Effects of Long-Term Aging on Structure Evolution and Stress Rupture Property of DD6 Single-Crystal Superalloy
Abstract
:1. Introduction
2. Experimental Section
3. Results and Analysis
3.1. Effects of Long-Term Aging on Structures of DD6 Alloy
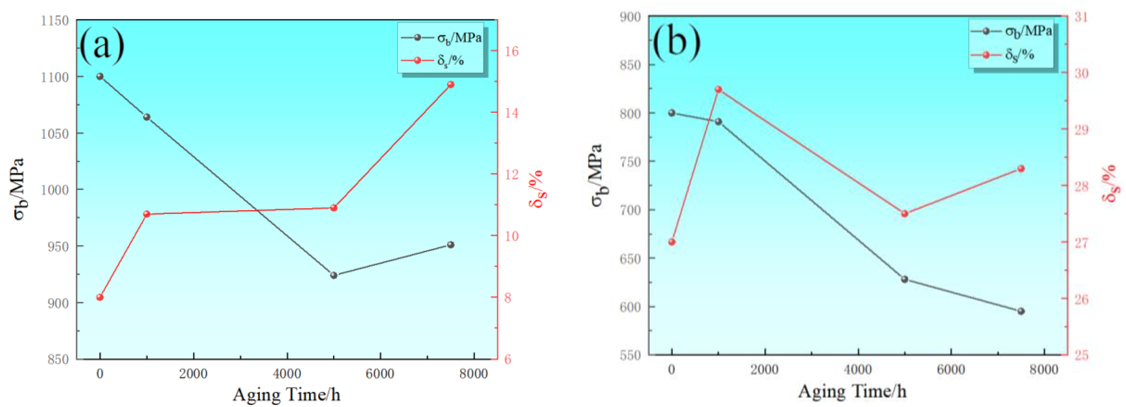
3.2. Effects of Long-Term Aging on Tensile Properties of DD6 Alloy
3.3. Effects of Long-Term Aging on Stress Rupture Property of DD6 Alloy
4. Discussion
5. Conclusions
- D6 alloy after 1000 h, 5000 h, and 7500 h long-term aging treatment: for the alloy at 760 °C, the tensile strength first decreases and then increases with the extension of the aging time, and the minimum value appears at 5000 h; at 980 °C, the tensile strength decreases gradually with the extension of the aging time, and the elongation increases first and then decreases, reaching the maximum value at 2000 h. With the extension of the aging time, the lasting life is showing a decreasing trend; when the aging time is 7500 h, the lasting life is significantly reduced;
- With the extension of aging time, the size of the high-temperature strengthening-phase γ′ in the matrix gradually increases, the matrix channel widens, and the cubicization of the γ′ phase decreases continuously along the <100> and <010> directions, connecting and merging to form irregular shapes (such as long strips, L shapes, etc.), and eventually growing directionally to form raft rows;
- After aging at 980 °C for 1000 h, no precipitation phase was found. When the aging time was 5000 h and 7500 h, needle-like, rod-like, and polygonal block-like μ phase appeared, characterized by rich W, Re, and Mo and poor Ni. Meanwhile, as the W/Mo value decreases, the μ phase demonstrates a multi-variable transition trend from needle-like to rod-like and block-like.
Author Contributions
Funding
Data Availability Statement
Conflicts of Interest
References
- Moverare, J.J.; Johansson, S.; Reed, R.C. Deformation and damage mechanisms during thermal-mechanical fatigue of a single-crystal superalloy. Acta Mater. 2009, 57, 2266–2276. [Google Scholar] [CrossRef]
- Graverend, J.B.; Cormier, J.; Gallerneau, F.; Villechaise, P.; Kruch, S.; Mendez, J. A microstructure-sensitive constitutive modeling of the inelastic behavior of single crystal nickel-based superalloys at very high temperature. Int. J. Plast. 2014, 59, 55–83. [Google Scholar] [CrossRef]
- Khomutov, M.G.; Churyumov, A.Y.; Pozdnyakov, A.V.; Voitenko, A.G.; Chereshneva, A.A. Simulation of the kinetics of dynamic recrystallization of alloy KhN55MBYu-VD during hot deformation. Met. Sci. Heat. Treat. 2019, 60, 606–610. [Google Scholar] [CrossRef]
- Arakere, N.K.; Orozco, E. Analysis of low cycle fatigue properties of single crystal nickel-base turbine blade superalloys. High Temp. Mater. Process. 2001, 20, 403–420. [Google Scholar] [CrossRef]
- Lizzi, F.; Pradeep, K.; Stanojevic, A.; Sommadossi, S.; Poletti, M.C. Hot Deformation Behavior of a Ni-Based Superalloy with Suppressed Precipitation. Metals 2021, 11, 605. [Google Scholar] [CrossRef]
- Popova, M.A.; Kuznetsov, V.P.; Lesnikov, V.P.; Popov, N.A.; Konakova, I.P. The structure and mechanical properties of single-crystal nickel alloys with Re and Ru after high-temperature holds. Mat. Sci. Eng. A Struct. 2015, 642, 304–308. [Google Scholar] [CrossRef]
- Sato, A.; Harada, H.; Yokokawa, T.; Murakumo, T.; Koizumi, Y.; Kobayashi, T.; Imai, H. The effects of ruthenium on the phase stability of fourth generation Ni-base single crystal superalloys. Scripta Mater. 2006, 54, 1679–1684. [Google Scholar] [CrossRef]
- Yeh, A.C.; Tin, S. Effects of Ru on the high-temperature phase stability of Ni-base single-crystal superalloys. Metall. Mater. Trans. A 2006, 37, 2621–2631. [Google Scholar] [CrossRef]
- Xiong, X.; Quan, D.; Dai, P.; Wang, Z.; Zhang, Q.; Yue, Z. Tensile behavior of nickel-base single-crystal superalloy DD6. Mat. Sci. Eng. A 2015, 636, 608–612. [Google Scholar] [CrossRef]
- Long, H.B.; Wei, H.; Liu, Y.N.; Mao, S.C.; Zhang, J.X.; Xiang, S.S.; Chen, Y.H.; Gui, W.M.; Li, Q.; Zhang, Z.; et al. Effect of lattice misfit on the evolution of the dislocation structure in Ni-based single crystal superalloys during thermal exposure. Acta Mater. 2016, 120, 95–107. [Google Scholar] [CrossRef]
- Hegde, S.R.; Kearsey, R.M.; Beddoes, J.C. Designing homogenization-solution heat treatments for single crystal superalloys. Mat. Sci. Eng. A 2010, 527, 5528–5538. [Google Scholar]
- Lifshitz, I.M.; Slyozov, V. The kinetics of precipitation from supersaturated solid solutions. J. Phys. Chem. Solids 1961, 19, 35–50. [Google Scholar] [CrossRef]
- Mathew, M.D.; Parameswaran, P.; Rao, K.B.S. Microstructural changes in alloy 625 during high temperature creep. Mater. Charact. 2008, 59, 508–513. [Google Scholar] [CrossRef]
- Ding, Q.Q.; Bei, H.B.; Zhao, X.B.; Gao, Y.F.; Zhang, Z. Processing, microstructures and mechanical properties of a Ni-based single crystal superalloy. Crystals 2020, 10, 572. [Google Scholar] [CrossRef]
- Huang, M.; Cheng, Z.; Xiong, J.; Li, J.; Hu, J.; Liu, Z.; Zhu, J. Coupling between Re segregation and γ/γ′ interfacial dislocations during high-temperature, low-stress creep of a nickel-based single-crystal superalloy. Acta Mater. 2014, 76, 294–305. [Google Scholar] [CrossRef]
- Long, H.B.; Liu, Y.N.; Mao, S.C.; Wei, H.; Zhang, J.X.; Ma, S.Y.; Deng, Q.S.; Chen, Y.H.; Zhang, Z.; Han, X.D. Effect of chemical composition on particle morphology of topologically close-packed precipitates in a Ni-based single crystal superalloy. Scripta Mater. 2018, 157, 100–105. [Google Scholar] [CrossRef]
- Zhang, Z.K.; Yue, Z.F. TCP phases growth and crack initiation and propagation in nickel-based single crystal superalloys containing Re. J. Alloys Compd. 2018, 746, 84–92. [Google Scholar] [CrossRef]
- Wilson, B.C.; Hickman, J.A.; Fuchs, G.E. The effect of solution heat treatment on a single-crystal Ni-based superalloy. JOM 2003, 55, 35–40. [Google Scholar] [CrossRef]
- Sowa, R.; Goehler, T.; Dankl, L. Microstructural stability of TMS-238 Ni-base superalloy during long-term exposure at high temperature. Mater. Sci. Technol. 2021, 37, 935–950. [Google Scholar] [CrossRef]
- Zhao, Y.; He, S.; Li, L. Application of Hot Isostatic Pressing in Nickel-Based Single Crystal Superalloys. Crystals 2022, 12, 805. [Google Scholar] [CrossRef]
- Lv, P.; Liu, L.; Zhao, G.; Guo, S.; Zhou, Z.; Chen, R.; Zhao, Y.; Zhang, J. Creep properties and relevant deformation mechanisms of two low-cost nickel-based single crystal superalloys at elevated temperatures. Mat. Sci. Eng. A 2022, 851, 143561. [Google Scholar] [CrossRef]
- Shang, Z.; Wei, X.; Song, D.; Zou, J.; Liang, S.; Liu, G.; Nie, L.; Gong, X. Microstructure and mechanical properties of a new nickel-based single crystal superalloy. J. Mater. Res. Technol. 2020, 9, 11641–11649. [Google Scholar] [CrossRef]
- Liu, X.; Huang, T.; Zhang, J.; Wang, D.; Zhang, J.; Hu, R.; Zhang, J.; Liu, L. Influence of thermal exposure on microstructure and stress rupture property of a Re-containing Ni-based single crystal superalloy. Intermetallics 2021, 136, 107237. [Google Scholar] [CrossRef]
- Yang, X.; Cui, X.; Yuan, H. Correlations between microstructure evolution and mechanical behavior of a nickel-based single crystal superalloy with long-term aging effects. Mater. Charact. 2020, 169, 110652. [Google Scholar] [CrossRef]
- Watanabe, H.; Mukai, T.; Kohzu, M.; Tanabe, S.; Higashi, K. Effect of temperature and grain size on the dominant diffusion process for superplastic flow in an AZ61 magnesium alloy. Acta Mater. 1999, 47, 3753–3758. [Google Scholar] [CrossRef]
- Titus, M.S.; Suzuki, A.; Pollock, T.M. Creep and directional coarsening in single crystals of new γ–γ′ cobalt-base alloys. Scripta Mater. 2012, 66, 574–577. [Google Scholar] [CrossRef]
- Baldan, A. Review progress in ostwald ripening theories and their applications to nickel-base superalloys Part I: Ostwald ripening theories. J. Mater. Sci. 2002, 37, 2171–2202. [Google Scholar] [CrossRef]
- Aghaie-Khafri, M.; Hajjavady, M. The effect of thermal exposure on the properties of a Ni-base superalloy. Mat. Sci. Eng. A 2008, 487, 388–393. [Google Scholar] [CrossRef]
- Zhang, Y.J.; Zhang, J.X.; Li, P.; Jin, H.X.; Zhang, W.Y.; Wang, Z.H.; Mao, S.C. Characterization of topologically close-packed phases and precipitation behavior of P phase in a Ni-based single crystal superalloy. Intermetallics 2020, 125, 106887. [Google Scholar] [CrossRef]
- Kurzydłowski, K.J.; Zielinski, W. Mo2C→M6C carbide transformation in low alloy Cr-Mo ferritic steels. Metal. Sci. 1984, 18, 223–224. [Google Scholar] [CrossRef]







| Cr | Co | Mo | W | Re | Ta | Nb | Al | Hf | C |
|---|---|---|---|---|---|---|---|---|---|
| 4.3 | 9 | 2 | 8 | 2 | 7.5 | 0.5 | 5.6 | 0.1 | 0.006 |
| Test Temperature/°C | Aging Time/h | UTS/σb/MPa | YS/σ0.2/MPa | A5/δ5/% | ψ/% |
|---|---|---|---|---|---|
| 760 | 0 | 1100 | 935 | 8 | 12 |
| 1000 | 1064 | 904 | 10.7 | 15.1 | |
| 5000 | 924 | 826 | 10.9 | 21.9 | |
| 7500 | 951 | 820 | 14.9 | 28.3 | |
| 980 | 0 | 800 | 680 | 27 | 34 |
| 1000 | 791 | 686 | 29.7 | 31.5 | |
| 5000 | 628 | 581 | 27.5 | 28.3 | |
| 7500 | 595 | 525 | 28.3 | 29.2 |
| Aging Time/h | Stress/MPa | Stress Rupture Life of Heat Treated Alloy/h | After Long-Term Aging for Stress Rupture Life of Alloy | Proportion of Corresponding Life |
|---|---|---|---|---|
| 1000 | 309 | 100 | 72.42 | 72.42% |
| 270 | 197 | 135.00 | 68.53% | |
| 243 | 320 | 242.33 | 75.73% | |
| 5000 | 309 | 100 | 23.25 | 23.25% |
| 270 | 197 | 57.16 | 29.02% | |
| 243 | 320 | 166.50 | 52.03% | |
| 7500 | 309 | 100 | 13.00 | 13.00% |
| 270 | 197 | 52.84 | 26.82% | |
| 243 | 320 | 60.00 | 18.75% |
| Shape | C | Cr | Co | Ni | W | Re | Nb | Mo |
|---|---|---|---|---|---|---|---|---|
| Needle shape | 23.8 | 10.4 | 8.5 | 17.3 | 23.5 | 4.0 | 1.4 | 11.1 |
| Bar shape | 27.8 | 9.2 | 7.7 | 15.4 | 22.7 | 4.4 | 1.4 | 11.3 |
| Polygonal blocks | 11.3 | 13.8 | 20.5 | 21.4 | 14.3 | 0.6 | 6.8 | 11.3 |
Disclaimer/Publisher’s Note: The statements, opinions and data contained in all publications are solely those of the individual author(s) and contributor(s) and not of MDPI and/or the editor(s). MDPI and/or the editor(s) disclaim responsibility for any injury to people or property resulting from any ideas, methods, instructions or products referred to in the content. |
© 2023 by the authors. Licensee MDPI, Basel, Switzerland. This article is an open access article distributed under the terms and conditions of the Creative Commons Attribution (CC BY) license (https://creativecommons.org/licenses/by/4.0/).
Share and Cite
Liu, W.; Liu, S.; Li, Y.; Li, J. Effects of Long-Term Aging on Structure Evolution and Stress Rupture Property of DD6 Single-Crystal Superalloy. Metals 2023, 13, 1063. https://doi.org/10.3390/met13061063
Liu W, Liu S, Li Y, Li J. Effects of Long-Term Aging on Structure Evolution and Stress Rupture Property of DD6 Single-Crystal Superalloy. Metals. 2023; 13(6):1063. https://doi.org/10.3390/met13061063
Chicago/Turabian StyleLiu, Weiwei, Shizhong Liu, Ying Li, and Jiarong Li. 2023. "Effects of Long-Term Aging on Structure Evolution and Stress Rupture Property of DD6 Single-Crystal Superalloy" Metals 13, no. 6: 1063. https://doi.org/10.3390/met13061063
APA StyleLiu, W., Liu, S., Li, Y., & Li, J. (2023). Effects of Long-Term Aging on Structure Evolution and Stress Rupture Property of DD6 Single-Crystal Superalloy. Metals, 13(6), 1063. https://doi.org/10.3390/met13061063
