Study on the Characteristics of Coherent Supersonic Jet with Superheated Steam
Abstract
:1. Introduction
2. Combustion Experiments
3. Numerical Simulations
3.1. Governing Equations
3.2. Standard k-ε Model
3.3. Thermal Radiation Model
3.4. Calculation Area and Boundary Conditions
4. Results and Discussion
4.1. Velocity Distribution
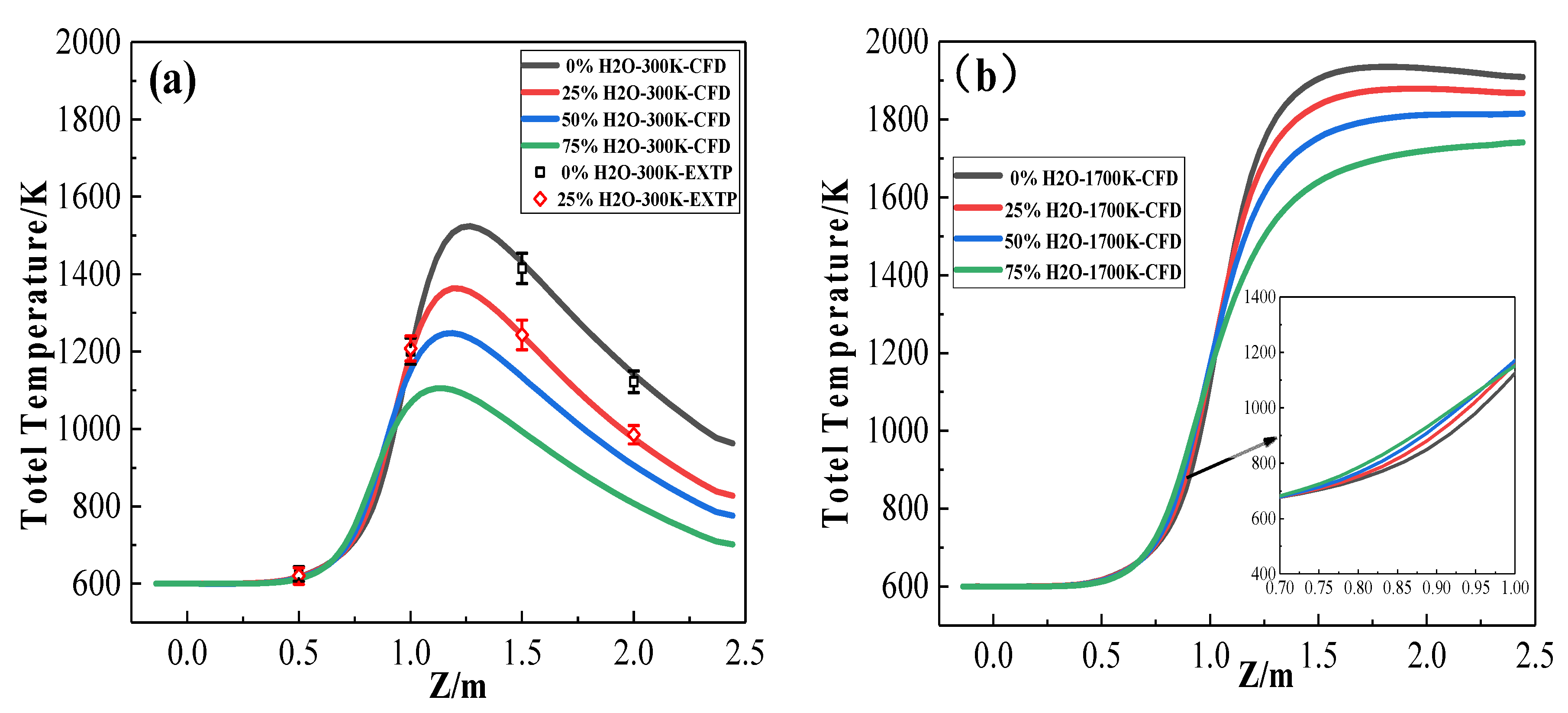
4.2. Temperature Distribution
4.3. Vorticity and the Turbulent Kinetic Energy Distribution
4.4. Material Mass Distribution
5. Conclusions
Author Contributions
Funding
Data Availability Statement
Conflicts of Interest
References
- Wei, G.; Zhu, R.; Wu, X.; Yang, L.; Dong, K.; Cheng, T.; Tang, T. Study on the fluid flow characteristics of coherent jets with CO2 and O2 mixed injection in electric arc furnace steelmaking processes. Metall. Mater. Trans. B 2018, 49, 1405–1420. [Google Scholar] [CrossRef]
- Wei, G.; Zhu, R.; Cheng, T.; Dong, K.; Yang, L.; Tang, T.; Wu, X. Effect of main gas composition on flow field characteristics of supersonic coherent jets with CO2 and O2 mixed injection (COMI) at steelmaking temperature. ISIJ Int. 2018, 58, 842–851. [Google Scholar] [CrossRef] [Green Version]
- Zhao, F.; Sun, D.; Zhu, R.; Yang, L. Effect of shrouding gas parameters on characteristics of supersonic coherent jet. Metall. Mater. Trans. B 2017, 48, 1807–1816. [Google Scholar] [CrossRef]
- Cheng, T.; Zhu, R.; Dong, K. Effect of methane-hydrogen mixtures on flow and combustion of coherent jets. J. Iron Steel Res. Int. 2017, 24, 1143–1151. [Google Scholar] [CrossRef]
- Hu, S.; Zhu, R.; Dong, K.; Liu, R. Numerical Simulation and Industrial Experimental Research on the Coherent Jet with “CH4 + N2” Mixed Fuel Gas. Metall. Mater. Trans. B 2018, 49, 2584–2598. [Google Scholar] [CrossRef]
- Prabakar, S.M.; Panchabudhe, L.M.; Muruganandam, T.M.; Sundararajan, T. A study on the performance characteristics of two-stream supersonic diffusers. Aerosp. Sci. Technol. 2019, 95, 105470. [Google Scholar] [CrossRef]
- Zhang, J.; Mi, J.; Li, P.; Wang, F.; Dally, B.B. Moderate or intense low-oxygen dilution combustion of methane diluted by CO2 and N2. Energ Fuel 2015, 29, 4576–4585. [Google Scholar] [CrossRef]
- Alam, M.; Naser, J.; Brooks, G. Computational fluid dynamics simulation of supersonic oxygen jet behavior at steelmaking temperature. Metall. Mater. Trans. B 2010, 41, 636–645. [Google Scholar] [CrossRef]
- Li, M.; Li, Q.; Kuang, S.; Zou, Z. Determination of cavity dimensions induced by impingement of gas jets onto a liquid bath. Metall. Mater. Trans. B 2016, 47, 116–126. [Google Scholar] [CrossRef]
- Alam, M.; Naser, J.; Brooks, G.; Fontana, A. Computational fluid dynamics modeling of supersonic coherent jets for electric arc furnace steelmaking process. Metall. Mater. Trans. B 2010, 41, 1354–1367. [Google Scholar] [CrossRef]
- Tang, G.; Chen, Y.; Silaen, A.K.; Krotov, Y.; Riley, M.F.; Zhou, C.Q. Effects of fuel input on coherent jet length at various ambient temperatures. Appl. Therm. Eng. 2019, 153, 513–523. [Google Scholar] [CrossRef]
- Liu, F.; Sun, D.; Zhu, R.; Li, Y. Characteristics of flow field for supersonic oxygen multijets with various laval nozzle structures. Metall. Mater. Trans. B 2019, 50, 2362–2376. [Google Scholar] [CrossRef]
- Faheem, M.; Khan, A.; Kumar, R.; Khan, S.A.; Asrar, W.; Sapardi, A.M. Experimental study on the mean flow characteristics of a supersonic multiple jet configuration. Aerosp. Sci. Technol. 2021, 108, 106377. [Google Scholar] [CrossRef]
- Fruehan, R.J.; Belton, G.R.; Mannion, F.J.; Sasaki, Y. Rate of decarburization of iron-carbonsat melts by water vapor at 1523 and 1873 K. Metall. Mater. Trans. B 1992, 23, 45–51. [Google Scholar] [CrossRef]
- Ni, S.; Cang, D.; Li, Z.; Ouyang, C. Experimental study ond ust redutc ion in BOF steelm aking wi th oxygen-steam mixing injection. Energy Metall. Ind. 2015, 34, 12–15. [Google Scholar] [CrossRef]
- Faheem, M.; Khan, A.; Kumar, R.; Khan, S.A.; Asrar, W.; Sapardi, M.A.M. Estimation of Mach numbers in supersonic jets using schlieren images. Mater. Today Proc. 2021, 46, 2673–2676. [Google Scholar] [CrossRef]
- Magnussen, B. On the structure of turbulence and a generalized eddy dissipation concept for chemical reaction in turbulent flow. In Proceedings of the 19th Aerospace Sciences Meeting, St. Louis, MO, USA, 12–15 January 1981; American Institute of Aeronautics and Astronautics: Reston, VA, USA, 1981. [Google Scholar] [CrossRef]
- Wang, F.; Mi, J.; Li, P.; Zheng, C. Diffusion flame of a CH4/H2 jet in hot low-oxygen coflow. Int. J. Hydrog. Energy 2011, 36, 9267–9277. [Google Scholar] [CrossRef]
- Hardin, J.C. Book Review: Mathematical models of turbulence 1972. 1972, B.E. Launder and D. B. Spalding. London: Academic Press Inc. (London) Limited. Paper, 169pp., £2.50. J. Sound Vib. 1972, 25, 651. [Google Scholar] [CrossRef]
- Mathur, S.R.; Murthy, J.Y. Coupled ordinates method for multigrid acceleration of radiation calculations. J. Thermophys. Heat Transf. 1999, 13, 467–473. [Google Scholar] [CrossRef]
- Modest, M.F. Radiative Heat Transfer, 2nd ed.; Academic Press: New York, NY, USA, 2003. [Google Scholar] [CrossRef]
- Wei, Z.; Zhang, H.; Ren, Y.; Li, Q.; Cai, X.; Song, Y.; Kang, L. Study on the characteristics of the pressure fluctuations and their contribution to turbulence kinetic energy. Atmos. Res. 2021, 258, 105634. [Google Scholar] [CrossRef]


















| Parameters | Values |
|---|---|
| Laval nozzle | |
| Nozzle Convergent Length (mm) | 32 |
| Nozzle Divergent Length (mm) | 46 |
| Throat Diameter (dt) (mm) | 27 |
| Exit Diameter (de) (mm) | 35 |
| Inlet Diameter (di) (mm) | 52 |
| Designed Mach Number at Nozzle Exit | 2.0 |
| Main Oxygen Inlet | |
| Mass Flow Rate | 1.0714 kg/s |
| Total Temperature | 600 K |
| Volume Fractions | Shown in Table 2 |
| Shrouding Oxygen Inlet | |
| Mass Flow Rate | 0.079365 kg/s |
| Total Temperature | 298 K |
| Volume Fractions | O2: 100 pct |
| Fuel Gas Inlet | |
| Mass Flow Rate | 0.079365 kg/s |
| Total Temperature | 298 K |
| Volume Fractions | CH4: 100 pct |
| Outlet | |
| Static Pressure | 101,325 Pa |
| Wall | |
| No-Slip, Fixed Temperature | 298 K |
| Label | Volume Flow Rate (Nm3/h) | Mass Flow Rate (kg/s) | Volume Fraction (Pct) |
|---|---|---|---|
| 0 pct H2O | 2700 | 1.0714 | O2 100 H2O 0 |
| 25 pct H2O | 2700 | 0.9542 | O2 75 H2O 25 |
| 50 pct H2O | 2700 | 0.8371 | O2 50 H2O 50 |
| 75 pct H2O | 2700 | 0.7199 | O2 25 H2O 75 |
| Ambient Temperature 300 K | Ambient Temperature 1700 K | |||||
|---|---|---|---|---|---|---|
| Z/mm | CFD m/s | EXPT m/s | Deviation/% | CFD m/s | EXPT m/s | Deviation/% |
| 500 | 462 | 458 | 0.8 | 458 | 448 | 2.2 |
| 494 | 482 | 2.4 | 493 | 501 | 1.6 | |
| 1000 | 449 | 455 | 1.3 | 441 | 432 | 2.1 |
| 471 | 463 | 1.7 | 470 | 475 | 1.0 | |
| 1500 | 335 | 331 | 1.2 | 363 | 351 | 3.4 |
| 260 | 267 | 2.6 | 371 | 359 | 3.3 | |
| 2000 | 193 | 196 | 1.5 | 244 | 253 | 4.3 |
| 140 | 142 | 1.4 | 248 | 258 | 3.9 | |
| Average | 1.6 | 2.7 | ||||
Publisher’s Note: MDPI stays neutral with regard to jurisdictional claims in published maps and institutional affiliations. |
© 2022 by the authors. Licensee MDPI, Basel, Switzerland. This article is an open access article distributed under the terms and conditions of the Creative Commons Attribution (CC BY) license (https://creativecommons.org/licenses/by/4.0/).
Share and Cite
Li, X.; Wei, G.; Zhu, R.; Tian, B.; Zhao, R.; Lan, X. Study on the Characteristics of Coherent Supersonic Jet with Superheated Steam. Metals 2022, 12, 835. https://doi.org/10.3390/met12050835
Li X, Wei G, Zhu R, Tian B, Zhao R, Lan X. Study on the Characteristics of Coherent Supersonic Jet with Superheated Steam. Metals. 2022; 12(5):835. https://doi.org/10.3390/met12050835
Chicago/Turabian StyleLi, Xin, Guangsheng Wei, Rong Zhu, Bohan Tian, Ruimin Zhao, and Xinyi Lan. 2022. "Study on the Characteristics of Coherent Supersonic Jet with Superheated Steam" Metals 12, no. 5: 835. https://doi.org/10.3390/met12050835
APA StyleLi, X., Wei, G., Zhu, R., Tian, B., Zhao, R., & Lan, X. (2022). Study on the Characteristics of Coherent Supersonic Jet with Superheated Steam. Metals, 12(5), 835. https://doi.org/10.3390/met12050835
