Abstract
This paper investigates the manipulation of chemical composition of a laser weld by dissimilar filler material and its effect on residual stress. The aim is to minimize residual stresses in the weld seam. In order to negate residual stresses, dissimilar combinations of low-carbon manganese steel (S235JR) base material with high-alloyed solid filler wires (G19 9 and G25 20), as well as similar combinations with low-alloyed solid filler wire G3Si1 are analyzed. The goal of the paper is to show that the so-called low-transformation-temperature effect can be used to induce residual compressive stresses in a weld without the use of specially manufactured filler wires. Chemical compositions are generated within a laser-beam-welding process by means of dilution, proving that the concept of in situ alloying is usable in order to affect the martensite formation on a weld. Dilatometry measurements show that a varying Cr and Ni content in a weld reduces the phase-transformation temperature and increases dilatation. EBSD analysis indicates that a fully martensitic weld with a negligible amount of retained austenite is created while the base material preserves its ferritic-pearlitic microstructure. Residual stress measurements with the hole-drilling method demonstrate a reduction in longitudinal tensile residual stresses, whereby the magnitude of the induced residual compressive stresses depend on the Ms temperature. As a result of this research, it was proven that a reduction in tensile residual stress by means of targeted alloying with conventional materials in low-carbon manganese steel is possible. Under the experimental conditions, residual stress in the weld seam could be reduced to 0 MPa. In some cases, even compressive residual stress in the weld could be achieved.
1. Introduction
The local inhomogeneous heat distribution in a welding process leads to high residual stresses in a weld. During cooling, the shrinkage of the heated zone is restricted by the surrounding cooler material. Over time, this inevitably leads to a growth in tensile stresses as the temperature is reduced. After the specimen finally cools down, high tensile residual stresses develop [1]. High residual stress is not desirable in a component, since it is known to influence, for example, fatigue strength [2,3]. While tensile residual stress decreases fatigue strength, compressive residual stress increases fatigue strength.
If the total stresses acting on the component exceed the yield point, the stresses are relieved by plastic deformation [4]. This means that residual stresses and distortion work in opposite directions; if a specimen is clamped strongly to avoid deformation, high residual stresses follow in the component. Conversely, the build up of residual stress can be reduced if free deformation of the specimen is allowed, resulting in distortion. However, in production chains, where high geometric precision is required, such deformation is not desirable. To counteract this, process engineering or design modifications must be made, which are often time-consuming and expensive [5]. Research has shown that phase transformations introduce compressive stress in the weld seam, but are overpowered by the shrinkage residual stress [6]. Investigations of [7] proved that by reducing the martensite start temperature Ms, the compressive stresses due to phase transformation can counteract the tensile residual stresses due to thermal shrinkage. Thus, research has been conducted in recent years to use this so-called low-transformation-temperature (LTT) effect.
Overall, the LTT effect describes the manipulation of the martensite start temperature by means of chemical composition variation in order to introduce compressive stress into the weld seam. The manipulation of the Ms temperature has several reasons; for example, it is easy to modify by the variation of chemical compositions [8]. Furthermore, martensite has high potential to introduce compressive stress due to volume expansion during transformation [9].
Investigations by the authors showed that dissimilar welding (welding with filler material compositions different than the base material) is suitable to create the LTT effect in order to reduce distortion and residual stress [10,11]. In these papers, high-alloy base materials were welded with low-alloy filler wire. The high dilution of the welding components during beam welding helped to create in situ alloying concepts.
However, this paper analyzes a low-alloy base material in combination with high-alloy filler materials. It proves that variations in alloying concepts can introduce different levels of compressive stress in the weld seam. With the right material combination, it is possible to have nearly no residual stresses in the weld.
2. Materials and Methods
2.1. Materials
A low-alloy carbon–manganese steel sheet S235JR (1.0037/AISI 1015) with the dimensions 100 × 50 × 5 mm was welded lengthwise with filler wire. Two different seam preparations and three varying filler wires were used. As a similar filler material, a low-alloy solid wire G3Si1 (EN ISO 14341-A G 42 5 M21 3Si1/AWS A5.18:ER70S-6) by the company Fliess, Germany was used. As dissimilar filler materials, two different solid high-alloy wires were used: a G19 9 (EN ISO 14343-A G19 9 L Si/AWS A5.9:ER308LSi) and a G25 20 (EN ISO 14343-A: G25 20/AWS A5.9: ER310) by the company ESAB, Sweden. Argon (DIN EN ISO 14175: I1) was used as shielding gas. All wires had a diameter of 1 mm. The thin filler wires were melted to larger samples in order to measure in optical emission spectroscopy (OES), Table 1.
Table 1.
Chemical composition of the used materials in mass % measured by OES analysis.
2.2. Welding Trials
Welding trials were carried out on a Trumpf TruDisk 16002 disc laser, which has a maximum beam power of 16 kW. The used fiber had a diameter of 400 µm. With an aspect ratio of 3:1 of the optic, the focal diameter was 1200 µm. This diameter in combination with beam oscillation was used in order to melt the 1 mm filler wire and parts of the base material, so that intermixing of both materials created a defined chemical composition in the weld seam. Furthermore, beam-oscillation frequency varied, as well as the size of a rectangular seam preparation, Figure 1. The use of different wire feed speeds, seam preparations, oscillation frequencies and beam power assured that the base material mixed as homogeneously as possible with the filler wire and resulted in a controlled chemical composition. The inclination angle of the filler wire was 45° using the miniDrive feeding system developed by the RWTH Aachen University Welding and Joining Institute. At least three welds of each material combination were carried out. In order to hold the specimen in position, an in-house-developed clamping setup with springs was used. With this, the specimen stayed at its position during welding with filler wire, while still ensuring a free thermal expansion or distortion. The defocus was set as 0 mm. The shielding gas nozzle was coaxial to the filler wire and 15 ln/min (liter normal per minute) Argon was used in all trials.
Figure 1.
Welding setup. (a) Clamping setup with wire-feeding system; (b) miniDrive with a straightening unit for the filler wire; (c) sketch of the welding specimen with rectangular seam preparation.
In all welding trials, the ferritic-pearlitic S235JR was used as base material. One parameter with the filler wire G19 9 (S235-G19) and two parameters of G25 20 (S235-G25-01, S235-G25-02) were welded in order to create the LTT effect via dissimilar material combinations (dissimilar welds). The base material was also welded with G3Si1 to compare the results with common weld compositions (S235-G3Si1, similar weld) (Table 2). Since the sample G25-02 has the highest filler wire input, a bigger seam preparation was used in order to avoid high weld reinforcement. Furthermore, a full penetration in a single pass with a copper backing was used in order to avoid a dropping of the seam. For the samples G19 and G25-01, a full penetration in a single pass with free root formation was achieved.
Table 2.
Weld and oscillation parameters, as well as seam preparations, for different material combinations.
3. Results
After the completed welding experiments, various analyses were carried out. Energy-dispersive X-ray spectroscopy (EDS) measurements showed the chemical composition in the base metal and weld. With this, the dilution of the base material and filler wire was analyzed. Hardness measurements provided information on the hardness distribution within the weld seam. Phase-transformation temperatures were recorded by dilatometry, showing the increased expansion of the tested samples. The microstructure was observed under a light microscope. Nital and color etching helped to visualize the macrostructure, as well as to obtain a first impression of the microstructure. Residual stress was measured using the hole-drilling method in combination with electronic speckle pattern interferometry (ESPI) in order to investigate the influence of different alloy compositions on the residual stress distribution. Finally, Electron Backscatter Diffraction (EBSD) measurements supported the interpretation of the resulting microstructure.
3.1. Energy-Dispersive X-ray Spectroscopy
To analyze the chemical composition, EDS line scans were performed horizontally and vertically in the weld seam. The horizontal measurement line was set 0.4 mm below the component surface, starting and ending in the base material. It should be mentioned that some of the measurements were added together from several measurement lines, since the weld seam is larger than the maximum measurement field size. For this reason, the measured weld-seam width does not exactly correspond to the actual weld-seam width. Nonetheless, variations in the alloy composition can be clearly assigned to the specific areas of the weld seam (outer region near the heat-affected zone, center of the weld, upper part or lower part of the weld).
EDS measurements show the increased chromium and nickel contents for all LTT welds (Figure 2, Table 3). The horizontal chemical analysis of sample G19 shows that the Cr and Ni content is higher at the outer region of the weld than in the center. Vertically, the chemical distribution through the center of the weld is relatively homogeneous. This tendency can also be observed in sample G25-01; while the weld center shows a relatively homogeneous chemical composition, the horizontal measuring line shows increased Cr and Ni contents in the outer region. The chemical composition of sample G25-02 in the vertical measurement shows an increased Cr-Ni content in the upper area in contrast to the weld root, while the horizontal measurement also shows fluctuating values.
Figure 2.
Chemical composition of the welds showing fluctuations in Cr- and Ni content in the outer regions of the dissimilar weld seams. (left) Chemical composition horizontal, (right) chemical composition vertical.
Table 3.
Mean chemical composition of the dissimilar welds.
In literature, most LTT structures have a chemical composition of around 10% Cr and 10% Ni. Those welds, however, are prone to hot cracks, since the alloying content is high. In order to avoid the hot cracking area according to the Schaeffler diagram, lower alloying content was used. Figure 3 shows the typically used composition according to Ohta [7] in contrast to the welds that were analyzed in this paper. According to the Schaeffler diagram, all three welds are to be expected to have a martensitic weld.
Figure 3.
Placement of the welding tests in the Schaeffler diagram according to their Cr- and Ni-equivalents.
3.2. Vickers Hardness
A series of Vickers hardness measurements were carried out horizontally 0.4 mm below the component surface. Furthermore, a series of measurements were carried out vertically across the component thickness in the weld seam. With increasing alloying content, the hardness in the weld seam increases.
Horizontally, the hardness increases across the dissimilar welds with maximum values of about 430 MPa for G25-02. Samples G25-01 and G19 have about the same hardness values around 360–370 MPa, with G25-01 measuring slightly higher values, Figure 4 left. This increase in hardness can occur due to two causes:
- In ferritic-pearlitic steels, the strength properties and hardenability are improved to a great extent in the presence of Cr and Ni. Cr increases the strength and refines the grain, while Ni makes the steel tougher [12].
- Compared to ferrite, harder structures such as martensite could be present (the carbon in martensite significantly prevents the migration of dislocation lines, which is why the martensite is harder than ferrite).
The higher hardness values in the dissimilar welds compared to the similar welds indicate a hardened structure such as martensite. Since the hardness of sample G25-02 is higher than the other two dissimilar welds, it can also be concluded that the increased Cr and Ni content leads to a further increase in hardness.
The vertical hardness curves show homogeneous hardness values from top to bottom even in the dissimilar welds (Figure 4, right).
Figure 4.
Hardness measurement horizontally (left) and vertically (right) to the weld seam showing increased hardness values for the LTT welds.
Figure 4.
Hardness measurement horizontally (left) and vertically (right) to the weld seam showing increased hardness values for the LTT welds.

Furthermore, hardness mappings were recorded to investigate the distribution throughout the weld in a higher resolution. Hardness HV0.5 with indentations every 0.2 mm horizontally and vertically were performed. Measurements were made from the base metal through the HAZ to the weld seam (Figure 5).
Figure 5.
Hardness mapping of S235-G3Si1 (similar weld) showing a homogeneous hardness distribution and a slight increase in the weld seam. All dissimilar welds (S235-G19, S235-G25-01, S235-G25-02) have higher hardness values compared to the base material, while no sharp variation in hardness values can be seen within the welds.
Overall, the hardness distribution within the welds is homogeneous. Even with the slightly varying chemical compositions in the dissimilar welds, the hardness is not much affected by these variations. The hardened structure can be seen throughout the entire dissimilar weld seam. While an increase occurred gradually over the HAZ for the similar weld, a sudden rise could be observed for the dissimilar welds.
3.3. Dilatometry
As the weld seam was narrow (maximum width of close to 5 mm only in the upper part of the weld), it was not possible to take dilatometer samples. For this reason, a combination of base material and filler wire was melted in an arc furnace (arc furnace MAM-1, Edmund Bühler GmbH). Base material and filler wire were cut up, cleaned, weighed according to the mixing ratio of the weld seam and melted under an argon inert gas atmosphere. The chemical composition of every melted sample was checked in order to make sure that it corresponded with the composition of the welds. In the furnace, a copper insert was then used to cast molten material by vacuum into a rod (Figure 6). The resulting rods were processed into hollow test specimens according to the specifications of ASTM standard A1033-18 [13]. Six dilatometer specimens that have the same chemical composition were produced. The specimens have an inner diameter of 3 mm, outer diameter of 4 mm and a length of 8 mm. The advantage of a hollow specimen is the achievable high cooling rate in order to simulate the cooling rate of the welding process.
Figure 6.
Melted samples in the arc furnace and cast rod where dilatometric samples are produced by lathe machining. In total, 6 samples are taken out of one melted-material combination.
Dilatometry tests were carried out on a quenching dilatometer type L78 Deformation from the company Linseis. The tests ran in a vacuum chamber under an argon atmosphere to avoid oxidation of the sample. The cooling rate was based on the t8/5 time measurements in the HAZ. The temperature was recorded using a type-K thermocouple. The transformation temperatures Ac1, Ac3, Ms and Mf as well as the dilatation during the phase transformation were measured (Table 4). High temperatures and short times are characteristic for a laser-beam-welding process; therefore, a higher austenitization temperature and a shorter austenitization time than recommended in the ASTM standard were chosen. An austenitizing temperature of TA = 920 °C and an austenitizing time of tA = 120 s were uniformly specified for all tests. The heating rate of the tests was vheat = 10 °C/s and the cooling rate was vcool = 98 °C/s to a temperature of 25 °C.
Table 4.
Results of the dilatometer tests showing phase-transformation temperatures and dilatation during phase transformation.
Dilatometry tests showed a martensitic phase transformation for every dissimilar weld, Figure 7. With increasing Cr and Ni content, the Ms temperature drops. With the reduction in Ms temperature, the strain during the martensitic phase transformation increases. This behavior was also observed in the austenitic phase transformation; however, the increase was not as pronounced. The final expansion strain (FES) describes the martensitic volume expansion from Ms to room temperature. It is noticeable that the FES increases with higher alloy contents. The higher the FES, the higher the compressive stress introduction in the weld seam [14,15].
Figure 7.
Dilatometry measurements of the LTT samples showing increased martensitic expansion with reduced Ms temperature.
Hardness measurements on the dilatometry samples showed slightly higher results than the welds. HV0.1 indent tests were carried out on the front side face of each sample. S235-G19 showed values of around 414 ± 11.4 HV0.1 and S235-G25-01 showed results close to this at around 423 ± 11.2 HV0.1 hardness. Samples of S235 G25-02, on the other hand, showed values close to the weld samples at around 458 ± 6.4 HV0.1. With the hardness values, cooling rates and chemical composition close to the welds, it can be stated that these results are comparable with the welding tests.
3.4. Microstructure
By observing the weld under the microscope, a difference in the microstructures of the various material combinations can be detected. Nital etchant is used in order to see the macrostructure of the weld, such as geometry, or defects (e.g., cracks) that may have occurred. Then, color etching is performed in order to highlight certain microstructures and distinguish for example segregations. The advantage is that a large area can be analyzed, but the results are not completely reliable since this approach is extremely dependent on the metallographic handling and can vary in results.
3.4.1. Nital Etching
Nital etchant is a solution commonly used for metals, especially to reveal ferrite-grain boundaries. For a first quick analysis of the weld geometry, HAZ and defects (such as cracks or pores) this method is used. The cross sections of the weld seams with low-alloy filler wire (G3Si1) and the high-alloy filler wires (G19; G25-01; G25-02) were examined (Figure 8). Other than a few pores, no defects were present in any of the welds.

Figure 8.
Nital etching of the welded samples showing the weld, fusion line (FL) and heat-affected zone (HAZ). Macrostructure shows no indications of cracking. Microstructure of dissimilar welds differ compared to the similar weld. (a) S235-G3Si1 with pearlite, ferrite and martensite in the weld microstructure; (b) S235-G19 with black dashed lines showing the random orientation of the microstructure; (c) S235-G25-01 showing a more oriented microstructure; (d) S235-G25-02 with microstructure resembling butterfly martensite.
Some conclusions can already be drawn from the macro- and microsections. The etchant clearly highlights the similar weld. In this weld seam, pearlite, bainite and small martensitic plates can be seen (Figure 8a). Other than small pores, no other irregularities can be observed.
With increasing alloy content, phase transformations associated with carbon atom migration slow down. Thus, diffusion-free processes are preferred. This is why microstructures such as bainite or martensite are present in welds with higher alloying content. Since the dissimilar welds are not as clearly etched as in comparison to the similar weld, an explanation could be the presence of bainite or martensite.
It is noticeable that the microstructures within the dissimilar welds seem to be more and more aligned when the Cr and Ni content increases (Figure 8, black dashed lines). While the microstructure in the weld with the G 19 9 filler wire is randomly oriented (Figure 8b), some orientation becomes visible with the welds produced by the G 25 20 filler wire (Figure 8c). In particular, the structure of G25-02 is reminiscent of butterfly martensite, which can occur at reduced Ms temperatures (Figure 8d).
3.4.2. Color Etching
Color etching according to Lichtenegger and Bloech (LBI) is often used to detect segregations, since the etchant reacts to even the slightest differences in alloying content. Originally, the etchant was a variation of the Beraha etchants and used for austenitic base materials, but is also suitable to reveal a dissimilar weld composition compared to the base metal. Furthermore, compared to the Beraha etchants, LBI does not attack the surface as much.
Typically, in a high-alloy base metal, areas with low Cr-Ni content appear bluish because of a reduced alloy content compared to the base metal. In the welds performed in this work, the Cr-Ni contents roughly correspond to the contents of such a reduced alloy content. Consequently, here too, the dissimilar welds are shown in a bluish color.
When considering the base material, it should be noted that it contains almost no alloying elements other than small amounts of carbon and manganese. Therefore, these areas are attacked first during etching, which is why the color appears strongly brownish. It is assumed that in the base metal, pearlite in particular is colored dark brown, while martensite and bainite appear a lighter brown. Furthermore, it should be noted that the martensite in the HAZ, which was formed due to high cooling gradients, should be distinguished from the martensite in the weld, as the latter was formed due to a higher alloy content or reduced Ms temperature. Due to the higher alloying contents, the martensite in the welds appears blue (Figure 9).

Figure 9.
Color etching of the welded samples according to Lichtenegger and Bloech etchant (LBI). (a) S235-G19; (b) S235-G25-01; (c) S235-G25-02.
As the alloy content increases, increasingly brownish areas appear in the weld. In Figure 9a, little brownish areas can be detected in the upper part of the weld, whereas in Figure 9b, the brownish area in the center of the weld extends over the entire weld depth. Figure 9c, however, shows that the brownish area is more visible in the upper region, while the lower region appears relatively homogeneously blue. These results are supported by the EDS measurements. The chemical composition of G25-02, for example, shows that the Cr-Ni-content in the upper region is higher than in the lower region of the weld. With the knowledge of the fluctuating chemical composition, it is apparent that the brown regions are the areas of differing Cr- and Ni content.
3.5. Residual Stress Measurements
Residual stress measurements were carried out using the hole-drilling method, with surface distortions measured by electronic speckle pattern interferometry (ESPI). This allowed the measurement of the local residual stress levels longitudinally and transversely.
Residual stress measurements were carried out once along the weld seam as well as in the base material. On the weld seam, five measuring points were drilled, 20 mm apart each. On the base metal, two measuring points were drilled, 10 mm apart each. The drill diameter was 1.6 mm. All measuring points were drilled with measurement depth in three increments of 0.2, 0.4 and 0.6 mm. The residual stress analysis was performed in order to measure the influence of the dissimilar alloy combination in the weld seam and the base plate.
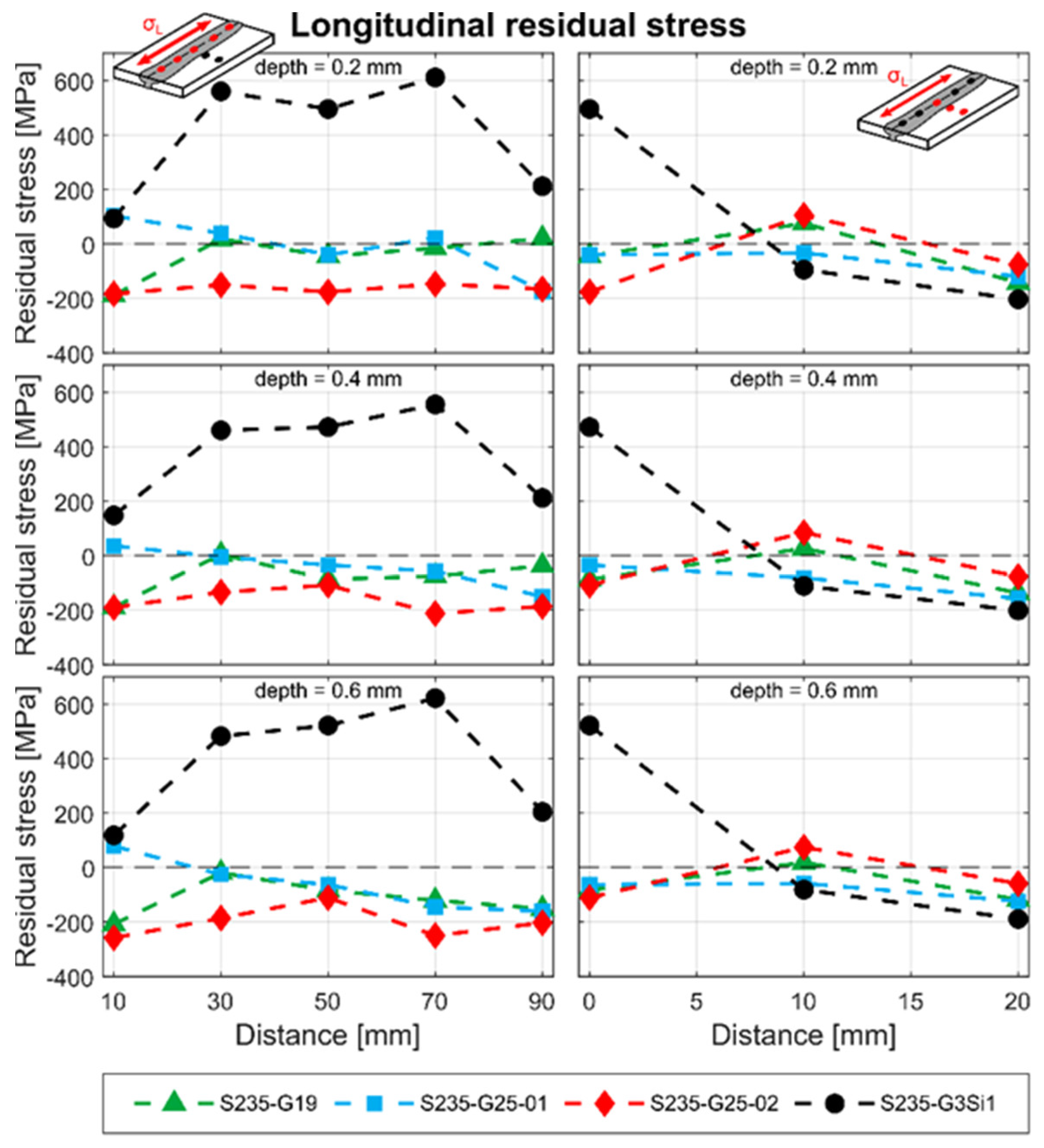
First, the longitudinal residual stresses were analyzed (Figure 10, left). The similar weld shows high tensile stresses along the weld seam at all measuring depths of 0.2, 0.4 and 0.6 mm. In contrast, a significant reduction in stresses can be observed in the dissimilar welds. Residual stresses around 0 MPa are already detectable in specimen G19. This stress level does not change even in the measuring depths up to 0.6 mm. The highest compressive stresses are generated in specimen G25-02. Here, compressive stresses around −200 MPa can be observed at all measured depth.
Figure 10.
Residual stress measurement using the hole-drilling method and electronic speckle pattern interferometry. Measurements show the longitudinal residual stress along the weld seam (graphs on the left) and in the base material (graphs on the right).
When looking at the residual stresses in the base metal, it seems that the tensile stresses of the weld shifted to the base metal (Figure 10, right). While G25-02 shows the highest compressive stress in the weld, the highest tensile stresses are present in the base metal. The opposite is true for the similar weld. Nevertheless, the tensile stress levels of the dissimilar weld in the base metal are not as high as compared to the tensile stresses of the similar weld along the weld seam. The magnitude of the residual stresses in the base material does not change at the different measurement depths. Tensile stresses at 0.2 mm depth are still present as such at 0.6 mm and vice versa. It can be observed that the tensile stresses of the weld seam have shifted to the base material.
The analysis of the transverse residual stresses shows that the LTT effect does not have a major influence on the residual stress distribution. In the measurements along the weld, the similar weld shows values around 0 MPa ranging in both the compressive and tensile stress area in all measuring depth, Figure 11 left. All the dissimilar welds, on the other hand, show tensile stresses, whereby the residual stress levels are all relatively close to each other. This tendency can be observed for all measurement depths in every material combination.
Figure 11.
Residual stress measurement using the hole-drilling method and electronic speckle pattern interferometry. Measurements show the transverse residual stress along the weld seam (graphs on the left) and in the base material (graphs on the right).
In the base material, the residual stresses of all welds are close to each other (Figure 11, right). Both at 10 mm and at 20 mm distance from the weld, the residual stress levels are about the same. This shows that the LTT effect is only affecting longitudinal residual stresses.
3.6. Electron Backscatter Diffraction
EBSD analysis distinguishes between austenitic and ferritic phases but in a rather small area of the weld. The analysis concentrates on sample S235-G25-01 because the residual stresses in the weld are nullified even when not much filler wire is introduced into the weld. This shows great potential for the use of dissimilar welds in commercial applications, as only a small amount of dissimilar material needs to be added to the specimen to negate residual stresses at least in the weld.
Two cross-sections were prepared, one perpendicular to the welding direction and another one with the welding direction lying coplanar in the polished plane. The samples were hot-mounted in a conductive resin, ground on SiC papers of various grits and polished with diamond pastes down to a final polishing step using 50 nm colloidal silica (OP-S).
Subsequently, comparatively large measurement areas for EBSD (300 × 800 µm2) were measured in both cross sections using a Hikari EBSD camera by Ametek-EDAX attached to a JSM 7000F FEG-SEM by JEOL. The measurement in the plane perpendicular to the welding direction was placed over the edge of the weld, so that approximately 2/3 of the area was lying in the weld and 1/3 in the heat-affected zone. The measurement of the plane coplanar to the welding direction was placed centrally into the weld, so that the whole measurement area was lying within the weld. Both measurements were performed at 20 keV electron energy using a probe current of approx. 30 nA and a step size of 150 nm. Since a direct distinction of ferrite, bainite and martensite is not possible with EBSD, only bcc- and fcc-Iron were used as candidate phases during the measurement. A further distinction, however, is possible based on secondary parameters such as the contrast in the diffraction pattern (Image Quality, IQ) or the local misorientations within the grains, as has been outlined by [16,17,18]. Summarizing these papers, ferrite is typically identified by a combination of low kernel average misorientation (KAM) and high image quality (IQ); martensite by high KAM/low IQ; and finally, bainite by high KAM/high IQ. However, the exact thresholds depend considerably on the actual measurement conditions.
Figure 12 shows the result of the IQ map of both measured areas. Additionally to the IQ plotted in grey, points indexed as fcc are plotted in red, but are practically absent in these areas. The area of the weld shows considerably poorer diffraction patterns compared to areas in the HAZ.
Figure 12.
Image-quality (grey) maps of the measured areas.
Figure 13 shows the local misorientations within the grains, parameterized by the KAM comparing grain-internal points over a distance of 300 nm. By direct comparison of Figure 12 and Figure 13, the weld shows homogeneously low IQ and high KAM values, which points to a martensitic nature of the points indexed as bcc [18]. Since points indexed as fcc are practically absent, the EBSD results therefore point to a homogeneous martensitic microstructure without measurable amounts of retained austenite.
Figure 13.
Kernel average misorientation (KAM) maps, calculated for point distances of 300 nm.
Besides the phase content of the weld, the EBSD measurements generally could also indicate the occurrence of preferred crystal orientations within the weld. In Figure 14, therefore, inverse pole figure (IPF) maps are plotted, showing the crystal direction locally aligned with the welding direction. Since during the martensitic transformations only martensite plates with a limited number of orientations can form, clusters of the same sets of colors indicate the extension of the austenite grains present before the martensitic transformation. As can be seen, these prior austenite grains extend over several 100 µm, which makes it difficult to reliably detect preferred orientations in the complete weld. In contrast to the high number of fine martensite plates, only a small number of prior austenite grains are covered by the measurement areas, the orientations of which will determine the martensite orientations present. In conclusion, locally preferred orientations exist determined by the orientation of the prior austenite grain. Therefore, if globally preferred orientations exist over larger areas of the weld, this cannot be decided by EBSD.
Figure 14.
Inverse pole figure maps with respect to the welding direction.
4. Discussion
Chemical analysis has shown that the Cr and Ni content in the weld increases both horizontally and vertically due to the dissimilar welding. While the mass fractions of Cr and Ni in the resulting welds are relatively similar when filler metal G25 20 is used, the nickel content in sample G19 is very low, as expected. Nevertheless, the small amount of Ni in the G19 sample is sufficient to obtain a martensitic weld according to the Schaeffler diagram. In the outer areas of the weld, differences in chemical composition can be seen. In particular in sample G25-02, the alloy content in the upper region of the weld is higher than in the lower region.
Even with the variations in chemical composition, hardness measurements within the weld show homogeneous values. Hardening is seen in all dissimilar welds, even in the G19 sample where the Ni content is relatively low. While this sample has 3.9 mass % Cr and 1.9 mass % Ni, hardness values of 360 MPa are measurable similar to the sample G25-01, where the chemical analysis shows approximately 3.9 mass % Cr and 3.1 mass % Ni. This shows that such small differences in chemical composition do not affect hardness. Given that a rapid jump in hardness values can be seen in the dissimilar welds, the measured values can be attributed to the chemical composition only.
Dilatometry was used to measure martensitic phase transformations in all dissimilar alloy compositions. The results show how much the Ms temperature is reduced by the chemical composition. The more Ms is reduced, the greater the material elongation during martensitic transformation, showing the effect of the low transformation temperature.
The microstructure of the similar and dissimilar welds is revealed by etching. Based on the previous investigations, it is clear that the dissimilar welds contain martensite. It is known that the structure of martensite changes with reduced Ms temperature, which is why structures similar to butterfly martensite are found in sample G25-02. The color etchings illustrate the inhomogeneous chemical distribution in the dissimilar welds, in particular the difference between the fusion line and inner areas of the weld.
The LTT effect provably reduces the longitudinal residual stresses. The increase in compressive stress within the weld is measured up to 0.6 mm of depth. The tensile stresses are redistributed into the base material, whereby the introduction of the compressive stress by the LTT effect seems to compensate for a large part of the tensile stresses. In the case of transverse residual stresses, compressive stresses can be observed in the similar weld, which are reversed into tensile stresses in the base metal. However, the influence of the LTT effect is not as pronounced as for the longitudinal residual stresses. When considering the dissimilar welds, the residual stress levels are relatively close, with specimen G25-02 exhibiting the highest tensile stresses. In the base metal, however, the residual stress values of all specimens are close to each other. This indicates an indifference regarding used filler wire when looking into the distribution of transverse residual stresses.
EBSD measurements show that a martensitic microstructure is present in the G25-01 weld. At least in the measured area, no retained austenite was detected. With all these measurements, it was proven that a martensitic microstructure was created by the dissimilar material composition.
With all these investigations, it was demonstrated that a reduction in longitudinal tensile residual stresses is possible with dissimilar material combinations. Lower Cr and Ni contents than the typical filler metals used in literature (10% Cr and 10% Ni) are sufficient to reverse the tensile residual stresses. With further reduction in the Ms temperature, higher compressive stresses are induced in the weld. Thus, the residual stress level within a weld can be manipulated by means of targeted alloying.
For further investigations, the residual stress distribution at the root of the weld needs to be measured. Measurements at higher depth are only possible with a bigger drill, which in turn would mean that the stress measurement will be less precise. Mechanical tests such as notch impact tests or tensile tests both transverse and longitudinal to the weld will be looked into.
Author Contributions
Conceptualization, F.A.; validation, F.A., M.G. and A.S.; formal analysis, F.A., M.G. and A.S.; investigation, M.G.; resources, S.O., U.R. and J.M.; data curation, M.G.; writing—original draft preparation, F.A. and A.S.; writing—review and editing, F.A., M.G. and A.S.; visualization, F.A. and M.G.; supervision, S.O. and U.R.; project administration, U.R. and J.M.; funding acquisition, U.R. and J.M. All authors have read and agreed to the published version of the manuscript.
Funding
This study is funded by the Deutsche Forschungsgemeinschaft e.V. (DFG, German Research Foundation), grant number: 236616214.
Data Availability Statement
The data used to support the findings of this study are included within the article.
Acknowledgments
The presented investigations were carried out at RWTH Aachen University Welding and Joining Institute ISF within the framework of the Collaborative Research Centre SFB1120-236616214 “Bauteilpräzision durch Beherrschung von Schmelze und Erstarrung in Produktionsprozessen”. The sponsorship and support are gratefully acknowledged.
Conflicts of Interest
The authors declare no conflict of interest. The funders had no role in the design of the study; in the collection, analyses, or interpretation of data; in the writing of the manuscript; or in the decision to publish the results.
References
- Nitschke-Pagel, T.; Wohlfahrt, H. Residual stresses in welded joints—Sources and consequences. In Materials Science Forum; Trans Tech Publications, Ltd.: Freienbach, Switzerland, 2002; pp. 215–226. [Google Scholar] [CrossRef]
- Maddox, S.J. Fatigue Strength of Welded Structures, 2nd ed.; Abington Publishing: Cambridge, MA, USA, 1991; ISBN 1855730138. [Google Scholar]
- Hensel, J. Mean stress correction in fatigue design under consideration of welding residual stress. Weld World 2020, 64, 535–544. [Google Scholar] [CrossRef] [Green Version]
- Dilthey, U. Schweißtechnische Fertigungsverfahren 2: Verhalten der Werkstoffe beim Schweißen, 3rd ed.; Springer: Berlin/Heidelberg, Germany, 2005; ISBN 3-540-21674-X. [Google Scholar]
- Kromm, A.; Böllinghaus, T. Umwandlungsverhalten und Eigenspannungen beim Schweißen Neuartiger LTT-Zusatzwerkstoffe; Bundesanstalt für Materialforschung und -Prüfung (BAM): Berlin, Germany, 2011; ISBN 978-3-9813853-9-7. [Google Scholar]
- Wohlfahrt, H.; Nitschke-Pagel, T.; Kaßner, M. Schweißbedingte eigenspannungen—Entstehung und erfassung, auswirkung und bewertung. DVS BERICHTE 1997, 187, 6–13. [Google Scholar]
- Ohta, A.; Watanabe, O.; Matsuoka, K.; Siga, C.; Nishijima, S.; Maeda, Y.; Suzuki, N.; Kubo, T. Fatigue strength improvement by using newly developed low transformation temperature welding material. Weld World 1999, 43, 38–42. [Google Scholar]
- Kromm, A.; Dixneit, J.; Kannengiesser, T. Residual stress engineering by low transformation temperature alloys—State of the art and recent developments. Weld World 2014, 58, 729–741. [Google Scholar] [CrossRef]
- Wohlfahrt, H. Die Bedeutung der Austenitumwandlung für die Eigenspannungsentstehung beim Schweißen. Härterei Tech. Mittelungen 1986, 41, 248–257. [Google Scholar] [CrossRef]
- Akyel, F.; Olschok, S.; Reisgen, U. Reduction of distortion by using the low transformation temperature effect for high alloy steels in electron beam welding. Weld World 2020, 65, 23–34. [Google Scholar] [CrossRef]
- Akyel, F.; Gamerdinger, M.; Olschok, S.; Reisgen, U.; Schwedt, A.; Mayer, J. Adjustment of chemical composition with dissimilar filler wire in 1.4301 austenitic stainless steel to influence residual stress in laser beam welds. J. Adv. Join. Process. 2022, 5, 100081. [Google Scholar] [CrossRef]
- Totten, G.E. Steel Heat Treatment Handbook, 2nd ed.; CRC Press: Boca Raton, FL, USA, 2007; ISBN 9780849384523. [Google Scholar]
- A01 Committee. Practice for Quantitative Measurement and Reporting of Hypoeutectoid Carbon and Low-Alloy Steel Phase Transformations; ASTM International: West Conshohocken, PA, USA, 2018. [Google Scholar]
- Hosseini, S.A.; Gheisari, K.; Moshayedi, H.; Warchomicka, F.; Enzinger, N. Basic alloy development of low-transformation-temperature fillers for AISI 410 martensitic stainless steel. Sci. Technol. Weld. Join. 2020, 25, 243–250. [Google Scholar] [CrossRef]
- Wu, S.; Wang, D.; Zhang, Z.; Li, C.; Liu, X.; Meng, X.; Feng, Z.; Di, X. Mechanical properties of low-transformation-temperature weld metals after low-temperature postweld heat treatment. Sci. Technol. Weld. Join. 2019, 24, 112–120. [Google Scholar] [CrossRef]
- Ryde, L. Application of EBSD to analysis of microstructures in commercial steels. Mater. Sci. Technol. 2006, 22, 1297–1306. [Google Scholar] [CrossRef]
- Zaefferer, S.; Romano, P.; Friedel, F. EBSD as a tool to identify and quantify bainite and ferrite in low-alloyed Al-TRIP steels. J. Microsc. 2008, 230, 499–508. [Google Scholar] [CrossRef] [PubMed]
- Pinard, P.T.; Schwedt, A.; Ramazani, A.; Prahl, U.; Richter, S. Characterization of dual-phase steel microstructure by combined submicrometer EBSD and EPMA carbon measurements. Microsc. Microanal. 2013, 19, 996–1006. [Google Scholar] [CrossRef] [PubMed]
Publisher’s Note: MDPI stays neutral with regard to jurisdictional claims in published maps and institutional affiliations. |
© 2022 by the authors. Licensee MDPI, Basel, Switzerland. This article is an open access article distributed under the terms and conditions of the Creative Commons Attribution (CC BY) license (https://creativecommons.org/licenses/by/4.0/).














