Effect of Heat Input on Microstructure and Corrosion Resistance of X80 Laser Welded Joints
Abstract
1. Introduction
2. Experimental Procedures
2.1. Materials and Solutions
2.2. The Laser Welding Process
2.3. Microstructure Observations and Mechanical Property Testing
2.4. Electrochemical Measurements
3. Results
3.1. Microstructure Evolution
3.2. Mechanical Properties of Welded Joint
3.3. Electrochemical Characterization
3.3.1. Potentiodynamic Polarization
3.3.2. Electrochemical Impedance Spectroscopy
4. Discussion
4.1. Effect of Heat Input on Microstructure
4.2. Effect of Heat Input on Mechanical Properties
4.3. Effect of Heat Input on Corrosion Resistance
5. Conclusions
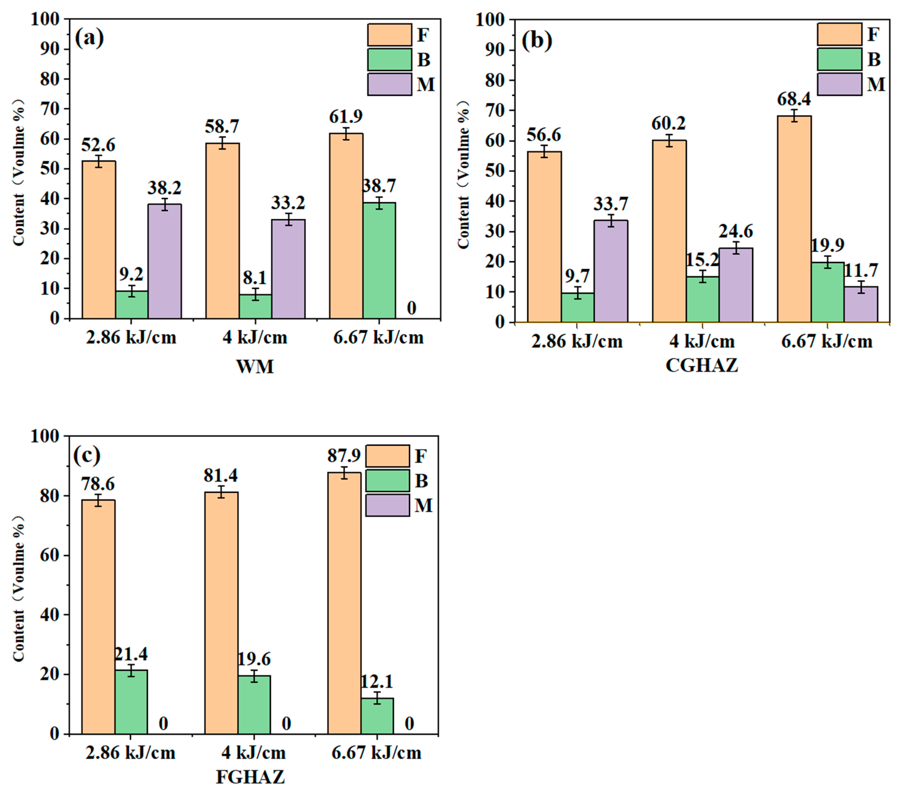
- With the increase in heat input, the proportion of ferrite in each area of the welded joint gradually increased, the sum of the proportion of martensite and bainite decreased, the proportion of bainite in WM and CGHAZ increased, and the proportion of martensite structure decreased, the microstructure type of FGHAZ has changed very little.
- With the increase in heat input, the strength and elongation increased, and the hardness of the weld center decreased.
- The electrochemical results show that the corrosion resistance of welded joints increased with the increase in heat input, and the structure of FGHAZ is the least easily corroded in each area of welded joints, followed by WM and CGHAZ. The function models of heat input size and icorr and Rct values were established. In addition, the corrosion product film produced by the long-term immersion of the welded joint in the saturated H2S NACEA solution can hinder the development of corrosion and enhance the corrosion resistance to a certain extent.
Author Contributions
Funding
Institutional Review Board Statement
Informed Consent Statement
Data Availability Statement
Conflicts of Interest
References
- Wan, H.; Song, D.; Cai, Y.; Du, C. The AC corrosion and SCC mechanism of X80 pipeline steel in near-neutral pH solution. Eng. Fail. Anal. 2020, 118, 104904. [Google Scholar] [CrossRef]
- Zhao, X.; Wang, H.; Liu, G.; Liu, Y.; Xu, D. Research on the hydrogen assisted fatigue damage in X80 pipeline steel welded joint. Mater. Today Commun. 2022, 31, 103524. [Google Scholar] [CrossRef]
- Gonçalves Luis, F.F.F.; Duarte Fernando, M.; Martins Carla, I.; Paiva Maria, C. Laser welding of thermoplastics: An overview on lasers, materials, processes and quality. Infrared Phys. Technol. 2021, 119, 103931. [Google Scholar] [CrossRef]
- Haque, M.S.; Moeed, K.; Zaka, M.Z. Laser welding of thermoplastics—A review. Mater. Today Proc. 2022, 64, 1479–1485. [Google Scholar] [CrossRef]
- Sun, W.; Liu, S.; Guo, F.; Wu, D.; Zhang, Y.; Zou, Y. Investigation on droplet transfer behavior during fiber laser-flux cored arc hybrid welding. Opt. Laser Technol. 2022, 148, 107781. [Google Scholar] [CrossRef]
- Gordienko, A.; Malikov, A.; Volochaev, M.; Panyukhina, A. Influence of chemical composition and thermomechanical treatment of low-carbon steels on the microstructure and mechanical properties of their laser welded joints. Mater. Sci. Eng. A 2022, 839, 142845. [Google Scholar] [CrossRef]
- Ramesh, R.; Dinaharan, I.; Ravikumar, R.; Akinlabi, E.T. Microstructural characterization and tensile behavior of Nd:YAG laser beam welded thin high strength low alloy steel sheets. Mater. Sci. Eng. A 2020, 780, 139178. [Google Scholar] [CrossRef]
- Keskitalo, M.; Sundqvist, J.; Mäntyjärvi, K.; Powell, J.; Kaplan, A.F.H. The Influence of Shielding Gas and Heat Input on the Mechanical Properties of Laser Welds in Ferritic Stainless Steel. Phys. Procedia 2015, 78, 222–229. [Google Scholar] [CrossRef]
- Chen, L.; Nie, P.; Qu, Z.; Ojo, O.A.; Xia, L.; Li, Z.; Huang, J. Influence of heat input on the changes in the microstructure and fracture behavior of laser welded 800MPa grade high-strength low-alloy steel. J. Manuf. Process. 2020, 50, 132–141. [Google Scholar] [CrossRef]
- Alamri, A.H. Localized corrosion and mitigation approach of steel materials used in oil and gas pipelines—An overview. Eng. Fail. Anal. 2020, 116, 104735. [Google Scholar] [CrossRef]
- Wang, Y.; Xu, L.; Sun, J.; Cheng, Y.F. Mechano-electrochemical interaction for pipeline corrosion: A review. J. Pipeline Sci. Eng. 2021, 1, 1–16. [Google Scholar] [CrossRef]
- Zhu, J.; Xu, L.; Feng, Z.; Frankel, G.S.; Lu, M.; Chang, W. Galvanic corrosion of a welded joint in 3Cr low alloy pipeline steel. Corros. Sci. 2016, 111, 391–403. [Google Scholar] [CrossRef]
- Wang, L.W.; Liu, Z.Y.; Cui, Z.Y.; Du, C.W.; Wang, X.H.; Li, X.G. In situ corrosion characterization of simulated weld heat affected zone on API X80 pipeline steel. Corros. Sci. 2014, 85, 401–410. [Google Scholar] [CrossRef]
- Karayan, A.I.; Castaneda, H. Weld decay failure of a UNS S31603 stainless steel storage tank. Eng. Fail. Anal. 2014, 44, 351–362. [Google Scholar] [CrossRef]
- Bordbar, S.; Alizadeh, M.; Hashemi, S.H. Effects of microstructure alteration on corrosion behavior of welded joint in API X70 pipeline steel. Mater. Des. 2013, 45, 597–604. [Google Scholar] [CrossRef]
- Liu, Z.; Gao, X.; Du, L.; Li, J.; Li, P.; Yu, C.; Misra, R.D.; Wang, Y. Comparison of corrosion behaviour of low-alloy pipeline steel exposed to H2S/CO2-saturated brine and vapour-saturated H2S/CO2 environments. Electrochim. Acta 2017, 232, 528–541. [Google Scholar] [CrossRef]
- Wang, Z.; Lu, H.; Cai, J.; Wu, L.; Luo, K.; Lu, J. Improvement mechanism in stress corrosion resistance of the X70 pipeline steel in hydrogen sulfide solution by massive laser shock peening treatment. Corros. Sci. 2022, 201, 110293. [Google Scholar] [CrossRef]
- Cai, W.Y.; Wang, Y.B.; Li, G.Q.; Stroetmann, R. Comparative study on strength of TMCP and QT high-strength steel butt-welded joints. J. Constr. Steel Res. 2022, 197, 107447. [Google Scholar] [CrossRef]
- Yan, S.; Shi, Y.; Liu, J.; Ni, C. Effect of laser mode on microstructure and corrosion resistance of 316L stainless steel weld joint. Opt. Laser Technol. 2019, 113, 428–436. [Google Scholar] [CrossRef]
- Chen, K.; Zhao, W.; Xiao, G.; Guo, N.; Zhang, H. Study on Corrosion Resistance and Hydrogen Permeation Behavior in Inter-Critically Reheated Coarse-Grained Heat-Affected Zone of X80 Pipeline Steel. Metals 2022, 12, 1203. [Google Scholar] [CrossRef]
- Huang, Y.; Huang, J.; Zhang, J.; Yu, X.; Li, Q.; Wang, Z.; Fan, D. Microstructure and corrosion characterization of weld metal in stainless steel and low carbon steel joint under different heat input. Mater. Today Commun. 2021, 29, 102948. [Google Scholar] [CrossRef]
- Prabhuraj, P.; Rajakumar, S.; Lakshminarayanan, A.K.; Balasubramanian, V. Evaluating stress corrosion cracking behaviour of high strength AA7075-T651 aluminium alloy. J. Mech. Behav. Mater. 2017, 26, 105–112. [Google Scholar] [CrossRef]
- Mohammed, S.A.; Hua, Y.; Barker, R.; Neville, A. Effect of calcium on X65 carbon steel pitting in saturated CO2 environment. Electrochim. Acta 2022, 407, 139899. [Google Scholar] [CrossRef]
- De Motte, R.; Basilico, E.; Mingant, R.; Kittel, J.; Ropital, F.; Combrade, P.; Necib, S.; Deydier, V.; Crusset, D.; Marcelin, S. A study by electrochemical impedance spectroscopy and surface analysis of corrosion product layers formed during CO2 corrosion of low alloy steel. Corros. Sci. 2020, 172, 108666. [Google Scholar] [CrossRef]
- Zhao, W.; Zou, Y.; Matsuda, K.; Zou, Z. Characterization of the effect of hydrogen sulfide on the corrosion of X80 pipeline steel in saline solution. Corros. Sci. 2016, 102, 455–468. [Google Scholar] [CrossRef]
- Bai, P.; Zheng, S.; Zhao, H.; Ding, Y.; Wu, J.; Chen, C. Investigations of the diverse corrosion products on steel in a hydrogen sulfide environment. Corros. Sci. 2014, 87, 397–406. [Google Scholar] [CrossRef]
- Ming, D.; Wenquan, W.; Xinge, Z.; Jiafei, N.; Liang, L. Influence of laser power on microstructure and mechanical properties of laser welded TWIP steel butted joint. Opt. Laser Technol. 2022, 149, 107911. [Google Scholar]
- Ghulam, A.; Bappa, A. Laser polymer welding process: Fundamentals and advancements. Mater. Today Proc. 2022, 61, 34–42. [Google Scholar]
- Wang, X.-N.; Zhang, S.-H.; Zhou, J.; Zhang, M.; Chen, C.-J.; Misra, R.D.K. Effect of heat input on microstructure and properties of hybrid fiber laser-arc weld joints of the 800MPa hot-rolled Nb-Ti-Mo microalloyed steels. Opt. Lasers Eng. 2016, 91, 86–96. [Google Scholar] [CrossRef]
- Rajakumar, S.; Muralidharan, C.; Balasubramanian, V. Predicting tensile strength, hardness and corrosion rate of friction stir welded AA6061-T6 aluminium alloy joints. Mater. Des. 2011, 32, 2878–2890. [Google Scholar] [CrossRef]
- Wei, L.; Rui, C.; Wanchao, Z.; Xili, G.; Yong, J.; Jianhong, C. Microstructure evolution and impact toughness variation for high strength steel multi-pass weld metals with various cooling rates. J. Manuf. Process. 2021, 65, 245–257. [Google Scholar]
- Zheng, S.; Wu, Q.; Huang, Q.; Liu, S.; Han, Y. Influence of different cooling rates on the microstructure of the HAZ and welding CCT diagram of CLAM steel. Fusion Eng. Des. 2011, 86, 2616–2619. [Google Scholar] [CrossRef]
- Aydin, H.; Nelson, W.T. Microstructure and mechanical properties of hard zone in friction stir welded X80 pipeline steel relative to different heat input. Mater. Sci. Eng. A 2013, 586, 313–322. [Google Scholar] [CrossRef]
- Zhao, W.; Wang, W.; Chen, S.; Qu, J. Effect of simulated welding thermal cycle on microstructure and mechanical properties of X90 pipeline steel. Mater. Sci. Eng. A 2011, 528, 7417–7422. [Google Scholar] [CrossRef]
- Wang, X.; Sun, Q.; Zheng, Z.; Di, H. Microstructure and fracture behavior of laser welded joints of DP steels with different heat inputs. Mater. Sci. Eng. A 2017, 699, 18–25. [Google Scholar] [CrossRef]
- Gordienko, A.I.; Derevyagina, L.S.; Malikov, A.G.; Orishich, A.M.; Surikova, N.S.; Volochaev, M.N. The effect of the initial microstructure of the X70 low-carbon microalloyed steel on the heat affected zone formation and the mechanical properties of laser welded joints. Mater. Sci. Eng. A 2020, 797, 140075. [Google Scholar] [CrossRef]
- Zhang, M.; Wang, X.; Zhu, G.; Chen, C.; Hou, J.; Zhang, S.; Jing, H. Effect of Laser Welding Process Parameters on Microstructure and Mechanical Properties on Butt Joint of New Hot-Rolled Nano-scale Precipitation-Strengthened Steel. Acta Metall. Sinica (Engl. Lett.) 2014, 27, 521–529. [Google Scholar] [CrossRef]
- Li, X.; Liu, J.; Sun, J.; Lin, X.; Li, C.; Cao, N. Effect of microstructural aspects in the heat-affected zone of high strength pipeline steels on the stress corrosion cracking mechanism: Part I. In acidic soil environment. Corros. Sci. 2019, 160, 108167. [Google Scholar] [CrossRef]
- Rajakumar, S.; Balasubramanian, V.; Balakrishnan, M. Friction surfacing for enhanced surface protection of marine engineering components: Erosion-corrosion study. J. Mech. Behav. Mater. 2016, 25, 111–119. [Google Scholar] [CrossRef]
- Arif, S.M.; Ghorai, S.; Bar, H.N.; Mandal, D. Effect of quenching and partitioning time on microstructure and mechanical properties of low carbon micro-alloyed steel. Mater. Today: Proc. 2022, 66, 3865–3869. [Google Scholar] [CrossRef]
- Liu, Z.; Wang, Y.; Zhai, Y.; Qiao, Y.; Zheng, C.; Wang, D.; Shi, X.; Lu, H.; Liu, C. Corrosion behavior of low alloy steel used for new pipeline exposed to H2S-saturated solution. Int. J. Hydrogen Energy, 2022; in press. [Google Scholar] [CrossRef]
- Zheng, C.; Jin, X.; Boxin, W.; Cheng, S. A comparative study of sulfate-reducing Desulfovibrio desulfuricans induced corrosion behaviors in Q235, X65, X70, and X80 pipeline steels. Int. J. Press. Vessel. Pip. 2022, 195, 104599. [Google Scholar]
- Mohammadi, F.; Eliyan, F.F.; Alfantazi, A. Corrosion of simulated weld HAZ of API X-80 pipeline steel. Corros. Sci. 2012, 63, 323–333. [Google Scholar] [CrossRef]
- Peng, Z.Z.; Kai, X.; Fei, X.P.; Bin, W. CO2 corrosion behavior of simulated heat-affected zones for X80 pipeline steel. Mater. Charact. 2021, 171, 110772. [Google Scholar]
- Song, L.; Liu, Z.; Li, X.; Guo, X.; Zhang, Y.; Wei, W. Influence of microstructure on stress corrosion cracking of X100 pipeline steel in carbonate/bicarbonate solution. J. Mater. Res. Technol. 2022, 17, 150–165. [Google Scholar]
- Wenyong, W.; Shengsun, H.; Junqi, S. Microstructure, mechanical properties and corrosion behavior of laser welded dissimilar joints between ferritic stainless steel and carbon steel. Mater. Des. 2014, 65, 855–861. [Google Scholar]
- Rajakumar, S.; Balasubramanian, V. Corrosion performance of friction surfaced nickel aluminium bronze (NAB) alloy under erosion corrosion and salt fog environment. Corros. Eng. Sci. Technol. 2018, 53 (Suppl. S1), 21–26. [Google Scholar] [CrossRef]
- Feng, R.; Beck, J.; Ziomek-Moroz, M.; Lvov, S.N. Electrochemical Corrosion of Ultra-high Strength Carbon Steel in Alkaline Brines Containing Hydrogen Sulfide. Electrochim. Acta 2016, 212, 998–1009. [Google Scholar] [CrossRef]
- Wen, X.; Bai, P.; Luo, B.; Zheng, S.; Chen, C. Review of recent progress in the study of corrosion products of steels in a hydrogen sulphide environment. Corros. Sci. 2018, 139, 124–140. [Google Scholar] [CrossRef]
- Han, Y.; Wang, R.; Jing, H.; Zhao, L.; Xu, L.; Xin, P. Sulphide stress cracking behaviour of the coarse-grained heat-affected zone in X100 pipeline steel under different heat inputs. Int. J. Hydrogen Energy 2020, 45, 20094–20105. [Google Scholar] [CrossRef]
- Masoud, M.; Bernd, L.; Mahdieh, S.; Thomas, W.; Tomohiko, H.; Gregor, M. Hydrogen trapping and desorption affected by ferrite grain boundary types in shielded metal and flux-cored arc weldments with Ni addition. Int. J. Hydrogen Energy 2022, 47, 20676–20683. [Google Scholar]
- Sun, Y.; Cheng, Y.F. Hydrogen-induced degradation of high-strength steel pipeline welds: A critical review. Eng. Fail. Anal. 2022, 133, 105985. [Google Scholar] [CrossRef]
- Smith, P.; Roy, S.; Swailes, D.; Maxwell, S.; Page, D.; Lawson, J. A model for the corrosion of steel subjected to synthetic produced water containing sulfate, chloride and hydrogen sulfide. Chem. Eng. Sci. 2011, 66, 5775–5790. [Google Scholar] [CrossRef]
- Xie, C.; Wang, B.; Li, S.; Wen, X.; Wei, S.; Zhang, S.; Feng, M.; Chen, L.; Zheng, S. The dependence of anti-corrosion behaviors of iron sulfide films on different reactants. Int. J. Hydrogen Energy 2020, 45, 17548–17556. [Google Scholar] [CrossRef]
- Liu, M.; Wang, J.; Ke, W.; Han, E.-H. Corrosion Behavior of X52 Anti-H2S Pipeline Steel Exposed to High H2S Concentration Solutions at 90 °C. J. Mater. Sci. Technol. 2014, 30, 504–510. [Google Scholar] [CrossRef]



















| No. | S1 | S2 | S3 | S4 | S5 |
|---|---|---|---|---|---|
| power/P (kW) | 10 | 10 | 10 | 10 | 10 |
| welding rate/v (cm/s) | 3.5 | 3.0 | 2.5 | 2.0 | 1.5 |
| heat input/E (kJ/cm) | 2.86 | 3.33 | 4.00 | 5.00 | 6.67 |
| Samples | Ultimate Tensile Strength (MPa) | Yield Strength (MPa) | Elongation (%) |
|---|---|---|---|
| BM | 789 | 565 | 19.37 |
| 2.86 kJ/cm | 750 | 620 | 7.49 |
| 4.00 kJ/cm | 774 | 641 | 8.8 |
| 6.67 kJ/cm | 870 | 720 | 11.6 |
| Samples | Ecorr (mV) | icorr (μA/cm2) | βa (mV dec−1) | βb (mV dec−1) | Corrosion Rate (mpy) | |
|---|---|---|---|---|---|---|
| BM | −638.4 | 105.2 | 471.0 | 163.1 | 47.8 | |
| S1 | WM | −677.6 | 677.9 | 113.6 | 216.6 | 308.1 |
| CGHAZ | −722.1 | 1058.4 | 618.1 | 312.1 | 481.0 | |
| FGHAZ | −630.2 | 254.0 | 118.8 | 317.5 | 115.5 | |
| S3 | WM | −669.3 | 238.1 | 125.9 | 159.7 | 108.2 |
| CGHAZ | −714.6 | 683.9 | 589.4 | 237.4 | 310.7 | |
| FGHAZ | −621.5 | 176.3 | 119.8 | 312.2 | 80.1 | |
| S5 | WM | −627.8 | 169.2 | 248.9 | 176.7 | 76.9 |
| CGHAZ | −699.3 | 482.7 | 256.1 | 189.3 | 219.3 | |
| FGHAZ | −603.3 | 68.9 | 118.8 | 123.6 | 31.3 | |
| Samples | Rs (Ω·cm2) | Cdl (μF·cm−2) | Rct (Ω·cm2) | L (H·cm−2) | RL (Ω·cm2) | |
|---|---|---|---|---|---|---|
| BM | 3.55 | 21.85 | 326.1 | 3586 | 1092 | |
| S1 | WM | 3.61 | 36.58 | 103.2 | 3012 | 516 |
| CGHAZ | 3.58 | 41.52 | 35.6 | 3862 | 216 | |
| FGHAZ | 3.46 | 28.12 | 216.2 | 2815 | 883 | |
| S3 | WM | 3.66 | 31.25 | 231.2 | 2896 | 612 |
| CGHAZ | 3.60 | 37.26 | 105.6 | 3015 | 356 | |
| FGHAZ | 3.59 | 25.65 | 267.5 | 2965 | 985 | |
| S5 | WM | 3.38 | 26.89 | 279.5 | 3125 | 815 |
| CGHAZ | 3.51 | 30.15 | 139.6 | 3016 | 389 | |
| FGHAZ | 3.61 | 18.77 | 412.5 | 3069 | 1563 | |
| Samples | Rs (Ω·cm2) | Qf | Rf (Ω·cm2) | Cdl (μF·cm−2) | Rct (Ω·cm2) | ||
|---|---|---|---|---|---|---|---|
| Y0 (Ω−1·cm−2·Sn) | nsl | ||||||
| BM | 7.56 | 0.003363 | 0.5654 | 66.76 | 1013 | 5918.7 | |
| S1 | WM | 6.95 | 0.004136 | 0.5355 | 35.67 | 1225 | 2615.9 |
| CGHAZ | 7.08 | 0.006523 | 0.5015 | 24.98 | 1759 | 1768.5 | |
| FGHAZ | 6.89 | 0.003956 | 0.5963 | 45.91 | 1156 | 3769.5 | |
| S3 | WM | 7.23 | 0.003969 | 0.5461 | 45.62 | 1213 | 3515.9 |
| CGHAZ | 7.36 | 0.006125 | 0.5098 | 29.36 | 1526 | 2589.6 | |
| FGHAZ | 7.68 | 0.003615 | 0.6124 | 57.98 | 1103 | 4986.5 | |
| S5 | WM | 7.21 | 0.003762 | 0.5515 | 59.23 | 1157 | 4185.6 |
| CGHAZ | 7.30 | 0.005568 | 0.5129 | 35.27 | 1415 | 3687.3 | |
| FGHAZ | 7.35 | 0.003069 | 0.6366 | 71.53 | 963 | 7898.6 | |
Publisher’s Note: MDPI stays neutral with regard to jurisdictional claims in published maps and institutional affiliations. |
© 2022 by the authors. Licensee MDPI, Basel, Switzerland. This article is an open access article distributed under the terms and conditions of the Creative Commons Attribution (CC BY) license (https://creativecommons.org/licenses/by/4.0/).
Share and Cite
Zhao, W.; Wang, J.; Li, Z.; Guo, N.; Gao, S. Effect of Heat Input on Microstructure and Corrosion Resistance of X80 Laser Welded Joints. Metals 2022, 12, 1654. https://doi.org/10.3390/met12101654
Zhao W, Wang J, Li Z, Guo N, Gao S. Effect of Heat Input on Microstructure and Corrosion Resistance of X80 Laser Welded Joints. Metals. 2022; 12(10):1654. https://doi.org/10.3390/met12101654
Chicago/Turabian StyleZhao, Wei, Jia Wang, Zhen Li, Ning Guo, and Song Gao. 2022. "Effect of Heat Input on Microstructure and Corrosion Resistance of X80 Laser Welded Joints" Metals 12, no. 10: 1654. https://doi.org/10.3390/met12101654
APA StyleZhao, W., Wang, J., Li, Z., Guo, N., & Gao, S. (2022). Effect of Heat Input on Microstructure and Corrosion Resistance of X80 Laser Welded Joints. Metals, 12(10), 1654. https://doi.org/10.3390/met12101654
