Numerical Study on Elastic Buckling Behavior of Diagonally Stiffened Steel Plate Walls under Combined Shear and Non-Uniform Compression
Abstract
:1. Introduction
2. Elastic Buckling Coefficient and Interaction Formula
2.1. Elastic Buckling Stresses for Unstiffened Plate
2.2. Interaction Formula of Unstiffened Plate
2.3. Elastic Buckling Coefficient of Diagonally Stiffened Plate in Single Load Action
3. Description of Numerical Model
3.1. Definition of Parameters
3.2. Finite Element Model
3.3. Verification of Boundary Conditions
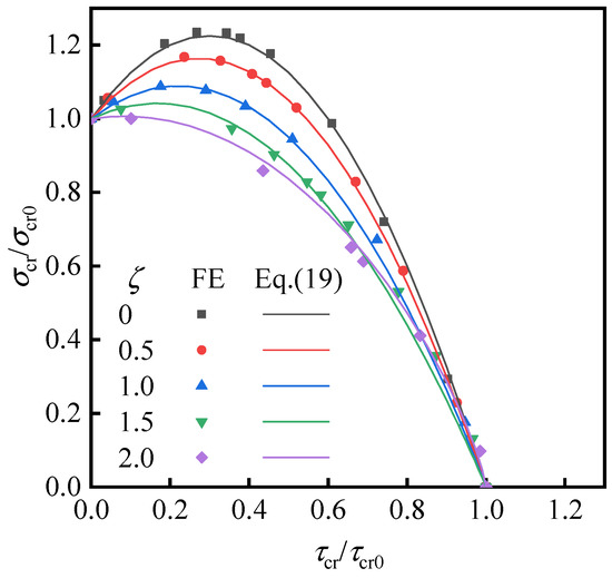
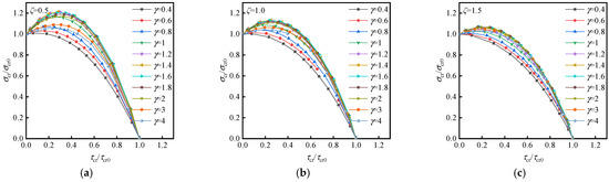
4. Interaction Curves for Diagonally Stiffened Plate
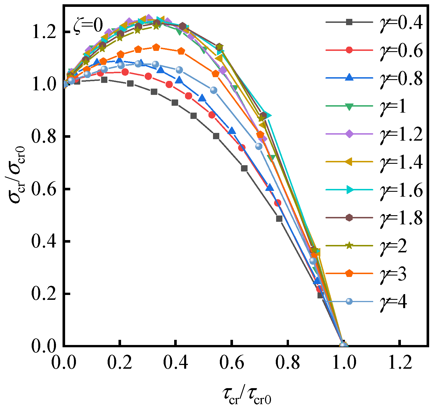
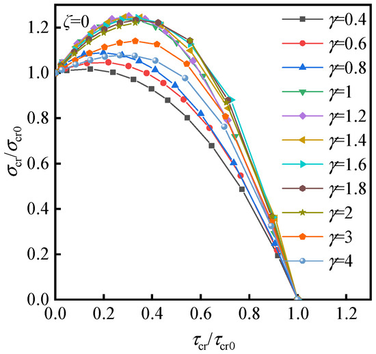
4.1. Combined Shear and Axial Compression ζ = 0
4.2. Combined Shear and Non-Uniform Compression 0 < ζ < 2
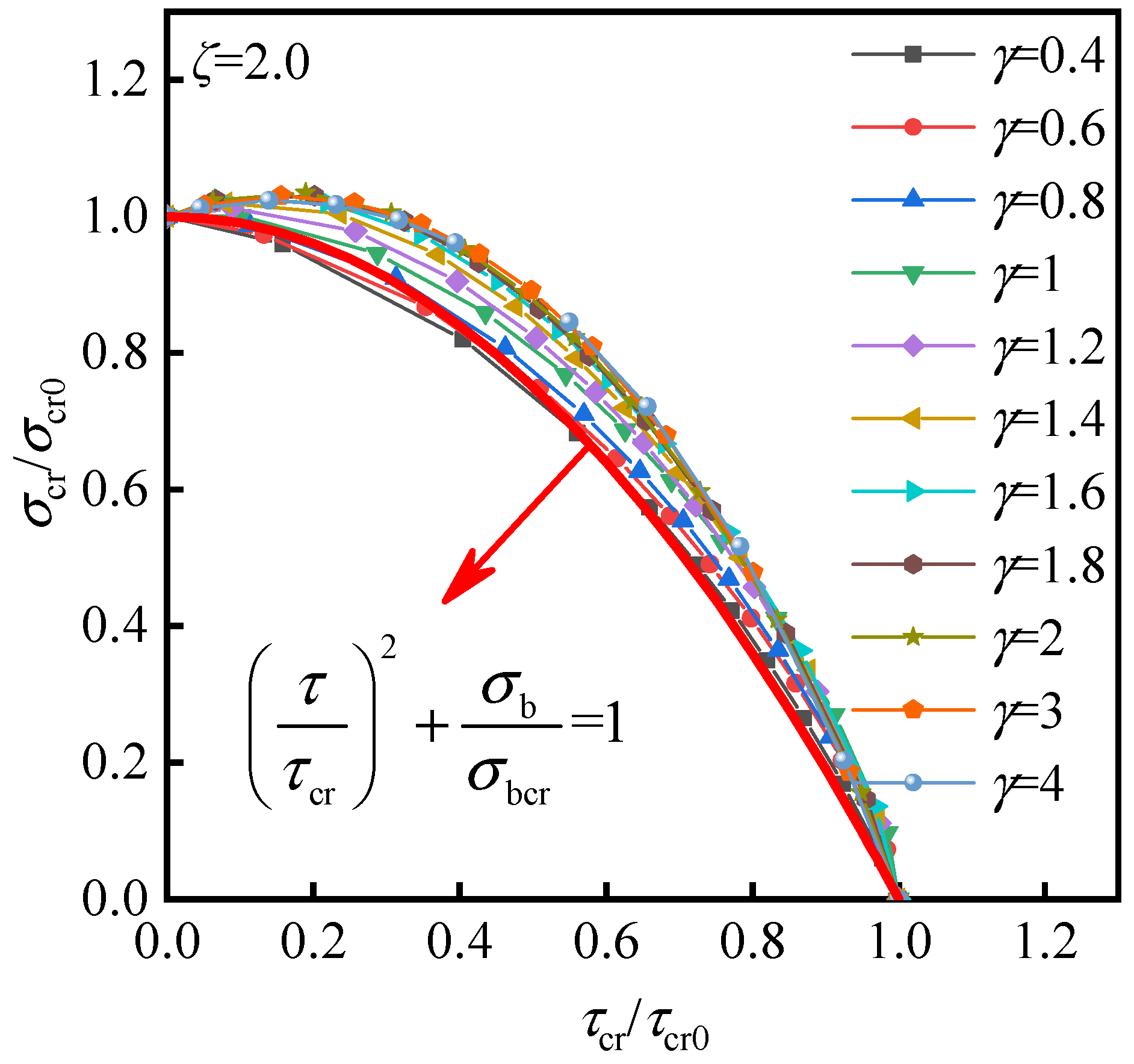
4.3. Combined Shear and Bending ζ = 2.0
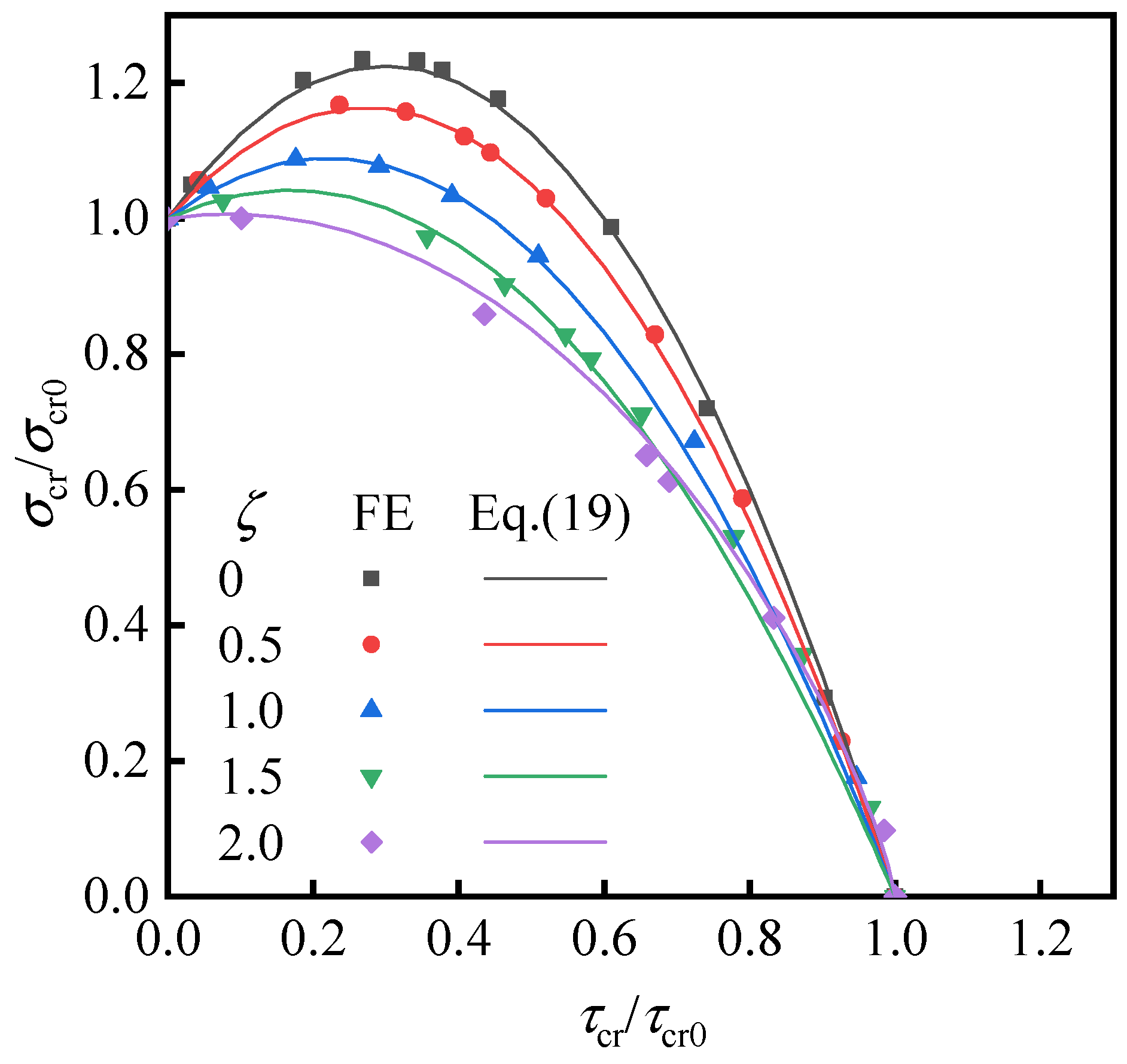
4.4. Effect of ζ on Interaction Curves
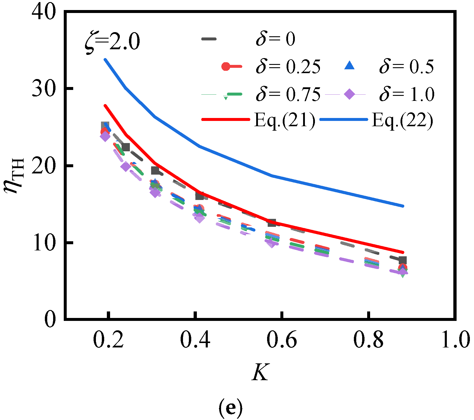
5. Threshold Stiffness of DS-SPW
5.1. Buckling Mode of DS-SPW
5.2. Buckling Stress of Stiffened Plate under Combined Action
5.3. Threshold Stiffness
6. Conclusions
- (1)
 - The elastic buckling behavior of the diagonally stiffened plate under combined shear and non-uniform compression is analyzed. The interaction curves of a plate under combined action are parabolic, and the aspect ratio γ and the non-uniform compression distribution factor ζ obviously affect the shape of the parabolas. The larger the factor ζ is, the more the parabola moves toward the origin point and the axis of symmetry of the parabola is closer to the Y-axis. As the aspect ratio increases 0.4 < γ < 1.2, the interaction curve moves away from the origin point; when the aspect ratio continues to increase 1.2 < γ < 2.0, the interaction curve is closer to the origin point, and the change is not obvious; as the aspect ratio continues to increase 2.0 < γ < 4.0, the curve moves closer to the origin point. When γ = 1.0, the interaction equations of diagonally stiffened plate combined shear and non-uniform compression, considering the non-uniform compression distribution factor ζ and the compression-to-shear ratio δ, are given; moreover, the equation of critical elastic buckling coefficient of that are also given;
 - (2)
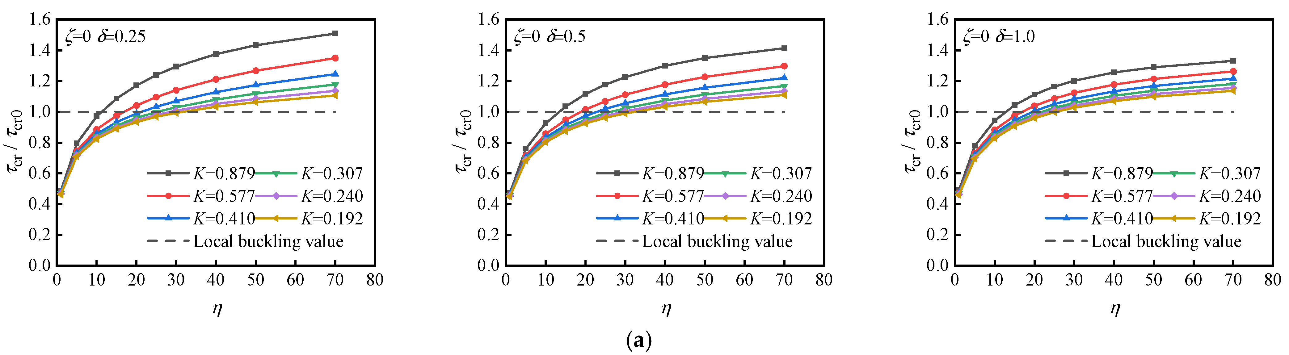
 - The effect of stiffener’s torsional-to-flexural stiffness ratio K on the elastic buckling stresses of stiffened plates is investigated. With the increase of the stiffener-to-plate flexural stiffness ratio η, the buckling stress of the stiffened plate with diagonal tension increases rapidly and then tends towards a certain value. The buckling stress of the stiffened plate with diagonal compression increases with η, which is due to the diagonal stiffeners assuming the role of compression bars. As K and ζ increase, the buckling stress of the structure increases, whereas, an increase in δ decreases the buckling stress of the structure;
 - (3)
 - The effects of ζ, K, and δ on the threshold stiffness ηTH are analyzed. The threshold stiffness of the structure decreases when K and ζ increase. When 1.0 < ζ < 2.0, increasing δ can reduce the threshold stiffness of the structure, at which time the threshold stiffness under combined action is lower than that under pure shear action. When ζ = 0, the threshold stiffness of the structure under the combined axial compression and shear is 40% higher than that under pure shear. At this time, if the threshold stiffness in pure shear will not ensure that the structure meets the requirements of the critical local buckling stress, the global buckling will occur and it is unsafe. Therefore, the calculation of threshold stiffness is given in favor of safety.
 
Author Contributions
Funding
Institutional Review Board Statement
Informed Consent Statement
Data Availability Statement
Conflicts of Interest
References
- Aghayari, R.; Dardaei, S. Evaluating the effect of the thickness and yield point of steel on the response modification factor of RC frames braced with steel plate. KSCE J. Civ. Eng. 2018, 22, 1865–1871. [Google Scholar] [CrossRef]
 - Youssef, N.; Wilkerson, R.; Fischer, K.; Tunick, D. Seismic performance of a 55-storey steel plate shear wall. Struct. Des. Tall Spec. Build. 2010, 19, 139–165. [Google Scholar] [CrossRef]
 - Lee, S.; Wang, D.; Liao, Y.; Mathias, N. Performance based seismic design of a 75 story buckling restrained slender steel plate shear wall tower. In Structures Congress, Proceedings of Structures Congress 2010, Orlando, FL, USA, 12–15 May 2010; American Society of Civil Engineers: Reston, VA, USA, 2010; pp. 2871–2884. [Google Scholar]
 - Thorburn, L.J.; Kulak, G.L.; Montgomery, C.J. Analysis of steel plate shear walls. In Structural Engineering Report. No.107; Department of Civil Engineering, University of Alberta: Edmonton, AB, Canada, 1983. [Google Scholar]
 - Lubell, A.S.; Prion, H.G.L.; Ventura, C.E.; Rezai, M. Unstiffened steel plate shear wall performance under cyclic loading. J. Struct. Eng.-ASCE 2000, 126, 453–460. [Google Scholar] [CrossRef]
 - Wang, M.; Zhang, X.; Yang, L.; Yang, W. Cyclic performance for low-yield point steel plate shear walls with diagonal T-shaped-stiffener. J. Constr. Steel Res. 2020, 171, 106163. [Google Scholar] [CrossRef]
 - Alavi, E.; Nateghi, F. Experimental study of diagonally stiffened steel plate shear walls. J. Struct. Eng. 2013, 139, 1795–1811. [Google Scholar] [CrossRef]
 - JGJ/T380-2015 Technical Specification for Steel Plate Shear Walls; China Architecture & Building Press: Beijing, China, 2015.
 - Mu, Z.; Yang, Y. Experimental and numerical study on seismic behavior of obliquely stiffened steel plate shear walls with openings. Thin-Walled Struct. 2020, 146, 106457. [Google Scholar] [CrossRef]
 - Xu, Z.; Tong, G.; Zhang, L. Design of horizontal stiffeners for stiffened steel plate walls in compression. Thin-Walled Struct. 2018, 132, 385–397. [Google Scholar] [CrossRef]
 - Yuan, H.X.; Chen, X.W.; Theofanous, M.; Wu, Y.W.; Cao, T.Y.; Du, X.X. Shear behaviour and design of diagonally stiffened stainless steel plate girders. J. Constr. Steel Res. 2019, 153, 588–602. [Google Scholar] [CrossRef]
 - Xu, Z.; Tong, G.; Zhang, L. Elastic and elastic-plastic threshold stiffness of stiffened steel plate walls in compression. J. Constr. Steel Res. 2018, 148, 138–153. [Google Scholar] [CrossRef]
 - Xu, Z.; Tong, G.; Zhang, L. Design of vertically stiffened steel plate walls under combined uniaxial compression and shear loads. Structures 2020, 26, 348–361. [Google Scholar] [CrossRef]
 - Xu, Z.; Tong, G.; Zhang, L. Stiffness demand on stiffeners of vertically stiffened steel plate shear wall. J. Struct. Eng.-ASCE 2020, 146, 06020005. [Google Scholar] [CrossRef]
 - Vu, Q.; Papazafeiropoulos, G.; Graciano, C.; Kim, S. Optimum linear buckling analysis of longitudinally multi-stiffened steel plates subjected to combined bending and shear. Thin-Walled Struct. 2019, 136, 235–245. [Google Scholar] [CrossRef]
 - Feng, L.; Sun, T.; Ou, J. Elastic buckling analysis of steel-strip-stiffened trapezoidal corrugated steel plate shear walls. J. Constr. Steel Res. 2021, 184, 106833. [Google Scholar] [CrossRef]
 - Tong, J.; Guo, Y. Elastic buckling behavior of steel trapezoidal corrugated shear walls with vertical stiffeners. Thin-Walled Struct. 2015, 95, 31–39. [Google Scholar] [CrossRef]
 - Yang, Y.; Mu, Z. Elastic shear buckling of steel plate shear walls diagonally stiffened by channel stiffeners. J. Build. Struct. 2019, 41, 182–190. [Google Scholar] [CrossRef]
 - Martins, J.P.; Cardoso, H.S. Elastic shear buckling coefficients for diagonally stiffened webs. Thin-Walled Struct. 2022, 171, 108657. [Google Scholar] [CrossRef]
 - Timoshenko, S.P.; Gere, J.M. Theory of Elastic Stability, 2nd ed.; McGraw-Hill: New York, NY, USA, 1961. [Google Scholar]
 - Bleich, F. Buckling strength of metal structures. In Engineering Societies Monographs; McGraw-Hill: New York, NY, USA, 1952. [Google Scholar]
 - Mikami, I.; Matsushita, S.; Nakahara, H.; Yonezawa, H. Buckling of plate girder webs with diagonal stiffener. Proc. Jpn. Soc. Civ. Eng. 1971, 192, 45–54. (In Japanese) [Google Scholar] [CrossRef]
 - Tong, G. Out-of-Plane Stability of Steel Structures; China Architecture & Building Press: Beijing, China, 2007. [Google Scholar]
 - Li, J.; Lv, J.; Sivakumar, V.; Chen, Y.; Huang, X.; Lv, Y.; Chouw, N. Shear strength of stiffened steel shear walls with considering the gravity load effect through a three-segment distribution. Structures 2021, 29, 265–272. [Google Scholar] [CrossRef]
 

















| Parameter | Value | |||||
|---|---|---|---|---|---|---|
| b/mm | 25 | 50 | 75 | 100 | 125 | 150 | 
| K | 0.879 | 0.577 | 0.410 | 0.307 | 0.240 | 0.192 | 
| Force Conditions | Type | ζ | δ | σFEA /MPa  | σTH /MPa  | σTH/σFEA | 
|---|---|---|---|---|---|---|
| Shear | Unstiffened | - | 0 | 19.30 | 19.32 | 1.001 | 
| Axial compression | Unstiffened | 0 | 1.0 | 8.12 | 8.27 | 1.018 | 
| Non-uniform compression | Unstiffened | 1.0 | 1.0 | 16.05 | 16.12 | 1.004 | 
| Bending | Unstiffened | 2.0 | 1.0 | 52.83 | 52.90 | 1.001 | 
| Combinded shear and non-uniform compression | Unstiffened | 1.0 | 1.0 | 15.99 | 16.16 | 1.011 | 
| Combinded shear and non-uniform compression | Unstiffened | 1.0 | 0.5 | 14.37 | 14.43 | 1.004 | 
| Shear (compression) | Diagonally stiffened | - | 0 | 63.6 | 68.0 | 1.069 | 
| Shear (tension) | Diagonally stiffened | - | 0 | 23.5 | 23.8 | 1.013 | 
| Bending | Diagonally stiffened | 2.0 | 1.0 | 64.5 | 63.1 | 0.978 | 
| Axial compressoion | Diagonally stiffened | 0 | 1.0 | 19.6 | 20.9 | 1.066 | 
| δ | ζ = 0 | ζ = 0.5 | ζ = 1.0 | ζ = 1.5 | ζ = 2.0 | 
|---|---|---|---|---|---|
| 0.25 | 25.4 | 26.3 | 27.3 | 28.5 | 30.0 | 
| 0.5 | 19.3 | 20.8 | 22.4 | 24.3 | 26.6 | 
| 0.75 | 14.8 | 16.5 | 18.4 | 20.7 | 23.5 | 
| 1.0 | 11.6 | 13.3 | 15.3 | 17.7 | 20.7 | 
Publisher’s Note: MDPI stays neutral with regard to jurisdictional claims in published maps and institutional affiliations.  | 
© 2022 by the authors. Licensee MDPI, Basel, Switzerland. This article is an open access article distributed under the terms and conditions of the Creative Commons Attribution (CC BY) license (https://creativecommons.org/licenses/by/4.0/).
Share and Cite
Yang, Y.; Mu, Z.; Zhu, B. Numerical Study on Elastic Buckling Behavior of Diagonally Stiffened Steel Plate Walls under Combined Shear and Non-Uniform Compression. Metals 2022, 12, 600. https://doi.org/10.3390/met12040600
Yang Y, Mu Z, Zhu B. Numerical Study on Elastic Buckling Behavior of Diagonally Stiffened Steel Plate Walls under Combined Shear and Non-Uniform Compression. Metals. 2022; 12(4):600. https://doi.org/10.3390/met12040600
Chicago/Turabian StyleYang, Yuqing, Zaigen Mu, and Boli Zhu. 2022. "Numerical Study on Elastic Buckling Behavior of Diagonally Stiffened Steel Plate Walls under Combined Shear and Non-Uniform Compression" Metals 12, no. 4: 600. https://doi.org/10.3390/met12040600
APA StyleYang, Y., Mu, Z., & Zhu, B. (2022). Numerical Study on Elastic Buckling Behavior of Diagonally Stiffened Steel Plate Walls under Combined Shear and Non-Uniform Compression. Metals, 12(4), 600. https://doi.org/10.3390/met12040600
        
                                                
