Electrochemical Corrosion Resistance of Mg Alloy ZK60 in Different Planes with Respect to Extrusion Direction
Abstract
:1. Introduction
2. Experimental Details
2.1. Test Alloy
2.2. Alloy Microstructure
2.3. Electrochemical Corrosion Measurement
3. Results and Discussion
3.1. Microstructure and Phase Composition of Extruded ZK60
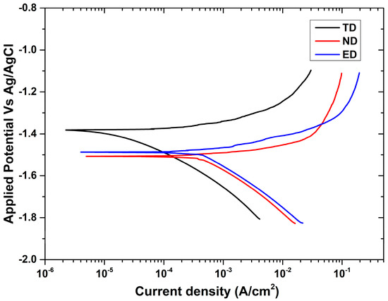
3.2. Corrosion Resistance of Extruded ZK60 in Different Planes
4. Conclusions
- The TD plane was found to show considerably superior corrosion resistance than the ED and ND planes. The trend in corrosion resistance was TD > ED > ND.
- The superior corrosion resistance of the TD plane is attributed to the greater likelihood of unfragmented secondary precipitates in this plane (than in ED and ND planes).
- A specific heat treatment of ED samples that was designed to facilitate the development of a continuous network of secondary precipitates (which is reported in the literature to enhance the corrosion resistance of Mg alloys) was indeed found to considerably improve the corrosion resistance of the ED alloy.
- Observation of the microstructure by scanning electron microscopy of ED and heat-treated ED samples provides preliminary confirmation of the mechanistic explanation.
Author Contributions
Funding
Institutional Review Board Statement
Informed Consent Statement
Data Availability Statement
Conflicts of Interest
References
- Jiang, Q.; Ma, X.; Zhang, K.; Li, Y.; Li, X.; Li, Y.; Ma, M.; Hou, B. Anisotropy of the crystallographic orientation and corrosion performance of high-strength AZ80 Mg alloy. J. Magnes. Alloy. 2015, 3, 309–314. [Google Scholar] [CrossRef] [Green Version]
- Zenga, R.; Kainer, K.U.; Blawert, C.; Dietzel, W. Corrosion of an extruded magnesium alloy ZK60 component—The role of microstructural features. J. Alloy. Compd. 2011, 509, 4462–4469. [Google Scholar] [CrossRef]
- Wang, B.J.; Xu, D.K.; Xin, Y.C.; Sheng, L.Y.; Han, E.H. High corrosion resistance and weak corrosion anisotropy of an as-rolled Mg-3Al-1Zn (in wt.%) alloy with strong crystallographic texture. Sci. Rep. 2017, 7, 16014. [Google Scholar] [CrossRef] [PubMed] [Green Version]
- Raman, R.K.S. The role of microstructure in localized corrosion of magnesium alloys. Metall. Mater. Trans. A 2004, 35, 2525. [Google Scholar] [CrossRef]
- Pebere, N.; Riera, C.; Dabosi, F. Investigation of magnesium corrosion in aerated sodium sulfate solution by electrochemical impedance spectroscopy. Electrochim. Acta 1990, 35, 555. [Google Scholar] [CrossRef]
- Pardo, A.; Merino, M.C.; Coy, A.E.; Arrabal, R.; Viejo, F.; Matykina, E. Corrosion behaviour of magnesium/aluminium alloys in 3.5 wt.% NaCl. Corros. Sci. 2008, 50, 823. [Google Scholar] [CrossRef]
- Das, S.K.; Davis, L.A. High performance aerospace alloys via rapid solidification processing. Mater. Sci. Eng. 1988, 98, 1. [Google Scholar] [CrossRef]
- Song, G.; Atrens, A.; Xianliang, W.; Zhang, B. Corrosion behaviour of AZ21, AZ501 and AZ91 in sodium chloride. Corros. Sci. 1998, 40, 1769. [Google Scholar] [CrossRef]
- Song, G.; Atrens, A.; Dargusch, M. Influence of microstructure on the corrosion of diecast AZ91D. Corros. Sci. 1998, 41, 249. [Google Scholar] [CrossRef]
- Zhao, M.C.; Liu, M.; Song, G.L.; Atrens, A. Influence of Microstructure on Corrosion of As-cast ZE41. Adv. Eng. Mater. 2008, 10, 104. [Google Scholar] [CrossRef]
- Neil, W.C.; Forsyth, M.; Howlett, P.C.; Hutchinson, C.R.; Hinton, B.R.W. Corrosion of magnesium alloy ZE41—The role of microstructural features. Corros. Sci. 2009, 51, 387. [Google Scholar] [CrossRef]
- Neil, W.C.; Forsyth, M.; Howlett, P.C.; Hutchinson, C.R.; Hinton, B.R.W. Corrosion of heat treated magnesium alloy ZE41. Corros. Sci. 2011, 53, 3299. [Google Scholar] [CrossRef]
- Izumi, S.; Yamasaki, M.; Kawamura, Y. Relation between corrosion behavior and microstructure of Mg-Zn-Y alloys prepared by rapid solidification at various cooling rates. Corros. Sci. 2009, 51, 395. [Google Scholar] [CrossRef]
- Makar, G.L.; Kruger, J. Corrosion Studies of Rapidly Solidified Magnesium Alloys. J. Electrochem. Soc. 1990, 137, 414. [Google Scholar] [CrossRef]
- Qian, M.; Li, D.; Jin, C. Microstructure and corrosion characteristics of laser-alloyed magnesium alloy AZ91D with Al-Si powder. Sci. Technol. Adv. Mat. 2008, 9, 025002. [Google Scholar] [CrossRef] [Green Version]
- Volovitch, P.; Masse, J.E.; Fabre, A.; Barrallier, L.; Saikaly, W. Microstructure and corrosion resistance of magnesium alloy ZE41 with laser surface cladding by Al-Si powder. Surf. Coat. Technol. 2008, 202, 4901. [Google Scholar] [CrossRef]
- Gao, Y.; Wang, C.; Lin, Q.; Liu, H.; Yao, M. Broad-beam laser cladding of Al-Si alloy coating on AZ91HP magnesium alloy. Surf. Coat. Technol. 2006, 201, 2701. [Google Scholar] [CrossRef]
- Subramanian, R.; Sircar, S.; Mazumdar, J. Laser cladding of zirconium on magnesium for improved corrosion properties. J. Mater. Sci. 1991, 26, 951. [Google Scholar] [CrossRef]
- Wang, A.A.; Sircar, S.; Mazumder, J. Laser cladding of Mg-AI alloys. J. Mater. Sci. 1993, 28, 5113. [Google Scholar] [CrossRef]
- Majumdar, J.D.; Galun, R.; Mordike, B.L.; Manna, I. Effect of laser surface melting on corrosion and wear resistance of a commercial magnesium alloy. Mater. Sci. Eng. A 2003, 361, 119. [Google Scholar] [CrossRef]
- Coy, A.E.; Viejo, F.; Garcia-Garcia, F.J.; Liu, Z.; Skeldon, P.; Thompson, G.E. Effect of excimer laser surface melting on the microstructure and corrosion performance of the die cast AZ91D magnesium alloy. Corros. Sci. 2010, 52, 387. [Google Scholar] [CrossRef]
- Guan, Y.C.; Zhou, W.; Zheng, H.Y. Effect of laser surface melting on corrosion behaviour of AZ91D Mg alloy in simulated-modified body fluid. J. Appl. Electrochem. 2009, 39, 1457. [Google Scholar] [CrossRef]
- Gao, Y.; Wang, C.; Yao, M.; Liu, H. Corrosion behavior of laser melted AZ91HP magnesium alloy. Mater. Corros. 2007, 58, 463. [Google Scholar] [CrossRef]
- Guo, L.F.; Yue, T.M.; Man, H.C. Excimer laser surface treatment of magnesium alloy WE43 for corrosion resistance improvement. J. Mater. Sci. 2005, 40, 3531. [Google Scholar] [CrossRef]
- Liu, S.Y.; Hu, J.D.; Yang, Y.; Guo, Z.X.; Wang, H.Y. Microstructure analysis of magnesium alloy melted by laser irradiation. Appl. Surf. Sci. 2005, 252, 1723. [Google Scholar] [CrossRef]
- Abbas, G.; Liu, Z.; Skeldon, P. Corrosion behaviour of laser-melted magnesium alloys. Appl. Surf. Sci. 2005, 247, 347. [Google Scholar] [CrossRef]
- Raman, R.K.S.; Murray, S.; Brandt, M. Laser assisted modification of surface microstructure for localised corrosion resistance of magnesium alloys. Surf. Eng. 2007, 23, 107. [Google Scholar] [CrossRef]
- Koutsomichalis, A.; Saettas, L.; Badekas, H. Laser treatment of magnesium. J. Mater. Sci. 1994, 29, 6543. [Google Scholar] [CrossRef]
- Dubé, D.; Fiset, M.; Couture, A.; Nakatsugawa, I. Characterization and performance of laser melted AZ91D and AM60B. Mater. Sci. Eng. A 2001, 299, 38. [Google Scholar] [CrossRef]
- Majumdar, J.D.; Maiwald, T.; Galun, R.; Mordike, B.L.; Manna, I. Laser Surface Alloying of an Mg Alloy with Al + Mn to Improve Corrosion Resistance. Laser. Eng. 2002, 12, 147. [Google Scholar] [CrossRef]
- Banerjee, P.C.; Raman, R.K.S.; Durandet, Y.; McAdam, G. Electrochemical investigation of the influence of laser surface melting on the microstructure and corrosion behaviour of ZE41 magnesium alloy—An EIS based study. Corros. Sci. 2011, 53, 1505. [Google Scholar] [CrossRef]
- Durandet, Y.; Sun, S.; Brandt, M. Microstructure of Laser Treated ZE41A-T5 Magnesium Alloy. Mater. Sci. Forum. 2010, 654, 759–762. [Google Scholar] [CrossRef]
- Bertolini, R.; Bruschi, S.; Ghiotto, A.; Pezzato, L.; Dabala, M. Large Scale Extrusion Machining of Magnesium Alloys for Bioimplant Applications. Proceedia CIRP 2018, 71, 105–110. [Google Scholar] [CrossRef]






| Orientation | Average Grain Size (μm) | Aspect Ratio |
|---|---|---|
| Extrusion direction (ED) | 19 ± 1 | 1.5 |
| Transverse to extrusion (TD) | 13 ± 1 | 1 |
| Normal to extrusion (ND) | 20 ± 1 | 2 |
| Orientation | Icorr (μA/cm2) | Corrosion Rate (mmpy) |
|---|---|---|
| Transverse to extrusion (TD) | 73.69 ± 13.99 | 65 |
| Normal to extrusion (ND) | 526.33 ± 41.18 | 466 |
| Extrusion direction (ED) | 361.14 ± 87.96 | 320 |
| ED + 450 °C/1 h (ED + HT) | 0.02 ± 0.0005 | 1.8 × 10−2 |
Publisher’s Note: MDPI stays neutral with regard to jurisdictional claims in published maps and institutional affiliations. |
© 2022 by the authors. Licensee MDPI, Basel, Switzerland. This article is an open access article distributed under the terms and conditions of the Creative Commons Attribution (CC BY) license (https://creativecommons.org/licenses/by/4.0/).
Share and Cite
Keerthiga, G.; Vijayshankar, D.; Prasad, M.; Peron, M.; Albinmousa, J.; Singh Raman, R. Electrochemical Corrosion Resistance of Mg Alloy ZK60 in Different Planes with Respect to Extrusion Direction. Metals 2022, 12, 782. https://doi.org/10.3390/met12050782
Keerthiga G, Vijayshankar D, Prasad M, Peron M, Albinmousa J, Singh Raman R. Electrochemical Corrosion Resistance of Mg Alloy ZK60 in Different Planes with Respect to Extrusion Direction. Metals. 2022; 12(5):782. https://doi.org/10.3390/met12050782
Chicago/Turabian StyleKeerthiga, G., Dandapani Vijayshankar, MJNV Prasad, Mirco Peron, Jafar Albinmousa, and RK Singh Raman. 2022. "Electrochemical Corrosion Resistance of Mg Alloy ZK60 in Different Planes with Respect to Extrusion Direction" Metals 12, no. 5: 782. https://doi.org/10.3390/met12050782
APA StyleKeerthiga, G., Vijayshankar, D., Prasad, M., Peron, M., Albinmousa, J., & Singh Raman, R. (2022). Electrochemical Corrosion Resistance of Mg Alloy ZK60 in Different Planes with Respect to Extrusion Direction. Metals, 12(5), 782. https://doi.org/10.3390/met12050782

