Fatigue Properties and Residual Stresses of Laser-Welded Heat-Resistant Pressure Vessel Steel, Verification on Vessel Model
Abstract
1. Introduction
2. Materials and Methods
2.1. Metallography
2.2. Mechanical Tests
2.3. Microstructure
2.4. Residual Stresses Analyses
2.5. High-Cycle Fatigue Testing
3. Results and Discussions
3.1. Metallography
3.2. Mechanical Tests
3.2.1. Tensile Test
3.2.2. Hardness
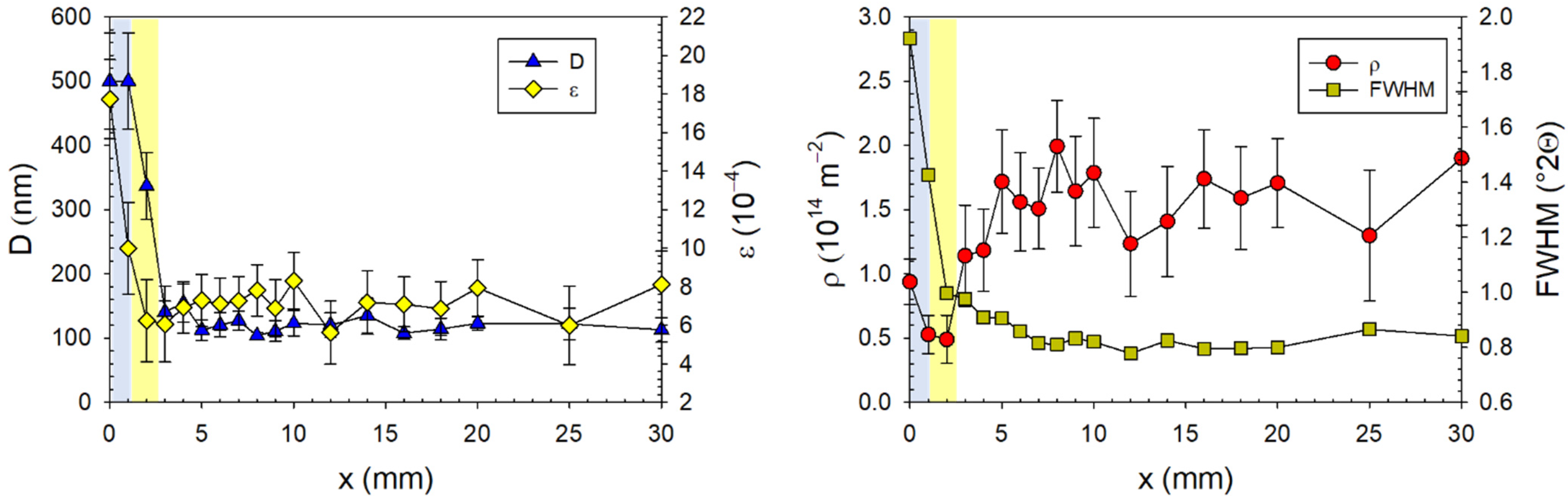
3.3. Microstructure Parameters
- WM (up to approx. 1 mm from the weld axis): The values of ε and D were the highest, approx. 20 × 10−4 and 500 nm, respectively. Therefore, this zone had a coarse-grained microstructure and each grain was distorted due to the quenching of the weld. The diffraction maximum of ferrite and bainite is so close that they cannot be separated from each other. However, their presence, which was confirmed by metallography, causes a higher FWHM value. Therefore, due to the high microstrain values, different phases, and the higher hardness in the WM, the FWHM parameter and the dislocation density (compared with immediate surroundings) had the highest value in the weld axis.
- HAZ (up to 2–3 mm from the weld axis): A steep decrease in the values of D and ε values were observed. Parallel with D decreasing, the dislocation density increased resulting from finer-grained microstructure. As was mentioned in the Section 3.1., the CGHAZ was narrow and the closest to the WM. Next to the CGHAZ is FGHAZ, followed by ICHAZ. These zones were not observed in Figure 5, because the resolution of the surface measurements was approx. 0.5 mm, resulting from the divergence of the X-ray beam. According to the metallography, the width of the HAZ from the fusion zone (FZ) was only 0.8 mm.
- BM with higher ρ (up to approx. 5 mm from the weld axis): The values of D reached the minimum value and ε with dislocation density ρ gently increasing. In this region, there was a fine-grained microstructure but still with some grain distortion in comparison to BM far from the weld. The temperature was not high enough to enlarge the grains; on the other hand, the influence of heat and the cooling rate were sufficient to retain sufficient energy for grain distortion, but not for the change in the microstructure. This zone overlapped with the so-called stress-affected zone.
- BM (above 5 mm from the weld axis): All microstructure parameters reached constant values. The material was no longer influenced by welding.
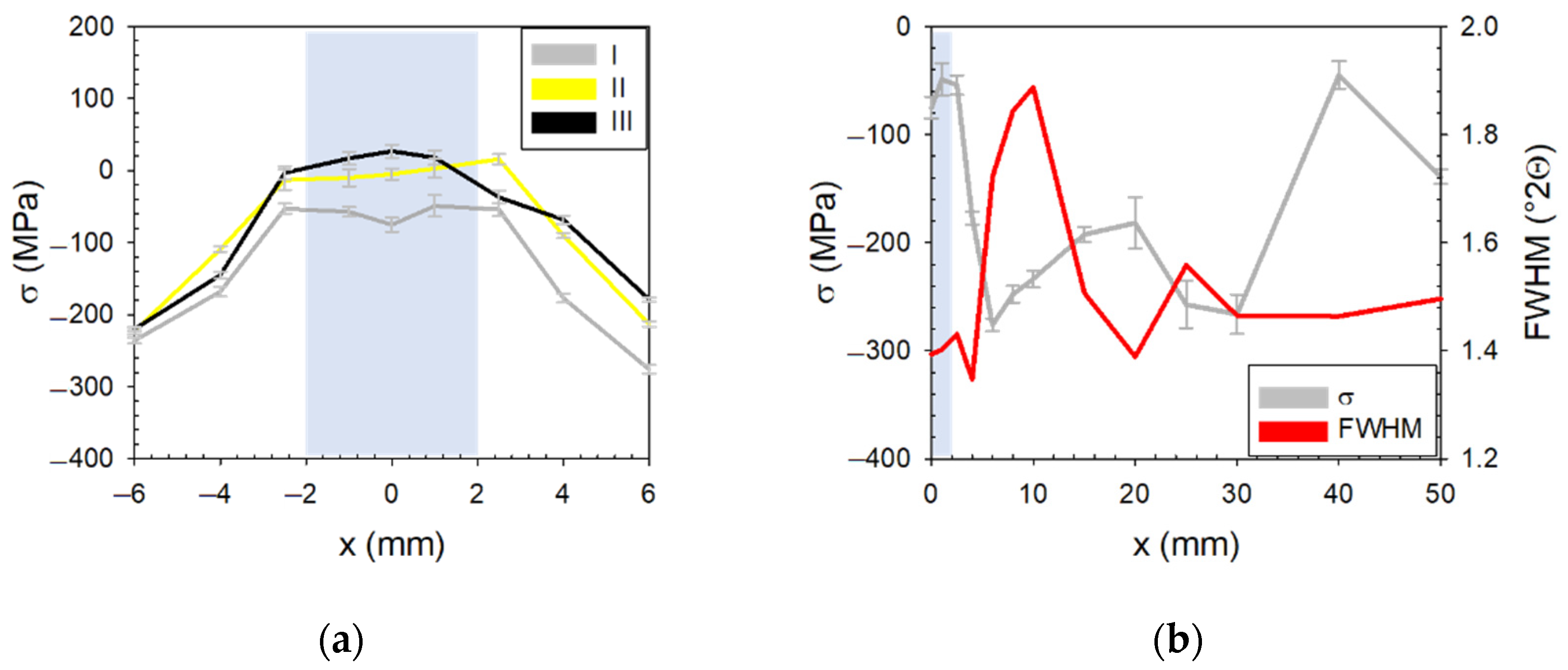
3.4. Residual Stresses
3.5. High-Cycle Fatigue Test
3.6. Vessel Model
3.6.1. Residual Stresses
3.6.2. High-Cycle Fatigue Test
4. Conclusions
- Through metallographic analysis and XRD, three fundamental areas of laser welds were distinguished: WM, HAZ, and BM. On the boundaries, where the investigated parameters change significantly, there are microstructural notches, critical areas for the potential surface crack initialization. In the flawless weld, the main microstructural notch was determined in the FZ.
- Tensile testing and fatigue resistance on standardized samples contributed to the improvement in laser welding parameters. For samples without significant weld imperfections, the fatigue strength was estimated at 130 MPa, which corresponded to 29% of the tensile strength. Both the tensile and fatigue samples with major weld imperfections failed in WM.
- Based on these results, the model pressure vessel with a diameter of 270 mm and a maximum pressure of 16 bar theoretically reaches the maximum applied stress of 43 MPa (and, in this case, total stress too) in the weld, still safely well below the observed fatigue limit.
- The experience gained from the tests and analyses was applied to the welding of a model pressure vessel, which was fatigued and statically loaded in the conditions corresponding to operation. Based on the strain measurements, it was found that the highest stress values occurred in the central line of the we ld around 130 MPa. From the Wöhler curve of the welded plate, it was found that this is the fatigue strength. However, after including the RS, the total stresses in the WM and FZ were reduced; furthermore, no propagation was observed on the strain gauges during fatigue testing and 1 million cycles were achieved.
- Subsequent static testing to destruction revealed excellent static strength after a severe fatigue test. The failure occurred at 134 bar, which corresponded to 82% of the tensile strength obtained in the standardized samples made of welded plates.
Author Contributions
Funding
Institutional Review Board Statement
Informed Consent Statement
Data Availability Statement
Conflicts of Interest
References
- Oyyaravelu, R.; Kuppan, P.; Arivazhagan, N. Metallurgical and mechanical properties of laser welded high strength low alloy steel. J. Adv. Res. 2016, 7, 463–472. [Google Scholar] [CrossRef] [PubMed]
- Karayama, S. Introduction: Fundamentals of Laser Welding. In Handbook of Laser Welding Technologies; Woodhead Publishing: Sawston, UK, 2013. [Google Scholar]
- Adamiec, J.; Więcek, M.; Gawrysiuk, W. Fibre laser usage in boiler elements’ production for the power industry. Weld. Int. 2010, 24, 853–860. [Google Scholar] [CrossRef]
- Grünenwald, S.; Seefeld, T.; Vollertsen, F.; Kocak, M. Solutions for joining pipe steels using laser-GMA-hybrid welding processes. Phys. Procedia 2010, 5, 77–87. [Google Scholar] [CrossRef][Green Version]
- Anawa, E.; Olabi, A.-G. Control of welding residual stress for dissimilar laser welded materials. J. Mater. Process. Technol. 2008, 204, 22–33. [Google Scholar] [CrossRef]
- Zhang, L.; Lu, J.; Luo, K.; Feng, A.; Dai, F.; Zhong, J.; Luo, M.; Zhang, Y. Residual stress, micro-hardness and tensile properties of ANSI 304 stainless steel thick sheet by fiber laser welding. Mater. Sci. Eng. A 2013, 561, 136–144. [Google Scholar] [CrossRef]
- Čapek, J.; Trojan, K.; Kec, J.; Černý, I.; Ganev, N.; Němeček, S. On the Weldability of Thick P355NL1 Pressure Vessel Steel Plates Using Laser Welding. Materials 2021, 14, 131. [Google Scholar] [CrossRef] [PubMed]
- Čapek, J.; Ganev, N.; Trojan, K.; Němeček, S.; Kolařík, K. Investigation of the real structure using X-ray diffraction as a toll for laser welding optimization. In Proceedings of the Advances in X-ray Analysis: The Proceeding of Denver X-ray Conference 2019, Lombard, IL, USA, 5–9 August 2019; Volume 63. [Google Scholar]
- Pala, Z.; Kolařík, K.; Ganev, N.; Čapek, J. Study of residual stress surface distribution on laser welded steel sheets. Appl. Mech. Mater. 2014, 486, 3–8. [Google Scholar] [CrossRef]
- Nitschke-Pagel, T.; Digler, K. Sources and consequences of residual stresses due to welding. Mater. Sci. Forum 2014, 783, 2777–2785. [Google Scholar] [CrossRef]
- Radaj, D. Heat Effects of Welding: Temperature Field, Residual Stress, Distortion; Springer: Berlin/Heidelberg, Germany, 2012. [Google Scholar]
- Černý, I.; Kec, J. Evaluation of Fatigue Resistance of Laser Welded High Pressure Vessels Steel P355 Considering Fracture Mechanics Approach. Key Eng. Mater. 2019, 827, 428–433. [Google Scholar] [CrossRef]
- Čapek, J.; Černý, I.; Trojan, K.; Ganev, N.; Kec, J.; Němeček, S. Investigation of residual stresses in high cycle loaded laser steel welds. In Proceedings of the Experimental Stress Analysis 2019, Luhačovice, Czech Republic, 3–6 June 2019. [Google Scholar]
- Rai, S.; Choudhary, B.K.; Jayakumar, T.; Rao, K.B.S.; Raj, B. Characterization of low cycle fatigue damage in 9Cr–1Mo ferritic steel using X-ray diffraction technique. Int. J. Press. Vessels Pip. 1999, 76, 275–281. [Google Scholar] [CrossRef]
- EN 10028-2:2017; Flat Products Made of Steels for Pressure Purposes—Part 2: Non-Alloy and Alloy Steels with Specified Elevated Temperature Properties. European Committee for Standardization: Brussels, Belgium, 2017; p. 30.
- Leoni, M. Whole powder pattern modelling: Microstructure determination from powder diffraction data. In International Tables for Crystallography, Volume H, Powder Diffraction; Gilmore, C.J., Kaduk, J.A., Schenk, H., Eds.; Wiley: Hoboken, NJ, USA, 2019; pp. 288–303. [Google Scholar]
- Matěj, Z.; Kužel, R. MStruct—Software/Library for MicroStructure Analysis by Powder Diffraction. Available online: http://www.xray.cz/mstruct/ (accessed on 15 June 2022).
- Williamson, G.K.; Smallman, R.E., III. Dislocation densities in some annealed and cold-worked metals from measurements on the X-ray debye-scherrer spectrum. Philos. Mag. 1956, 1, 34–46. [Google Scholar] [CrossRef]
- Von Dreele, R.B. Powder diffration peak profiles. In International Tables for Crystallography, Volume H, Powder Diffraction; Gilmore, C.J., Kaduk, J.A., Schenk, H., Eds.; Wiley: Hoboken, NJ, USA, 2019; pp. 263–269. [Google Scholar]
- Murray, C.E.; Noyan, I.C. Applied and residual stress determination using X-ray diffraction. In Practical Residual Stress Measurement Methods; Schajer, G.S., Ed.; John Wiley & Sons: Chichester, UK, 2013; pp. 139–161. [Google Scholar]
- Luo, C.; Zhao, Y.; Cao, Y.; Zhao, L.; Shan, J. Effect of laser heat treatment on bending property of laser welded joints of low-alloy ultra-high strength steel. J. Laser Appl. 2019, 31, 227–240. [Google Scholar] [CrossRef]
- Černý, I.; Čapek, J.; Kec, J.; Trojan, K.; Ganev, N.; Němeček, S. Fatigue of Laser-Welded Structures: Role of Residual Stress. In Reference Module in Materials Science and Materials Engineering; Aliabadi, F., Soboyejo, W., Eds.; Elsevier: Amsterdam, The Netherlands, 2022; ISBN 978-0-12-803581-8. [Google Scholar] [CrossRef]














| Element | Fe | C | Mn | Si | P | S | N | Al | Cu, Cr, Ni | V | Nb, Ti | Mo |
|---|---|---|---|---|---|---|---|---|---|---|---|---|
| Weight fraction (wt.%) | balanced | max. 0.2 | 0.8–1.4 | max. 0.4 | max. 0.025 | max. 0.01 | max. 0.012 | min. 0.02 | max. 0.3 | max. 0.02 | max. 0.03 | max. 0.08 |
| P (W) | v (mm∙s−1) | Mode | λ (nm) | Beam Quality (mm∙rad) | Beam Spot (mm) | Focusing Distance (mm) | Shielding Gas; Flow (L∙min−1) |
|---|---|---|---|---|---|---|---|
| 3000 | 5.5 | Continuous | 900–1080 | 60 | 0.6 | 150 | Ar; 15 |
Publisher’s Note: MDPI stays neutral with regard to jurisdictional claims in published maps and institutional affiliations. |
© 2022 by the authors. Licensee MDPI, Basel, Switzerland. This article is an open access article distributed under the terms and conditions of the Creative Commons Attribution (CC BY) license (https://creativecommons.org/licenses/by/4.0/).
Share and Cite
Čapek, J.; Kec, J.; Trojan, K.; Černý, I.; Ganev, N.; Kolařík, K.; Němeček, S. Fatigue Properties and Residual Stresses of Laser-Welded Heat-Resistant Pressure Vessel Steel, Verification on Vessel Model. Metals 2022, 12, 1517. https://doi.org/10.3390/met12091517
Čapek J, Kec J, Trojan K, Černý I, Ganev N, Kolařík K, Němeček S. Fatigue Properties and Residual Stresses of Laser-Welded Heat-Resistant Pressure Vessel Steel, Verification on Vessel Model. Metals. 2022; 12(9):1517. https://doi.org/10.3390/met12091517
Chicago/Turabian StyleČapek, Jiří, Jan Kec, Karel Trojan, Ivo Černý, Nikolaj Ganev, Kamil Kolařík, and Stanislav Němeček. 2022. "Fatigue Properties and Residual Stresses of Laser-Welded Heat-Resistant Pressure Vessel Steel, Verification on Vessel Model" Metals 12, no. 9: 1517. https://doi.org/10.3390/met12091517
APA StyleČapek, J., Kec, J., Trojan, K., Černý, I., Ganev, N., Kolařík, K., & Němeček, S. (2022). Fatigue Properties and Residual Stresses of Laser-Welded Heat-Resistant Pressure Vessel Steel, Verification on Vessel Model. Metals, 12(9), 1517. https://doi.org/10.3390/met12091517

