An Upper Bound Solution for Axisymmetric Extrusion and Drawing Considering a Generalized Yield Criterion
Abstract
1. Introduction
2. Statement of the Problem
3. Kinematically Admissible Velocity Field
4. Estimation of Extrusion and Drawing Forces
5. Numerical Examples
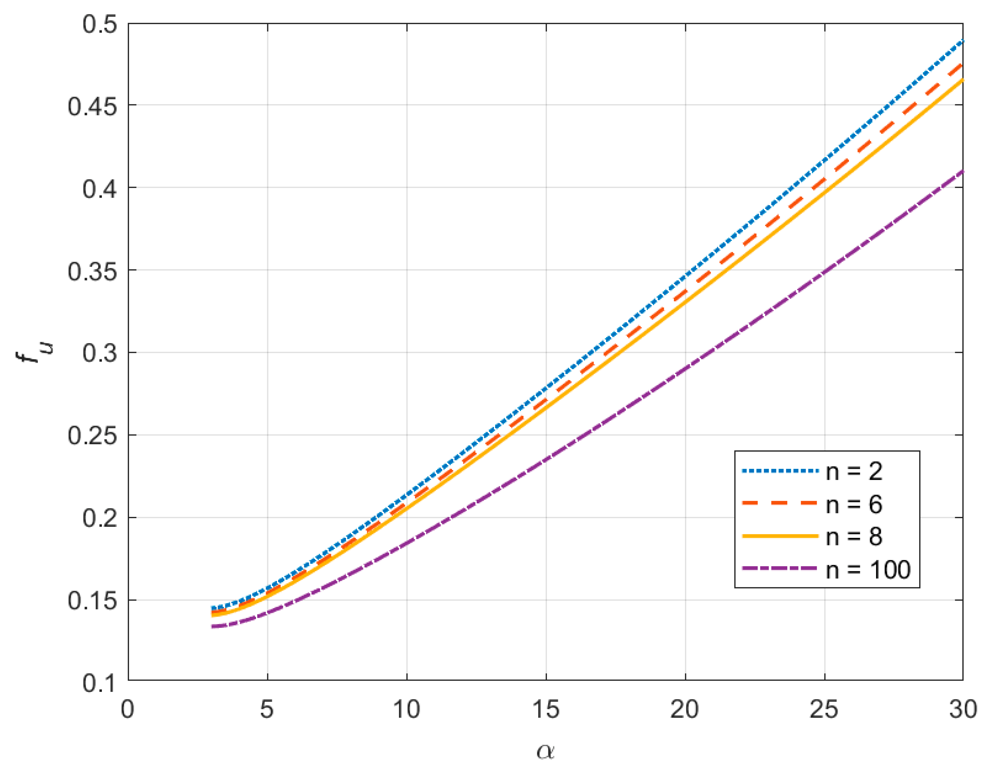
5.1. Drawing
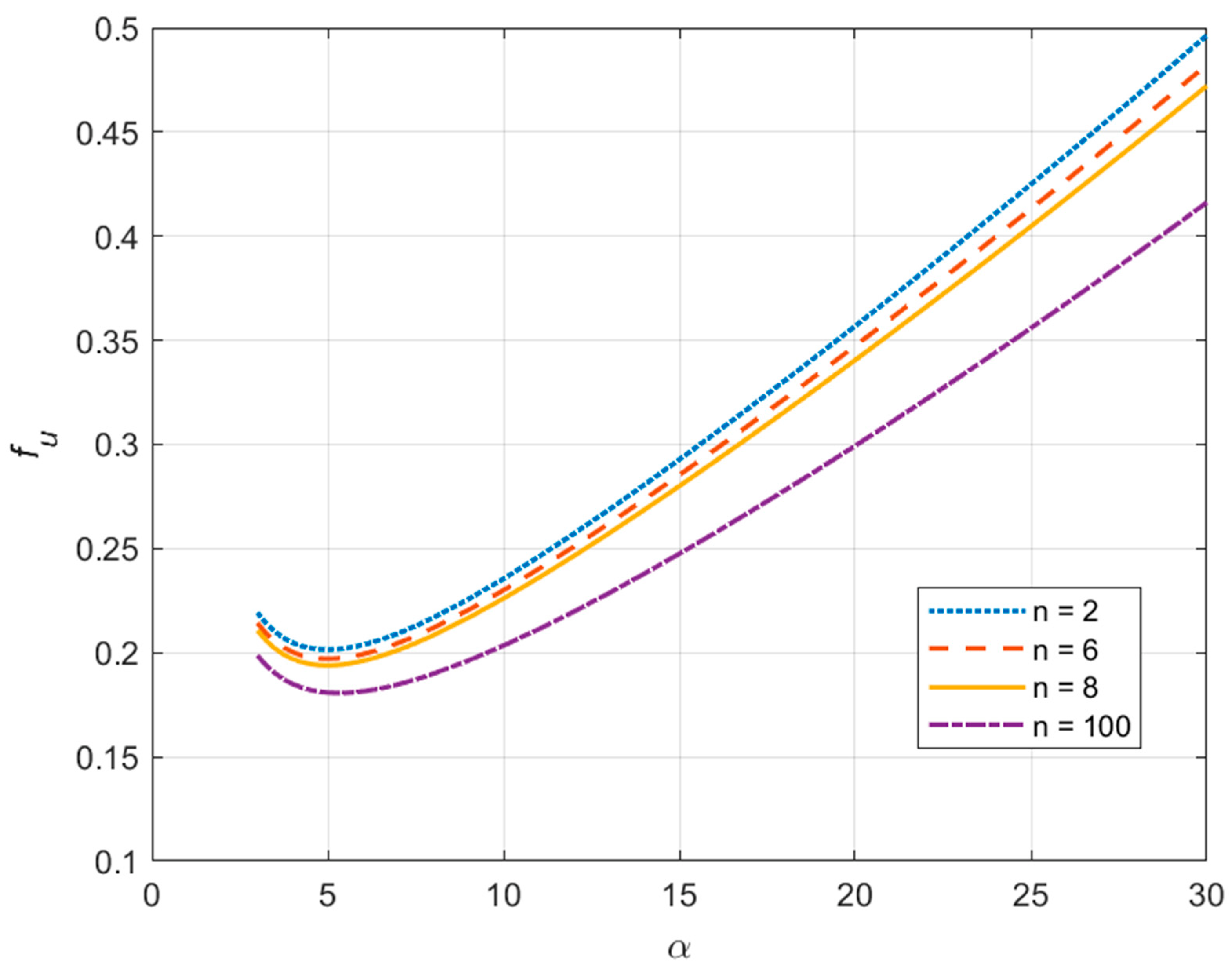
5.2. Extrusion
6. Discussion
7. Conclusions
Author Contributions
Funding
Institutional Review Board Statement
Informed Consent Statement
Data Availability Statement
Acknowledgments
Conflicts of Interest
References
- Hill, R. New Horizons in the Mechanics of Solids. J. Mech. Phys. Solids 1956, 5, 66–74. [Google Scholar] [CrossRef]
- Avitzur, B. Analysis of Wire Drawing and Extrusion Through Conical Dies of Small Cone Angle. J. Eng. Ind. 1963, 85, 89–95. [Google Scholar] [CrossRef]
- Avitzur, B. Analysis of Wire Drawing and Extrusion Through Conical Dies of Large Cone Angle. J. Eng. Ind. 1964, 86, 305–314. [Google Scholar] [CrossRef]
- Osakada, K.; Niimi, Y. A Study on Radial Flow Field for Extrusion through Conical Dies. Int. J. Mech. Sci. 1975, 17, 241–254. [Google Scholar] [CrossRef]
- Tirosh, J. On the Dead-Zone Formation in Plastic Axially-Symmetric Converging Flow. J. Mech. Phys. Solids 1971, 19, 39–47. [Google Scholar] [CrossRef]
- Alexandrov, S.; Mishuris, G.; Miszuris, W.; Sliwa, R.E. On the Dead-Zone Formation and Limit Analysis in Axially Symmetric Extrusion. Int. J. Mech. Sci. 2001, 43, 367–379. [Google Scholar] [CrossRef]
- Alexandrov, S.; Richmond, O. Singular Plastic Flow Fields near Surfaces of Maximum Friction Stress. Int. J. Non Linear Mech. 2001, 36, 1–11. [Google Scholar] [CrossRef]
- Lambert, E.R.; Kobayashi, S. A Theory on the Mechanics of Axisymmetric Extrusion through Conical Dies. J. Mech. Eng. Sci. 1968, 10, 367–380. [Google Scholar] [CrossRef]
- Yang, D.Y.; Han, C.H.; Lee, B.C. The Use of Generalised Deformation Boundaries for the Analysis of Axisymmetric Extrusion through Curved Dies. Int. J. Mech. Sci. 1985, 27, 653–663. [Google Scholar] [CrossRef]
- Yang, D.Y.; Han, C.H. A New Formulation of Generalized Velocity Field for Axisymmetric Forward Extrusion Through Arbitrarily Curved Dies. J. Eng. Ind. 1987, 109, 161–168. [Google Scholar] [CrossRef]
- Gordon, W.A.; Van Tyne, C.J.; Sriram, S. Extrusion Through Spherical Dies—An Upper Bound Analysis. J. Manuf. Sci. Eng. 2002, 124, 92–97. [Google Scholar] [CrossRef]
- Chang, D.-F.; Wang, J. Optimized Upper Bound Analysis of Axisymmetric Extrusion Using Spherical Velocity Field. J. Manuf. Sci. Eng. 2006, 128, 4–10. [Google Scholar] [CrossRef]
- Zhang, S.H.; Chen, X.D.; Zhou, J.; Zhao, D.W. Upper Bound Analysis of Wire Drawing through a Twin Parabolic Die. Meccanica 2016, 51, 2099–2110. [Google Scholar] [CrossRef]
- Hosford, W.F. A Generalized Isotropic Yield Criterion. J. Appl. Mech. 1972, 39, 607–609. [Google Scholar] [CrossRef]
- Billington, E.W. Generalized Isotropic Yield Criterion for Incompressible Materials. Acta Mech. 1988, 72, 1–20. [Google Scholar] [CrossRef]
- Haddi, A.; Imad, A.; Vega, G. Analysis of temperature and speed effects on the drawing stress for improving the wire drawing process. Mater. Des. 2011, 32, 4310–4315. [Google Scholar] [CrossRef]
- Massé, T.; Fourment, L.; Montmitonnet, P.; Bobadilla, C.; Foissey, S. The optimal die semi-angle concept in wire drawing, examined using automatic optimization techniques. Int. J. Mater. Form. 2013, 6, 377–389. [Google Scholar] [CrossRef]
- Dobrov, I.V. On kinematics-of stock deformation process during drawing. Procedia Eng. 2017, 206, 760–770. [Google Scholar] [CrossRef]
- Sas-Boca, I.M.; Tintelecan, M.; Pop, M.; Iluţiu-Varvara, D.-A.; Mihu, A.M. The Wire Drawing Process Simulation and the Optimization of Geometry Dies. Procedia Eng. 2017, 181, 187–192. [Google Scholar] [CrossRef]
- Martinez, G.A.S.; Santos, E.F.D.; Kabayama, L.K.; Guidi, E.S.; Silva, F.D.A. Influences of Different Die Bearing Geometries on the Wire-Drawing Process. Metals 2019, 9, 1089. [Google Scholar] [CrossRef]
- Martinez, G.A.S.; Qian, W.-L.; Kabayama, L.K.; Prisco, U. Effect of Process Parameters in Copper-Wire Drawing. Metals 2020, 10, 105. [Google Scholar] [CrossRef]
- Strzępek, P.; Mamala, A.; Zasadzińska, M.; Kiesiewicz, G.; Knych, T.A. Shape analysis of the elastic deformation region throughout the axi-symmetric wire drawing process of ETP grade copper. Materials 2021, 14, 4713. [Google Scholar] [CrossRef] [PubMed]
- Strzępek, P.; Mamala, A.; Zasadzińska, M.; Nowak, A. Extensive analysis of the ETP grade copper wire drawing force parameters in correlation with the length of the elastic deformation region. Metalurgija 2022, 61, 634–636. [Google Scholar]
- Prager, W.; Hodge, P.G. Theory of Perfectly Plastic Solids; J. Wiley & Sons, Inc.: New York, NY, USA, 1951. [Google Scholar]
- Alexandrov, S.; Hwang, Y.-M.; Tsui, H.S.R. Determining the Drawing Force in a Wire Drawing Process Considering an Arbitrary Hardening Law. Processes 2022, 10, 1336. [Google Scholar] [CrossRef]
- Alexandrov, S.; Barlat, F. Modeling Axisymmetric Flow through a Converging Channel with an Arbitrary Yield Condition. Acta Mech. 1999, 133, 57–68. [Google Scholar] [CrossRef]







Disclaimer/Publisher’s Note: The statements, opinions and data contained in all publications are solely those of the individual author(s) and contributor(s) and not of MDPI and/or the editor(s). MDPI and/or the editor(s) disclaim responsibility for any injury to people or property resulting from any ideas, methods, instructions or products referred to in the content. |
© 2023 by the authors. Licensee MDPI, Basel, Switzerland. This article is an open access article distributed under the terms and conditions of the Creative Commons Attribution (CC BY) license (https://creativecommons.org/licenses/by/4.0/).
Share and Cite
Alexandrov, S.; Strashnov, S.; Li, Y. An Upper Bound Solution for Axisymmetric Extrusion and Drawing Considering a Generalized Yield Criterion. Metals 2023, 13, 602. https://doi.org/10.3390/met13030602
Alexandrov S, Strashnov S, Li Y. An Upper Bound Solution for Axisymmetric Extrusion and Drawing Considering a Generalized Yield Criterion. Metals. 2023; 13(3):602. https://doi.org/10.3390/met13030602
Chicago/Turabian StyleAlexandrov, Sergei, Stanislav Strashnov, and Yong Li. 2023. "An Upper Bound Solution for Axisymmetric Extrusion and Drawing Considering a Generalized Yield Criterion" Metals 13, no. 3: 602. https://doi.org/10.3390/met13030602
APA StyleAlexandrov, S., Strashnov, S., & Li, Y. (2023). An Upper Bound Solution for Axisymmetric Extrusion and Drawing Considering a Generalized Yield Criterion. Metals, 13(3), 602. https://doi.org/10.3390/met13030602

