Corrosion Effects on Fracture Toughness Properties of Wire Arc Additively Manufactured Low Carbon Steel Specimens
Abstract
:1. Introduction
2. Specimen Fabrication and Preparation Process
3. Crack Length Estimation and J-Parameter Calculation
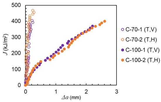
4. Fracture-Toughness Test Results
5. Conclusions
- The corrosive environment reduces the yield stress of the material; hence, load vs. LLD curves show lower trends for corroded specimens for both ER70S-6 and ER100S-1 materials.
- The R curves for corroded specimens are higher than those obtained from specimens without prior corrosion exposure; thus, a greater level of energy is required to propagate cracks in corroded specimens. The JIC value for ER100S-1-corroded specimens is increased, on average, by 61% compared with JIC values on the same material without corrosion exposure.
- The corrosion process alters the mechanical properties in WAAM-built specimens and possibly makes the fatigue cracks blunter, which subsequently leads to improved fracture properties.
- The WAAM technique has been demonstrated to have great potential for employment in offshore applications, particularly manufacturing and repair of offshore wind-turbine structures.
- Tensile properties of corroded specimens need to be investigated in future work in order to improve the construction process of blunting and exclusion lines.
Author Contributions
Funding
Data Availability Statement
Conflicts of Interest
Nomenclature
| a0 | initial crack length in C (T) specimen |
| ai | instantaneous crack length |
| Ap | plastic area |
| ∆a | crack extension |
| B | total thickness of C (T) specimen |
| Be | effective thickness |
| Bn | net thickness between the side grooves |
| Ci | instantaneous unloading compliance |
| E | Young’s modulus |
| H | height of C (T) specimen |
| J | elastic-plastic fracture-mechanics parameter |
| JIC | fracture toughness |
| K | stress-intensity factor |
| W | width of C (T) specimen |
| η | geometry-dependent function |
| ν | Poisson’s ratio |
| σY | yield stress |
| AM | additive manufacturing |
| B | bottom |
| C (T) | compact-tension specimen |
| CMT | cold-metal transfer |
| EDM | electrical discharge machining |
| H | horizontal |
| LLD | load-line displacement |
| T | top |
| V | vertical |
| WAAM | wire + arc additive manufacturing |
References
- Berto, F.; Lazzarin, P. Recent developments in brittle and quasi-brittle failure assessment of engineering materials by means of local approaches. Mater. Sci. Eng. R Rep. 2014, 75, 1–48. [Google Scholar] [CrossRef]
- Pidaparti, R.M.; Rao, A.S. Analysis of pits induced stresses due to metal corrosion. Corros. Sci. 2008, 50, 1932–1938. [Google Scholar] [CrossRef]
- Kainuma, S.; Jeong, Y.-S.; Ahn, J.-H. Investigation on the stress concentration effect at the corroded surface achieved by atmospheric exposure test. Mater. Sci. Eng. A 2014, 602, 89–97. [Google Scholar] [CrossRef]
- Williams, S.; Martina, W.F.; Addison, A.C.; Ding, J.; Pardal, G.; Colegrove, P. Wire + Arc Additive Manufacturing. Mater. Sci. Technol. 2015, 32, 641–647. [Google Scholar] [CrossRef] [Green Version]
- Derekar, K.S. A review of wire arc additive manufacturing and advances in wire arc additive manufacturing of aluminium. Mater. Sci. Technol. 2018, 34, 895–916. [Google Scholar] [CrossRef]
- Haden, C.; Zeng, G.; Carter, F.; Ruhl, C.; Krick, B.; Harlow, D. Wire and arc additive manufactured steel: Tensile and wear properties. Addit. Manuf. 2017, 16, 115–123. [Google Scholar] [CrossRef]
- Marinelli, G.; Martina, F.; Lewtas, H.; Hancock, D.; Ganguly, S.; Williams, S. Functionally graded structures of refractory metals by wire arc additive manufacturing. Sci. Technol. Weld. Join. 2019, 24, 495–503. [Google Scholar] [CrossRef] [Green Version]
- Liljedahl, C.; Brouard, J.; Zanellato, O.; Lin, J.; Tan, M.; Ganguly, S.; Irving, P.; Fitzpatrick, M.; Zhang, X.; Edwards, L. Weld residual stress effects on fatigue crack growth behaviour of aluminium alloy 2024-T351. Int. J. Fatigue 2009, 31, 1081–1088. [Google Scholar] [CrossRef]
- Xu, X.; Ganguly, S.; Ding, J.; Guo, S.; Williams, S.; Martina, F. Microstructural evolution and mechanical properties of maraging steel produced by wire + arc additive manufacture process. Mater. Charact. 2018, 143, 152–162. [Google Scholar] [CrossRef]
- Seow, C.E.; Zhang, J.; Coules, H.E.; Wu, G.; Jones, C.; Ding, J.; Williams, S. Effect of crack-like defects on the fracture be-haviour of Wire + Arc Additively Manufactured nickel-base Alloy 718. Addit. Manuf. 2020, 36, 101578. [Google Scholar]
- Xu, S.-H.; Wang, Y.-D. Estimating the effects of corrosion pits on the fatigue life of steel plate based on the 3D profile. Int. J. Fatigue 2015, 72, 27–41. [Google Scholar] [CrossRef]
- Xu, S.; Wang, H.; Li, A.; Wang, Y.; Su, L. Effects of corrosion on surface characterization and mechanical properties of butt-welded joints. J. Constr. Steel Res. 2016, 126, 50–62. [Google Scholar] [CrossRef]
- Wang, Y.; Xu, S.; Wang, H.; Li, A. Predicting the residual strength and deformability of corroded steel plate based on the corrosion morphology. Constr. Build. Mater. 2017, 152, 777–793. [Google Scholar] [CrossRef]
- Qin, G.-C.; Xu, S.-H.; Yao, D.-Q.; Zhang, Z.-X. Study on the degradation of mechanical properties of corroded steel plates based on surface topography. J. Constr. Steel Res. 2016, 125, 205–217. [Google Scholar] [CrossRef]
- Kim, I.-T.; Dao, D.K.; Jeong, Y.-S.; Huh, J.; Ahn, J.-H. Effect of corrosion on the tension behavior of painted structural steel members. J. Constr. Steel Res. 2017, 133, 256–268. [Google Scholar] [CrossRef]
- Garbatov, Y.; Soares, C.G.; Parunov, J.; Kodvanj, J. Tensile strength assessment of corroded small scale specimens. Corros. Sci. 2014, 85, 296–303. [Google Scholar] [CrossRef]
- Appuhamy, J.M.R.S.; Kaita, T.; Ohga, M.; Fujii, K. Prediction of residual strength of corroded tensile steel plates. Int. J. Steel Struct. 2011, 11, 65–79. [Google Scholar] [CrossRef]
- Ahmmad, M.; Sumi, Y. Strength and deformability of corroded steel plates under quasi-static tensile load. J. Mar. Sci. Technol. 2009, 15, 1–15. [Google Scholar] [CrossRef]
- Wang, H.; Xu, S.; Li, A.; Kang, K. Experimental and numerical investigation on seismic performance of corroded welded steel connections. Eng. Struct. 2018, 174, 10–25. [Google Scholar] [CrossRef]
- Nakai, T.; Matsushita, H.; Yamamoto, N. Effect of pitting corrosion on strength of web plates subjected to patch loading. Thin-Walled Struct. 2006, 44, 10–19. [Google Scholar] [CrossRef]
- Nakai, T.; Matsushita, H.; Yamamoto, N. Effect of Pitting Corrosion on Ultimate Strength of Web Plates Subjected to Shear Loading. Key Eng. Mater. 2007, 340, 489–494. [Google Scholar] [CrossRef]
- Zhang, H.; Xu, S.; Nie, B.; Wen, Y. Effect of corrosion on the fracture properties of steel plates. Constr. Build. Mater. 2019, 225, 1202–1213. [Google Scholar] [CrossRef]
- Hou, Y.; Lei, D.; Li, S.; Yang, W.; Li, C.-Q. Experimental Investigation on Corrosion Effect on Mechanical Properties of Buried Metal Pipes. Int. J. Corros. 2016, 2016, 5808372. [Google Scholar] [CrossRef] [Green Version]
- Lincoln Electric Company. Lincoln ® ER70S-6 Welding Positions Typical Applications. Available online: www.lincolnelectric.com (accessed on 28 October 2021).
- ER100S-G Data Sheet—Bohler Welding. Available online: www.voestalpine.com/welding (accessed on 5 December 2021).
- Ermakova, A.; Mehmanparast, A.; Ganguly, S. A review of present status and challenges of using additive manufacturing technology for offshore wind applications. Procedia Struct. Integr. 2019, 17, 29–36. [Google Scholar] [CrossRef]
- American Society for Testing and Materials. ASTME-1820-11: Standard Test Method for Measurement of Fracture Toughness; Annual Book of ASTM Standards 1–55; American Society for Testing and Materials: West Conshohocken, PA, USA, 2011. [Google Scholar] [CrossRef]
- American Society for Testing and Materials. D1141-98: Standard Practice for the Preparation of Substitute Ocean Water; ASTM International: West Conshohocken, PA, USA, 2013; Volume 98, pp. 1–3. [Google Scholar]
- Anderson, T.L. Fracture Mechanics: Fundamentals and Application; Taylor & Francis Group: Abingdon-on-Thames, UK, 2005. [Google Scholar]
- Ermakova, A.; Mehmanparast, A.; Ganguly, S.; Razavi, J.; Berto, F. Investigation of mechanical and fracture properties of wire and arc additively manufactured low carbon steel components. Theor. Appl. Fract. Mech. 2020, 109, 102685. [Google Scholar] [CrossRef]








| C | Mn | Cr | Si | Ni | Mo | S | P | Cu | V | |
|---|---|---|---|---|---|---|---|---|---|---|
| ER70S-6 | 0.09 | <1.60 | 0.05 | 0.09 | 0.05 | 0.05 | 0.007 | 0.007 | 0.20 | 0.05 |
| ER100S-1 | 0.08 | 1.70 | 0.20 | 0.60 | 1.50 | 0.50 | - | - | - | - |
| Shielding Gas | Ar + 20% CO2 |
|---|---|
| Gas flow rate | 15 L/min |
| Robot travelling speed | 7.33 mm/s |
| Wire diameter | 1.2 mm |
| Wire feed speed | 7.5 m/min |
| Dwell time | 120 s |
| Chemical Compound | Concentration (g/L) |
|---|---|
| NaCl | 24.53 |
| MgCl2 | 5.20 |
| Na2SO4 | 4.09 |
| CaCl2 | 1.16 |
| KCl | 0.695 |
| NaHCO3 | 0.201 |
| KBr | 1.101 |
| H3BO3 | 0.027 |
| SrCl2 | 0.025 |
| NaF | 0.003 |
| Specimen ID | C-100-1 (T, V) | C-100-2 (T, H) |
|---|---|---|
| JIC (kJ/m2) | 104.2 | 109.0 |
Publisher’s Note: MDPI stays neutral with regard to jurisdictional claims in published maps and institutional affiliations. |
© 2022 by the authors. Licensee MDPI, Basel, Switzerland. This article is an open access article distributed under the terms and conditions of the Creative Commons Attribution (CC BY) license (https://creativecommons.org/licenses/by/4.0/).
Share and Cite
Ermakova, A.; Mehmanparast, A. Corrosion Effects on Fracture Toughness Properties of Wire Arc Additively Manufactured Low Carbon Steel Specimens. Metals 2022, 12, 238. https://doi.org/10.3390/met12020238
Ermakova A, Mehmanparast A. Corrosion Effects on Fracture Toughness Properties of Wire Arc Additively Manufactured Low Carbon Steel Specimens. Metals. 2022; 12(2):238. https://doi.org/10.3390/met12020238
Chicago/Turabian StyleErmakova, Anna, and Ali Mehmanparast. 2022. "Corrosion Effects on Fracture Toughness Properties of Wire Arc Additively Manufactured Low Carbon Steel Specimens" Metals 12, no. 2: 238. https://doi.org/10.3390/met12020238
APA StyleErmakova, A., & Mehmanparast, A. (2022). Corrosion Effects on Fracture Toughness Properties of Wire Arc Additively Manufactured Low Carbon Steel Specimens. Metals, 12(2), 238. https://doi.org/10.3390/met12020238

