Three-Dimension Crack Propagation Behavior of Conical-Cylindrical Shell
Abstract
:1. Introduction
2. Three-Dimensional Crack Propagation Model for Conical-Cylindrical Shells
2.1. Finite-Element Modeling
2.2. Welding Residual Stress
2.3. Surface Crack Propagation Model
3. Calculating the Stress Intensity Factor
3.1. Theoretical Background
3.2. Introducing Crack
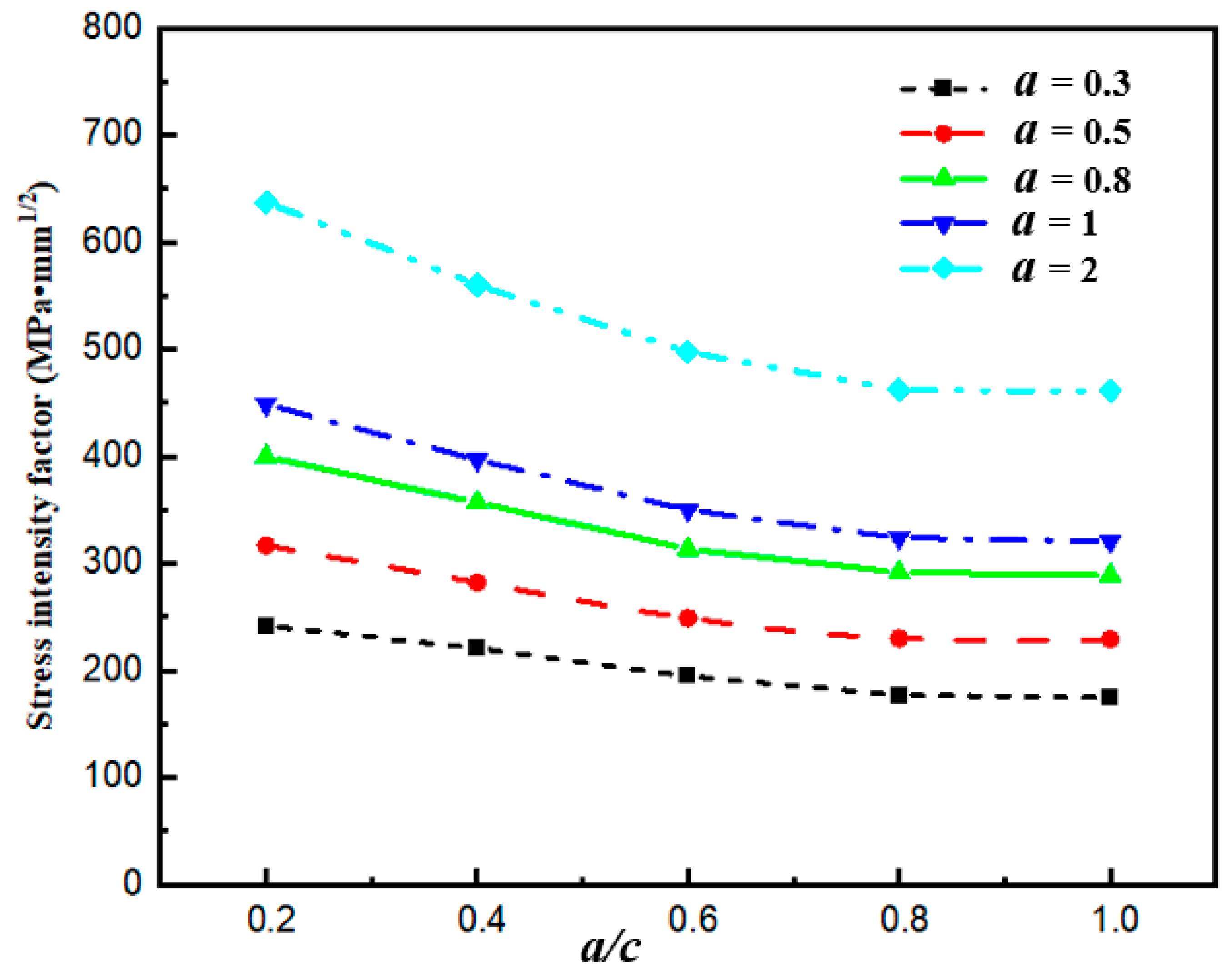
3.3. Stress Intensity Factors under Different Initial Cracks
4. Crack Propagation Results and Analysis
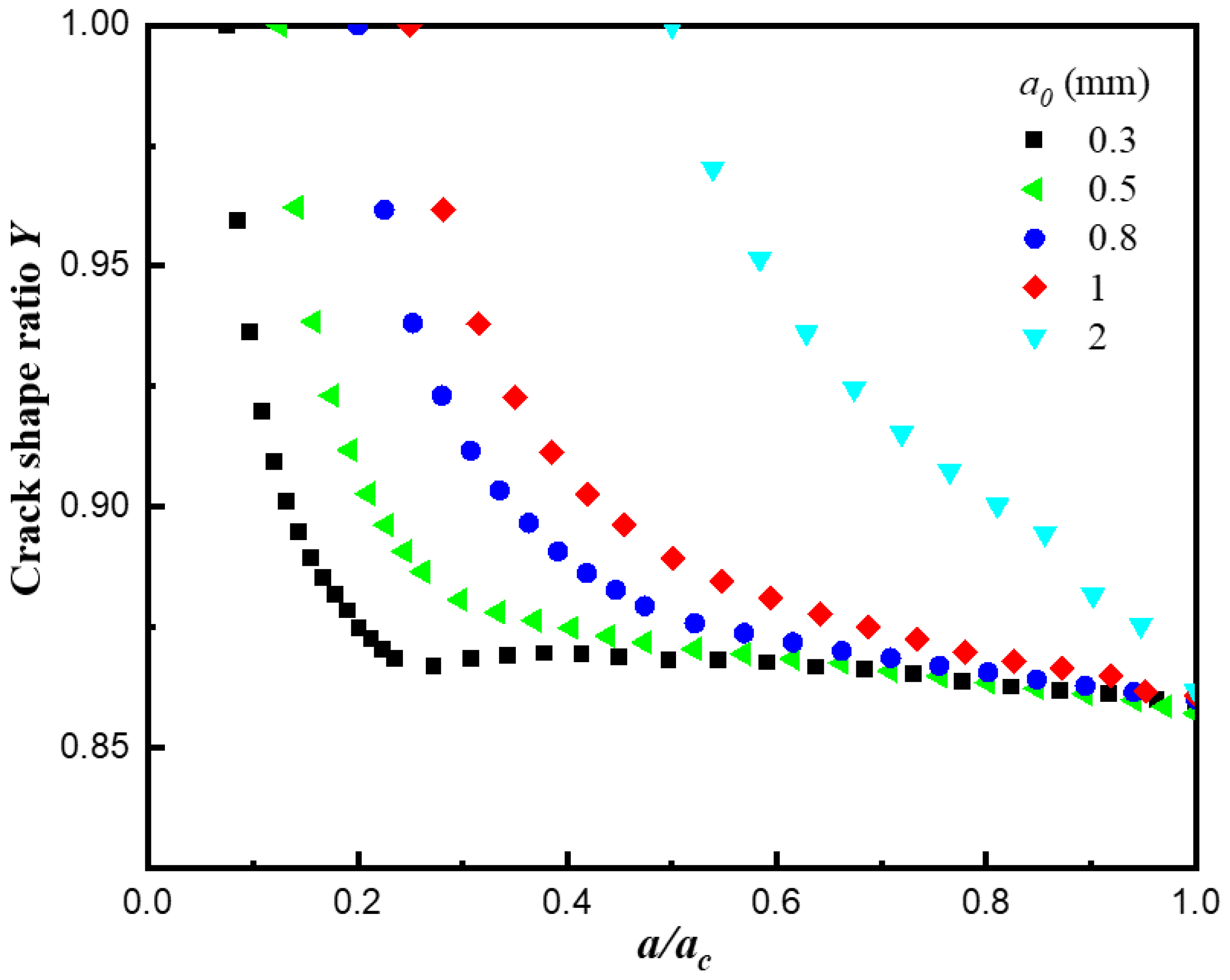
4.1. Initial Crack Shape Ratio’s Impact on Crack Propagation
4.2. Initial Crack Depth’s Impact on Crack Propagation
5. Conclusions
- (1)
- When the initial crack with the same depth is introduced, the stress intensity factor is in direct proportion to the size change of the crack length direction. When the initial crack shape ratio is constant, the greater the crack depth, and the greater the stress intensity factor.
- (2)
- In the process of continuous crack propagation of the conical-cylindrical shell, the shape of the crack surface changes continuously. Multi-group crack propagation simulations show that when a crack with different sizes extends to a critical size for the thickness of the conical-cylindrical shell, its shape ratio is stable at 0.85.
- (3)
- When the initial crack depth is the same, cracks with a smaller shape ratio have a longer crack surface, and the greater the influence on the fatigue life of the conical-cylindrical shell. When the shape ratio is the same, the larger the crack depth direction, and the lower the life of the conical-cylindrical shell.
- (4)
- In the process of initial cracks of different sizes growing to a critical size, the rate changes slowly at the beginning. When the critical size is approached gradually, the speed increases significantly.
Author Contributions
Funding
Institutional Review Board Statement
Informed Consent Statement
Data Availability Statement
Conflicts of Interest
References
- Huang, X.; Cui, W.; Shi, D. Calculation of Surface Crack Fatigue Life of High Strength Steel Welded Plate under Compressive Bending Combined Stress. J. Mech. Strength 2002, 3, 413–416. [Google Scholar] [CrossRef]
- Huang, X.; Cui, W.; Shi, D. Surface Crack Fatigue Life Calculation of Submarine Conical column Bonded Shell Toe. J. Ship Mech. 2002, 62–68. [Google Scholar]
- Van Do, T.; Hong Doan, D.; Chi Tho, N.; Dinh Duc, N. Thermal buckling analysis of cracked functionally graded plates. Int. J. Struct. Stab. Dyn. 2022, 22, 2250089. [Google Scholar] [CrossRef]
- Shi, D.; Geng, F.; Huang, X. Analysis of Fatigue Crack Formation Life of Submarine Structure. J. Harbin Eng. Univ. 2000, 3, 70–74. [Google Scholar]
- Doan, D.H.; Zenkour, A.M.; Van Thom, D. Finite element modeling of free vibration of cracked nanoplates with flexoelectric effects. Eur. Phys. J. Plus 2022, 137, 447. [Google Scholar] [CrossRef]
- Tho, N.C.; Cong, P.H.; Zenkour, A.M.; Doan, D.H.; Van Minh, P. Finite element modeling of the bending and vibration behavior of three-layer composite plates with a crack in the core layer. Compos. Struct. 2023, 305, 116529. [Google Scholar]
- Li, L.; Wang, Z.; Sun, Q. Pressure cone column combined with finite element shell fatigue life prediction. J. Mar. Eng. 2004, 37–40. [Google Scholar]
- Hou, W. Fatigue performance of convex cone cylinder composite shell of submarine structure. Ship Sci. Technol. 1990, 1–9. [Google Scholar]
- Zhang, D.; Huang, X.; Cui, W. A Prediction Method for Fatigue Crack Growth of Ship Structures under Complex Loads. J. Ship Mech. 2015, 19, 541–552. [Google Scholar]
- Li, L.; Wan, Z.; Pan, G. Different internal Pressure Influence on Welding Residual Stresses of Cone-cylinder Pressure Shell. Trans. China Weld. Inst. 2010, 400–410. [Google Scholar] [CrossRef]
- Germanischer Lloyd Group. Rules for Classification and Construction; Germanischer Lloyd: Hamburg, Germany, 2009. [Google Scholar]
- Institute of Pressure Vessel Defects Assessment Specification preparation group; Institute of Chemical Machinery and Automation Pressure vessel Defects Assessment Specification preparation group. Specification for defect evaluation of Pressure Vessels. Petrochem. Equip. 1985, 14, 46–59. [Google Scholar]
- Japan Welding Engineering Society. JWES 2805-1980 Methods of Assessment for Defects in Fusion-Welded Joints with Respect to Brittle Fracture; JWES: Tokyo, Japan, 1980. [Google Scholar]
- Ikushima, K.; Shibahara, M. Large-scale non-linear analysis of residual stresses in multi-pass pipe welds by idealized explicit FEM. Weld. World 2015, 59, 839–850. [Google Scholar] [CrossRef]
- Zhao, J. Research on Three-Parameter Three-Dimensional Fracture of Macroscopic Structure. Ph.D. Dissertation, Nanjing University of Aeronautics and Astronautics, Nanjing, China, 2008. [Google Scholar]
- Guo, W. Three-Dimensional Fracture and Fatigue Crack Propagation. Ph.D. Dissertation, Xi’an Northwestern Polytechnical University, Xi’an, China, 1991. [Google Scholar]
- She, C.; Zhao, J.; Yu, P. Three-parameter descriptions for the three-dimensional stress field near the crack front and a concept of equivalent thickness. Entia Sin. 2014, 1, 55–67. [Google Scholar]
- Chang, T.; Guo, W. A model for the through-thickness fatigue crack closure. Eng. Fract. Mech. 1999, 64, 59–65. [Google Scholar] [CrossRef]
- Paris, P.; Erdogan, F. A Critical Analysis of Crack Propagation Laws. J. Basic Eng. 1963, 85, 528–533. [Google Scholar] [CrossRef]
- Knowles, J.K.; Sternberg, E. On a class of conservation laws in linearized and finite elastostatics. Arch. Ration. Mech. Anal. 1972, 44, 187–211. [Google Scholar] [CrossRef]
- Budiansky, B.; Rice, J.R. Conservation laws and energy-release rates. J. Appl. Mech. 1973, 40, 201–203. [Google Scholar] [CrossRef]
- Freund, L.B. Stress intensity factor calculations based on a conservation integral. Int. J. Solids Struct. 1978, 14, 241–250. [Google Scholar] [CrossRef]
- Herrmann, A.G.; Herrmann, G. On energy-release rates for a plane crack. J. Appl. Mech. 1981, 48, 525–528. [Google Scholar] [CrossRef]
- Ai, S.; Yu, M.; Cheng, X.; Wang, J. Analysis and application of three-dimensional crack growth based on Franc3D. J. Mech. Strength 2018, 40, 251–254. [Google Scholar]
- Chen, J.; Huang, Y.; Liu, G. Analysis of finite element model for calculating stress intensity factor based on crack tip singular element. Shipbuild. China 2010, 51, 56–64. [Google Scholar]













| Name | Value |
|---|---|
| Big end diameter D1 (mm) | 2730 |
| Small end diameter D2 (mm) | 2300 |
| Half-cone angle (°) | 20 |
| Thickness t (mm) | 20 |
| Yield strength σs (MPa) | 645 |
| Elastic modulus E (MPa) | 2.1 × 105 |
| Poisson’s ratio v | 0.3 |
| Depth a (mm) | a/c | ||||
|---|---|---|---|---|---|
| 0.2 | 0.4 | 0.6 | 0.8 | 1 | |
| 0.3 | 241.96 | 220.75 | 194.79 | 176.75 | 175.09 |
| 0.5 | 316.78 | 282.33 | 248.96 | 230.01 | 229.29 |
| 0.8 | 399.79 | 356.89 | 313.54 | 291.82 | 289.10 |
| 1 | 448.61 | 396.75 | 349.95 | 324.00 | 320.53 |
| 2 | 637.73 | 560.06 | 497.77 | 462.11 | 461.21 |
| Header | Initial Crack Shape Ratio Y0 | ||||
|---|---|---|---|---|---|
| 0.2 | 0.4 | 0.6 | 0.8 | 1 | |
| 2c (mm) | 9.67 | 9.49 | 9.37 | 9.32 | 9.33 |
| Y | 0.827 | 0.843 | 0.854 | 0.858 | 0.857 |
| N (cycle) | 187,018 | 272,835 | 344,854 | 390,981 | 429,121 |
| Initial Crack Depth a0 (mm) | |||||
|---|---|---|---|---|---|
| 0.3 | 0.5 | 0.8 | 1 | 2 | |
| 2c (mm) | 9.31 | 9.29 | 9.30 | 9.33 | 9.34 |
| Y | 0.859 | 0.861 | 0.860 | 0.857 | 0.856 |
| N (cycle) | 898,114 | 685,470 | 507,892 | 429,121 | 207,893 |
Disclaimer/Publisher’s Note: The statements, opinions and data contained in all publications are solely those of the individual author(s) and contributor(s) and not of MDPI and/or the editor(s). MDPI and/or the editor(s) disclaim responsibility for any injury to people or property resulting from any ideas, methods, instructions or products referred to in the content. |
© 2023 by the authors. Licensee MDPI, Basel, Switzerland. This article is an open access article distributed under the terms and conditions of the Creative Commons Attribution (CC BY) license (https://creativecommons.org/licenses/by/4.0/).
Share and Cite
Zhu, Y.; Yang, J.; Pan, H. Three-Dimension Crack Propagation Behavior of Conical-Cylindrical Shell. Metals 2023, 13, 698. https://doi.org/10.3390/met13040698
Zhu Y, Yang J, Pan H. Three-Dimension Crack Propagation Behavior of Conical-Cylindrical Shell. Metals. 2023; 13(4):698. https://doi.org/10.3390/met13040698
Chicago/Turabian StyleZhu, Yongmei, Jiahao Yang, and Hongzhang Pan. 2023. "Three-Dimension Crack Propagation Behavior of Conical-Cylindrical Shell" Metals 13, no. 4: 698. https://doi.org/10.3390/met13040698
APA StyleZhu, Y., Yang, J., & Pan, H. (2023). Three-Dimension Crack Propagation Behavior of Conical-Cylindrical Shell. Metals, 13(4), 698. https://doi.org/10.3390/met13040698

