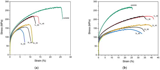
3.1.1. Composite Materials in Coarse-Grain State
3.1.2. Composite Materials in Ultrafine-Grained State
3.2. Characterisation of the Microstructure of Composite Materials
4. Conclusions
- The combination of WAAM technology and HPT allows precise control over the volume ratio of constituent materials in composite samples.
- Optimal strength and ductility are achieved in composite samples containing one or two layers of commercially pure aluminum subjected to deformation levels of approximately 36% and 18%, respectively.
- The observed combination of high strength and plasticity can be attributed to the bimodal microstructure, as confirmed by microstructural analysis.
Supplementary Materials
Author Contributions
Funding
Data Availability Statement
Acknowledgments
Conflicts of Interest
References
- Mondolfo, L.F. Aluminum Alloys: Structure and Properties; Elsevier: Amsterdam, The Netherlands, 1976. [Google Scholar] [CrossRef]
- Aluminum Association. Aluminum: Properties and Physical Metallurgy; ASM International: Detroit, MI, USA, 1984. [Google Scholar]
- Ding, D.; Pan, Z.; Cuiuri, D.; Li, H. Wire-feed additive manufacturing of metal components: Technologies, developments and future interests. Int. J. Adv. Manuf. Technol. 2015, 81, 465–481. [Google Scholar] [CrossRef]
- Williams, S.W.; Martina, F.; Addison, A.C.; Ding, J.; Pardal, G.; Colegrove, P. Wire+ arc additive manufacturing. Mater. Sci. Technol. 2016, 32, 641–647. [Google Scholar] [CrossRef]
- Gress, D.R.; Kalafsky, R.V. Geographies of production in 3D: Theoretical and research implications stemming from additive manufacturing. Geoforum 2015, 60, 43–52. [Google Scholar] [CrossRef]
- Evans, S.I.; Wang, J.; Qin, J.; He, Y.; Shepherd, P.; Ding, J. A review of WAAM for steel construction–Manufacturing, material and geometric properties, design, and future directions. Structures 2022, 44, 1506–1522. [Google Scholar] [CrossRef]
- Munusamy, S.; Jerald, J. Effect of build orientation on the microstructure and mechanical properties of wire arc additive manufactured grade 91 steel/monel 400 bimetallic components. Vacuum 2024, 227, 113429. [Google Scholar] [CrossRef]
- Kesarwani, S.; Yuvaraj, N.; Niranjan, M.S. Impact of depositional direction and current on microstructure and mechanical properties of the bimetallic wall of ER5356/ER4043 fabricated by cold metal transfer based wire arc additive manufacturing. CIRP J. Manuf. Sci. Technol. 2024, 53, 17–33. [Google Scholar] [CrossRef]
- Ayan, Y.; Kahraman, N. Fabrication and characterization of functionally graded material (FGM) structure containing two dissimilar steels (ER70S-6 and 308LSi) by wire arc additive manufacturing (WAAM). Mater. Today Commun. 2022, 33, 104457. [Google Scholar] [CrossRef]
- Jadhav, S.; Bajestani, M.S.; Islam, S.; Karim, M.A.; Kim, C.J.; Lee, H.-J.; Cho, Y.T.; Kim, D.B. Materials characterization of Ti6Al4V to NbZr1 bimetallic structure fabricated by wire arc additive manufacturing. Mater. Today Commun. 2023, 36, 106934. [Google Scholar] [CrossRef]
- Karim, M.A.; Jadhav, S.; Kannan, R.; Pierce, D.; Lee, Y.; Nandwana, P.; Kim, D.B. Investigating stainless steel/aluminum bimetallic structures fabricated by cold metal transfer (CMT)-based wire-arc directed energy deposition. Addit. Manuf. 2024, 81, 104015. [Google Scholar] [CrossRef]
- Spalek, N.; Brunow, J.; Braun, M.; Rutner, M. WAAM-Fabricated Laminated Metal Composites. Metals 2021, 11, 1948. [Google Scholar] [CrossRef]
- Singh, S.R.; Khanna, P. Wire arc additive manufacturing (WAAM): A new process to shape engineering materi-als. Mater. Today Proc. 2020, 44, 118–128. [Google Scholar] [CrossRef]
- Yu, L.; Chen, K.; Zhang, Y.; Liu, J.; Yang, L.; Shi, Y. Microstructures and mechanical properties of NiTi shape memory alloys fabricated by wire arc additive manufacturing. J. Alloys Compd. 2022, 892, 162193. [Google Scholar] [CrossRef]
- Chaturvedi, M.; Scutelnicu, E.; Rusu, C.; Mistodie, L.; Mihailescu, D.; Subbiah, A. Wire Arc Additive Man-ufacturing: Review on Recent Findings and Challenges in Industrial Applications and Materials Characterization. Metals 2021, 11, 939. [Google Scholar] [CrossRef]
- Panchenko, O.; Kurushkin, D.; Mushnikov, I.; Khismatullin, A.; Popovich, A. A high-performance WAAM process for Al–Mg–Mn using controlled short-circuiting metal transfer at increased wire feed rate and increased travel speed. Mater. Des. 2020, 195, 109040. [Google Scholar] [CrossRef]
- Salomatova, E.S.; Kartashev, M.F.; Trushnikov, D.N.; Permykov, G.L.; Olshanskaya, T.V.; Abashev, I.R.; Fedoseeva, E.M.; Koleva, E.G. Evaporation processes of alloying components during wire-arc deposition of aluminum alloy 5056. IOP Conf. Ser. Mater. Sci. Eng. 2020, 758, 012064. [Google Scholar] [CrossRef]
- Mavlyutov, A.; Evstifeev, A.; Volosevich, D.; Gushchina, M.; Voropaev, A.; Zotov, O.; Klimova-Korsmik, O. The Effect of Severe Plastic Deformation on the Microstructure and Mechanical Properties of Composite from 5056 and 1580 Aluminum Alloys Produced with Wire Arc Additive Manufacturing. Metals 2023, 13, 1281. [Google Scholar] [CrossRef]
- Gu, J.; Wang, X.; Bai, J.; Ding, J.; Williams, S.; Zhai, Y.; Liu, K. Deformation microstructures and strengthening mechanisms for the wire-arc additively manufactured Al-Mg4.5Mn alloy with inter-layer rolling. Mater. Sci. Eng. A 2018, 712, 292–301. [Google Scholar] [CrossRef]
- Li, S.; Zhang, L.J.; Ning, J.; Wang, X.; Zhang, G.F.; Zhang, J.X.; Na, S.J.; Fatemeh, B. Comparative study on the microstructures and properties of wire-arc additively manufactured 5356 aluminum alloy with argon and nitrogen as the shielding gas. Addit. Manuf. 2020, 34, 101206. [Google Scholar] [CrossRef]
- Sabirov, I.; Murashkin, M.Y.; Valiev, R.Z. Nanostructured aluminium alloys produced by severe plastic deformation: New horizons in development. Mater. Sci. Eng. A 2013, 560, 1–24. [Google Scholar] [CrossRef]
- Zhilyaev, A.P.; Langdon, T.G. Using high-pressure torsion for metal processing: Fundamentals and applications. Prog. Mater. Sci. 2008, 53, 893–979. [Google Scholar] [CrossRef]
- Edalati, K.; Horita, Z. A review on high-pressure torsion (HPT) from 1935 to 1988. Mater. Sci. Eng. A 2016, 652, 325–352. [Google Scholar] [CrossRef]
- Valiev, R.; Islamgaliev, R.; Alexandrov, I. Bulk nanostructured materials from severe plastic deformation. Prog. Mater. Sci. 2000, 45, 103–189. [Google Scholar] [CrossRef]
- Kalsar, R.; Yadav, D.; Sharma, A.; Brokmeier, H.G.; May, J.; Höppel, H.W.; Skrotzki, W.; Suwas, S. Effect of Mg content on microstructure, texture and strength of severely equal channel angular pressed aluminium-magnesium alloys. Mater. Sci. Eng. A 2020, 797, 140088. [Google Scholar] [CrossRef]
- Liu, M.P.; Roven, H.J.; Murashkin, M.Y.; Valiev, R.Z.; Kilmametov, A.; Zhang, Z.; Yu, Y. Structure and mechanical properties of nanostructured Al-Mg alloys processed by severe plastic deformation. J. Mater. Sci. 2013, 48, 4681–4688. [Google Scholar] [CrossRef]
- Liu, Y.; Liu, M.; Chen, X.; Cao, Y.; Roven, H.J.; Murashkin, M.; Zhou, H. Effect of Mg on microstructure and mechanical properties of Al-Mg alloys produced by high pressure torsion. Scr. Mater. 2019, 159, 137–141. [Google Scholar] [CrossRef]
- Murashkin, M.Y.; Kil’Mametov, A.R.; Valiev, R.Z. Structure and mechanical properties of an aluminum alloy 1570 subjected to severe plastic deformation by high-pressure torsion. Phys. Met. Metall. 2008, 106, 90–96. [Google Scholar] [CrossRef]
- Liu, M.; Zheng, R.; Ma, C.; Tsuji, N. Ultra-strong, ductile and thermally stable ultrafine grained 5083 Al alloy fabricated by high pressure torsion using pre-sintered powders. Materialia 2019, 8, 100448. [Google Scholar] [CrossRef]
- Chen, Y.; Liu, M.; Ding, L.; Jia, Z.; Jia, S.; Wang, J.; Murashkin, M.; Valiev, R.Z.; Roven, H.J. Atomic-scale inhomogeneous solute distribution in an ultrahigh strength nanocrystalline Al-8 Mg aluminum alloy. Mater. Charact. 2023, 198, 112706. [Google Scholar] [CrossRef]
- Evstifeev, A.D.; Yakupov, B.A.; Mavlyutov, A.M.; Volosevich, D.V.; Voropaev, A.A. Mechanical properties of layered composites based on AA1050 and AA5056 aluminum alloys produced by WAAM technology. J. Phys. Conf. Ser. 2024, 2817, 012012. [Google Scholar] [CrossRef]
- Orlova, T.; Mavlyutov, A.; Bondarenko, A.; Kasatkin, I.; Murashkin, M.; Valiev, R. Influence of grain boundary state on electrical resistivity of ultrafine grained aluminium. Philos. Mag. 2016, 96, 2429–2444. [Google Scholar] [CrossRef]
- Evstifeev, A.; Smirnov, I. Effect of annealing and additional deformation on the microstructure and mechanical properties of ultrafine-grained Al5083 alloy. Mater. Phys. Mech. 2023, 95, 20–28. [Google Scholar] [CrossRef]
- Mavlyutov, A.M.; Latynina, T.A.; Murashkin, M.Y.; Valiev, R.Z.; Orlova, T.S. Effect of annealing on the microstructure and mechanical properties of ultrafine-grained commercially pure Al. Phys. Solid State 2017, 59, 1970–1977. [Google Scholar] [CrossRef]










| σ0.2, MPa | σUTS, MPa | δ1, % | δ2, % | |
|---|---|---|---|---|
| AA5056_Wire | 159 ± 2 | 313 ± 1 | 31 ± 2 | 31 ± 2 |
| AA1050_Wire | 45 ± 1 | 78 ± 1 | 45 ± 4 | 45 ± 4 |
| AA5056 | 111 ± 4 | 273 ± 4 | 26 ± 1 | 26 ± 1 |
| 1L_90 | 100 ± 1 | 211 ± 3 | 10 ± 1 | 35 ± 2 |
| 1L_45 | 98 ± 1 | 216 ± 3 | 13 ± 1 | 43 ± 2 |
| 2L_90 | 94 ± 1 | 155 ± 1 | 9 ± 0.5 | 34 ± 2 |
| 2L_45 | 77 ± 3 | 160 ± 5 | 10 ± 1 | 42 ± 2 |
| 3L_90 | 85 ± 4 | 140 ± 3 | 6 ± 0.5 | 33 ± 3 |
| State | εvM | σUTS (MPa) | σ0.2 (MPa) | δ (%) |
|---|---|---|---|---|
| 1L_HPT_2 | 36 | 664 ± 10 | 570 ± 10 | 7 ± 1 |
| 1L_HPT_5 | 91 | 705 ± 11 | 587 ± 10 | 2 ± 0.5 |
| 1L_HPT_10 | 181 | 611 ± 15 | 590 ± 5 | ~0.5 |
| 2L_HPT_0.25 | 4.5 | 274 ± 10 | 267 ± 10 | 11 ± 1 |
| 2L_HPT_0.5 | 9 | 454 ± 15 | 399 ± 15 | 7 ± 2 |
| 2L_HPT_1 | 18 | 543 ± 5 | 473 ± 10 | 7 ± 1 |
| 2L_HPT_2 | 36 | 561 ± 5 | 447 ± 5 | 4.5 ± 0.5 |
| 2L_HPT_5 | 91 | 525 ± 15 | 430 ± 15 | 2.5 ± 0.5 |
| 2L_HPT_10 | 181 | 619 ± 15 | 570 ± 5 | 2 ± 0.5 |
Disclaimer/Publisher’s Note: The statements, opinions and data contained in all publications are solely those of the individual author(s) and contributor(s) and not of MDPI and/or the editor(s). MDPI and/or the editor(s) disclaim responsibility for any injury to people or property resulting from any ideas, methods, instructions or products referred to in the content. |
© 2024 by the authors. Licensee MDPI, Basel, Switzerland. This article is an open access article distributed under the terms and conditions of the Creative Commons Attribution (CC BY) license (https://creativecommons.org/licenses/by/4.0/).
Share and Cite
Evstifeev, A.; Mavlyutov, A.; Voropaev, A.; Volosevich, D. Optimization of Strength and Plasticity in Layered Aluminum Composites Through High-Pressure Torsion Treatment. Metals 2024, 14, 1445. https://doi.org/10.3390/met14121445
Evstifeev A, Mavlyutov A, Voropaev A, Volosevich D. Optimization of Strength and Plasticity in Layered Aluminum Composites Through High-Pressure Torsion Treatment. Metals. 2024; 14(12):1445. https://doi.org/10.3390/met14121445
Chicago/Turabian StyleEvstifeev, Alexey, Aydar Mavlyutov, Artem Voropaev, and Darya Volosevich. 2024. "Optimization of Strength and Plasticity in Layered Aluminum Composites Through High-Pressure Torsion Treatment" Metals 14, no. 12: 1445. https://doi.org/10.3390/met14121445
APA StyleEvstifeev, A., Mavlyutov, A., Voropaev, A., & Volosevich, D. (2024). Optimization of Strength and Plasticity in Layered Aluminum Composites Through High-Pressure Torsion Treatment. Metals, 14(12), 1445. https://doi.org/10.3390/met14121445

