Strength Prediction of Spherical Electronic Cabins with Pitting Corrosion
Abstract
:1. Introduction
2. Finite Element Model of Spherical Electronic Cabins with Local Random Pitting Defects
2.1. Structure Dimensions and Corrosion Parameters of the Spherical Electronic Cabin
2.2. Numerical Model of Spherical Electronic Cabins with Local Random Pitting Defects
2.3. Nonlinear Buckling Analysis
3. Influence of Corrosion Defect Parameters
3.1. Influence of Pitting Distribution Shape on the Buckling Behavior of Spherical Cabins
- (1)
- 60° and = 10°;
- (2)
- 40° and = 15°;
- (3)
- 30° and = 20°;
- (4)
- 24.5° and = 24.5°;
3.2. Influence of Pitting Morphology on the Buckling Behavior of Spherical Electronic Cabins
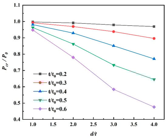
3.3. Influence of Pitting Dimensions on the Buckling Behavior of Spherical Cabins
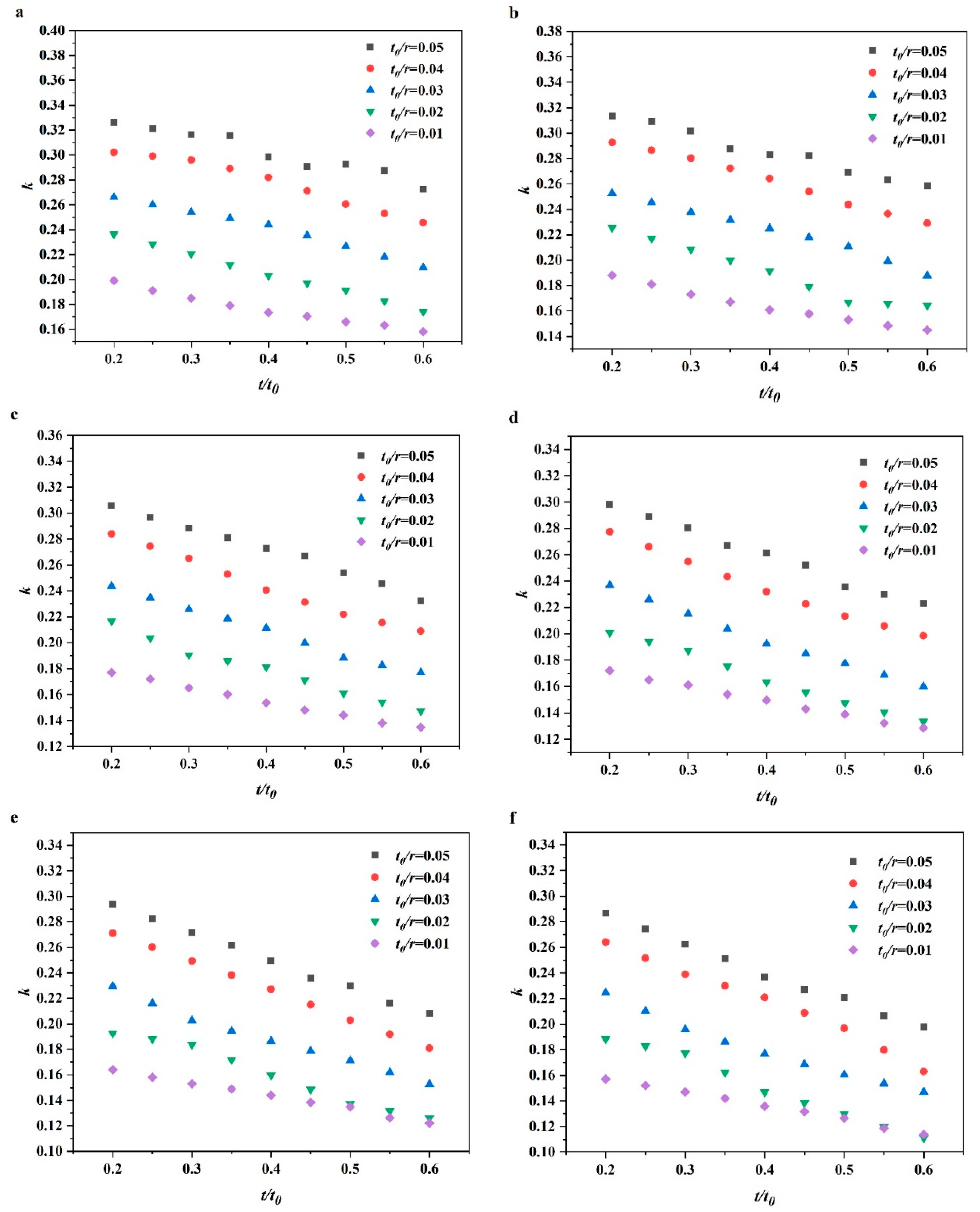
4. Prediction of Ultimate Load of a Spherical Cabin with Local Random Pitting Defects
5. Experimental Verification
6. Conclusions
- (1)
- The pitting diameter and depth have great influence on the ultimate buckling load of spherical cabin with pitting corrosion. When the pitting distribution tends to square, the residual ultimate load of spherical cabin decreases. In addition, the pitting morphology has no significant effect on the residual ultimate load of spherical cabin with pitting corrosion.
- (2)
- The relative area loss Aloss, the relative depth of pitting corrosion t/t0 and the ratio of thickness to diameter t0/r are used as the parameters of buckling load and pitting damage for the spherical cabin with pitting corrosion, which are more reasonable than the corrosion volume.
- (3)
- The nonlinear buckling loads of spherical cabins with pitting corrosion are calculated under different section damage rates, pitting relative depths and thickness-to-diameter ratios. Aloss is 10–60%, t/t0 is 0.2–0.6, and t0/r is 0.01–0.05. Combined with the Zoelly formula, an analytical formula is derived.
- (4)
- The buckling load obtained by the analytical formula is close to the test result, and the difference is less than 10%. This formula can be used to predict the nonlinear buckling load of spherical cabins with pitting corrosion.
Author Contributions
Funding
Institutional Review Board Statement
Informed Consent Statement
Data Availability Statement
Conflicts of Interest
References
- Dai, C.H.; Lao, X.S.; Liu, Y.; Wei, W. Experimental Study on Water-Lubricated Bearing Material in Deep Sea Space Station. Mater. Sci. Forum 2019, 947, 155–159. [Google Scholar] [CrossRef]
- Liang, J.; Feng, J.-C.; Zhang, S.; Cai, Y.; Yang, Z.; Ni, T.; Yang, H.-Y. Role of deep-sea equipment in promoting the forefront of studies on life in extreme environments. iScience 2021, 24, 103299. [Google Scholar] [CrossRef] [PubMed]
- Delaney, J.; Heath, G.; Chave, A.; Kirkham, H.; Howe, B.; Wilcock, W.; Beauchamp, P.; Maffei, A. NEPTUNE: Real-Time, Long-Term Ocean and Earth Studies at the Scale of a Tectonic Plate. In Proceedings of the MTS/IEEE Oceans 2001. An Ocean Odyssey. Conference Proceedings (IEEE Cat. No.01CH37295), Honolulu, HI, USA, 5–8 November 2001; Volume 3, pp. 1366–1373. [Google Scholar] [CrossRef] [Green Version]
- Yang, C.; Xie, Q.C.; Ma, Q. A review of study on seafloor seismic observation network. Seismol. Geomagn. Obs. Res. 2017, 38, 161–167. [Google Scholar]
- Lellouche, J.-M.; Greiner, E.; Le Galloudec, O.; Garric, G.; Regnier, C.; Drevillon, M.; Benkiran, M.; Testut, C.-E.; Bourdalle-Badie, R.; Gasparin, F.; et al. Recent updates to the Copernicus Marine Service global ocean monitoring and forecasting real-time 1∕12° high-resolution system. Ocean Sci. 2018, 14, 1093–1126. [Google Scholar] [CrossRef] [Green Version]
- Li, D.; Li, Y.; Ding, Z.; Wang, X.; Liu, B. Development and application of a temperature gradient detector for manned underwater robot. Int. J. Adv. Robot. Syst. 2020, 17, 1729881420916963. [Google Scholar] [CrossRef]
- Xiang, Y.J.; Bian, R.G. Calculation method for stability of pressure hull with local corrosion. J. Ship Mech. 2017, 21, 61–68. [Google Scholar]
- Melchers, R.E. Pitting Corrosion of Mild Steel in Marine Immersion Environment—Part 1: Maximum Pit Depth. Corrosion 2004, 60, 824–836. [Google Scholar] [CrossRef]
- Melchers, R.E. Pitting Corrosion of Mild Steel in Marine Immersion Environment—Part 2: Variability of Maximum Pit Depth. Corrosion 2004, 60, 937–944. [Google Scholar] [CrossRef]
- Wang, Y.W.; Huang, X.P.; Cui, W.C. Pitting corrosion model of mild and low-alloy steel in marine environment-Part 1: Maximum pit depth. J. Ship Mech. 2007, 11, 577–586. [Google Scholar]
- Wang, Y.W.; Wu, X.Y.; Zhang, Y.H. Pitting corrosion model of mild and low-alloy steel in marine environment—Part 2: The shape of corrosion pits. J. Ship Mech. 2007, 11, 735–743. [Google Scholar]
- Ye, J.H.; Shen, H.Q.; Xue, S.D. Simplified analytical method of mechanical property degradation for steel members with pitting corrosion. J. Harbin Inst. Technol. 2016, 48, 70–75. [Google Scholar]
- Flaks, V.Y. Correlation of pitting corrosion of aluminum plates and reduction of load-bearing capacity under tension. Mater. Sci. 1978, 14, 75–78. [Google Scholar] [CrossRef]
- Paik, J.K.; Lee, J.M.; Ko, M.J. Ultimate shear strength of plate elements with pit corrosion wastage. Thin-Walled Struct. 2004, 42, 1161–1176. [Google Scholar] [CrossRef]
- Smith, M.J.; MacKay, J.R. Overall Elasto-Plastic Collapse of Ring Stiffened Cylinders with Corrosion Damage. Int. J. Marit. Eng. 2005, 147, A1–A54. [Google Scholar]
- Jiang, L.; Limited, C.M.; Wallace, J.; Norwood, M.; MacKay, J.R.; Smith, M.J.; Bosman, T.N.; Atlantic, C.D.R.C. Finite Element Modeling of Collapse Experiments of Ring Stiffened Cylinders with Simulated Corrosion Damage. In Proceedings of the Warship 2008: Naval Submarines, Glasgow, UK, 10–11 June 2008. [Google Scholar] [CrossRef]
- MacKay, J.R. Experimental Investigation of the Strength of Damaged Pressure Hulls-Phase 1; Defence Research and Development Canada-Atlantic: Ottawa, ON, Canada, 2007; p. 112. [Google Scholar]
- Xu, Q.; Wan, Z.Q. Finite Element method of pitting corrosive shell. J. Ship Mech. 2010, 14, 84–93. [Google Scholar]
- Ma, X.L.; Wu, F.; Zhang, E. Study on Ultimate Strength of Ring-stiffened Cylindrical Shell under Pitting Corrosion Damage. Ship Ocean. Eng. 2018, 47, 29–32+37. [Google Scholar]
- Ahn, J.-H.; Choi, W.R.; Jeon, S.H.; Kim, S.-H.; Kim, I.-T. Residual compressive strength of inclined steel tubular members with local corrosion. Appl. Ocean Res. 2016, 59, 498–509. [Google Scholar] [CrossRef]
- Ahn, J.-H.; Jeon, S.-H.; Jeong, Y.-S.; Cho, K.-I.; Huh, J. Evaluation of Residual Compressive Strength and Behavior of Corrosion-Damaged Carbon Steel Tubular Members. Materials 2018, 11, 1254. [Google Scholar] [CrossRef] [Green Version]
- Mokhtari, M.; Melchers, R.E. Reliability of the conventional approach for stress/fatigue analysis of pitting corroded pipelines–Development of a safer approach. Struct. Saf. 2020, 85, 101943. [Google Scholar] [CrossRef]
- Yu, J.X.; Jin, C.G.; Yu, Y. Plastic Collapse Capacity of 2D Ring with Internal Random Pitting Corrosion Defects. J. Tianjin Univ. (Sci. Technol.) 2019, 52, 1219–1226. [Google Scholar]
- Hou, X.; Guo, S.; Shi, L.; Xing, H.; Yin, H.; Li, Z.; Zhou, M.; Xia, D. Improved Model Predictive-Based Underwater Trajectory Tracking Control for the Biomimetic Spherical Robot under Constraints. Appl. Sci. 2020, 10, 8106. [Google Scholar] [CrossRef]
- Li, Y.S.; Sun, H.X. Design and Development of Small Spherical Underwater Observation Robot. J. Mech. Eng. 2020, 56, 103–109. [Google Scholar]
- Sun, J.; Wang, R.H.; Dou, P.L. Stochastic finite element analysis of circular pipe members with inhomogeneous thickness corrosion damage. Chinese Society of Ocean Engineering: Ocean Engineering Branch of Chinese Society of Oceanography. In Proceedings of the 17th China Ocean (Shore) Engineering Symposium, Beijing, China, 2015; pp. 236–330. [Google Scholar]
- Wang, R.; Shenoi, R.A.; Sobey, A. Ultimate strength assessment of plated steel structures with random pitting corrosion damage. J. Constr. Steel Res. 2018, 143, 331–342. [Google Scholar] [CrossRef] [Green Version]
- Wang, H.; Yu, Y.; Yu, J.; Duan, J.; Zhang, Y.; Li, Z.; Wang, C. Effect of 3D random pitting defects on the collapse pressure of pipe—Part I: Experiment. Thin-Walled Struct. 2018, 129, 512–526. [Google Scholar] [CrossRef]
- Wang, H.; Yu, Y.; Yu, J.; Jin, C.; Zhao, Y.; Fan, Z.; Zhang, Y. Effect of 3D random pitting defects on the collapse pressure of pipe—Part II: Numerical analysis. Thin-Walled Struct. 2018, 129, 527–541. [Google Scholar] [CrossRef]
- Zhang, J.; Zhang, M.; Tang, W.X.; Wang, W.; Wang, M. Buckling of spherical shells subjected to external pressure: A comparison of experi-mental and theoretical data. Thin-Walled Struct. 2017, 111, 58–64. [Google Scholar] [CrossRef]
- Zhang, Y.; Huang, Y.; Meng, F. Ultimate strength of hull structural stiffened plate with pitting corrosion damage under unaxial compression. Mar. Struct. 2017, 56, 117–136. [Google Scholar] [CrossRef]
- Yu, J.; Wang, H.; Fan, Z.; Yu, Y. Computation of plastic collapse capacity of 2D ring with random pitting corrosion defect. Thin-Walled Struct. 2017, 119, 727–736. [Google Scholar] [CrossRef]
- Zoelly, R. Ueber ein Knickungsproblem an der Kugelschale. Ph.D. Thesis, ETH Zürich, Zürich, Switzerland, 1915; pp. 1–146. [Google Scholar] [CrossRef]
- Shi, W.Z.; Tong, L.W.; Chen, Y.Y. Experimental study of the effect of corrosion on the force performance of steel and steel beams. J. Build. Struct. 2012, 33, 53–60. [Google Scholar]
- Sheng, J.; Xia, J. Effect of simulated pitting corrosion on the tensile properties of steel. Constr. Build. Mater. 2017, 131, 90–100. [Google Scholar] [CrossRef]
- Zhu, Y.; Guan, W.; Wang, H.; Zhao, M.; Zhang, J. Buckling of spherical shells with pitting corrosion under external pressure. Ships Offshore Struct. 2021, 12, 1–10. [Google Scholar] [CrossRef]












| Name | Parameters |
|---|---|
| Outside diameter D0 (mm) | 430 |
| Cabin thickness t0 (mm) | 10 |
| Young’s modulus E (MPa) | 182,000 |
| Poisson’s ratio ν | 0.3 |
| Npit | t/t0 | 60° × 10° | 40° × 15° | 30° × 20° | 24.5° × 24.5° |
|---|---|---|---|---|---|
| 0 | 0 | 187.110(1) | |||
| 16 | 0.4 | 174.142 (0.931) | 171.335 (0.916) | 168.972 (0.903) | 163.328 (0.873) |
| 0.6 | 142.207 (0.760) | 139.608 (0.746) | 135.565 (0.725) | 132.099 (0.706) | |
| 36 | 0.4 | 160.022 (0.855) | 156.997 (0.839) | 153.969 (0.823) | 150.698 (0.805) |
| 0.6 | 120.193 (0.642) | 116.610 (0.623) | 111.092 (0.594) | 110.029 (0.588) | |
| Corrosion Depth | Morphology | Geometric Parameter (mm) | Volume (mm3) |
|---|---|---|---|
| t/t0 = 0.2 | Spherical | r = 2; t = 2 | 16.755 |
| Ellipsoid | a = 2.5; b = 1.6; t = 2 | 16.755 | |
| Cylindrical | r = 1.633; t = 2 | 16.755 | |
| Rectangular | a = 2.894; b = 2.894; t = 2 | 16.750 | |
| t/t0 = 0.3 | Spherical | r = 3; t = 3 | 56.549 |
| Ellipsoid | a = 4.5; b = 2.25; t = 3 | 56.549 | |
| Cylindrical | r = 2.449; t = 3 | 56.526 | |
| Rectangular | a = 4.341; b = 4.341; t = 3 | 56.533 | |
| t/t0 = 0.4 | Spherical | r = 4; t = 4 | 134.041 |
| Ellipsoid | a = 5; b = 3.2; t = 4 | 134.041 | |
| Cylindrical | r = 3.266; t = 4 | 134.042 | |
| Rectangular | a = 5.789; b = 5.789; t = 4 | 134.050 | |
| t/t0 = 0.5 | Spherical | r = 5; t = 5 | 261.799 |
| Ellipsoid | a = 6.25; b = 4; t = 5 | 261.799 | |
| Cylindrical | r = 4.083; t = 5 | 261.866 | |
| Rectangular | a = 7.236; b = 7.236; t = 5 | 261.798 | |
| t/t0 = 0.6 | Spherical | r = 6; t = 6 | 452.389 |
| Ellipsoid | a = 8; b = 4.5; t = 6 | 452.389 | |
| Cylindrical | r = 4.899; t = 6 | 452.393 | |
| Rectangular | a = 8.683; b = 8.683; t = 6 | 452.367 |
| Corrosion Depth | Spherical | Ellipsoid | Cylindrical | Rectangular |
|---|---|---|---|---|
| 0 | 187.11(1) | |||
| t/t0 = 0.2 | 178.90 (0.956) | 178.96 (0.956) | 178.94 (0.956) | 178.81 (0.956) |
| t/t0 = 0.3 | 177.23 (0.947) | 177.35 (0.948) | 176.97 (0.946) | 176.69 (0.944) |
| t/t0 = 0.4 | 172.77 (0.923) | 172.80 (0.924) | 172.38 (0.921) | 172.76 (0.923) |
| t/t0 = 0.5 | 162.56 (0.869) | 164.41 (0.879) | 160.15 (0.856) | 162.52 (0.869) |
| t/t0 = 0.6 | 151.69 (0.811) | 152.86 (0.817) | 151.44 (0.809) | 152.00 (0.812) |
| Corrosion Depth (t/t0) | Diameter to Depth Ratio (d/t) | |||
|---|---|---|---|---|
| 1 | 2 | 3 | 4 | |
| 0 | 187.11(1) | |||
| 0.2 | 186.560 (0.997) | 185.417 (0.991) | 183.177 (0.979) | 181.220 (0.969) |
| 0.3 | 185.692 (0.992) | 181.325 (0.969) | 175.516 (0.938) | 167.625 (0.896) |
| 0.4 | 183.503 (0.981) | 173.848 (0.929) | 159.324 (0.851) | 144.215 (0.771) |
| 0.5 | 180.113 (0.963) | 161.202 (0.862) | 137.178 (0.733) | 120.729 (0.645) |
| 0.6 | 177.440 (0.948) | 145.931 (0.780) | 109.354 (0.584) | 89.086 (0.476) |
| D0 (mm) | Standard Deviation | t0 (mm) | Standard Deviation | θ1 × θ2 | Number of Pits | Ptest (MPa) | Pu (Equation (5)) (MPa) | |
|---|---|---|---|---|---|---|---|---|
| #1 | 149.66 | 0.147 | 0.777 | 0.005 | 30° × 30° | 25 | 4.07 | 3.69 (0.907) |
| #2 | 148.86 | 0.203 | 0.771 | 0.004 | 45° × 45° | 25 | 4.21 | 3.96 (0.940) |
| #3 | 150.23 | 0.185 | 0.771 | 0.004 | 30° × 30° | 36 | 3.17 | 3.43 (1.081) |
| #4 | 148.95 | 0.196 | 0.770 | 0.006 | 45° × 45° | 36 | 4.18 | 3.84 (0.919) |
Publisher’s Note: MDPI stays neutral with regard to jurisdictional claims in published maps and institutional affiliations. |
© 2022 by the authors. Licensee MDPI, Basel, Switzerland. This article is an open access article distributed under the terms and conditions of the Creative Commons Attribution (CC BY) license (https://creativecommons.org/licenses/by/4.0/).
Share and Cite
Wang, H.; Zhu, Y.; He, X.; Guan, W.; Zhan, M.; Zhang, J. Strength Prediction of Spherical Electronic Cabins with Pitting Corrosion. Metals 2022, 12, 1120. https://doi.org/10.3390/met12071120
Wang H, Zhu Y, He X, Guan W, Zhan M, Zhang J. Strength Prediction of Spherical Electronic Cabins with Pitting Corrosion. Metals. 2022; 12(7):1120. https://doi.org/10.3390/met12071120
Chicago/Turabian StyleWang, Hao, Yongmei Zhu, Xialei He, Wei Guan, Ming Zhan, and Jian Zhang. 2022. "Strength Prediction of Spherical Electronic Cabins with Pitting Corrosion" Metals 12, no. 7: 1120. https://doi.org/10.3390/met12071120
APA StyleWang, H., Zhu, Y., He, X., Guan, W., Zhan, M., & Zhang, J. (2022). Strength Prediction of Spherical Electronic Cabins with Pitting Corrosion. Metals, 12(7), 1120. https://doi.org/10.3390/met12071120
