Numerical Calculation of Stress Intensity Factors for Semi-Elliptical Surface Cracks in Buried-Arc Welded Thick Plates
Abstract
:1. Introduction
2. Stress Intensity Factor Determination Due to Residual Stresses
3. Simulation of Welding Residual Stress
3.1. Welded Plates
3.2. Heat Transfer Analysis
3.3. Structural Analysis
4. Effect of Residual Stresses on SIFs—Results and Discussion
4.1. Studied Examples
4.2. Residual Stress Mapping and Balancing
4.3. Meshing and Mesh Density Influence
4.4. SIF Solutions
5. Conclusions
- The solution mapping and residual stress balancing procedure was verified, and due to a coarser cracked mesh and the smearing nature of the mapping procedure, a small deviation of the mapped and balanced stress distribution with respect to the original residual stress field, obtained by using the uncracked mesh, was observed.
- The FEM-based SIF calculation results were compared to the WF method solutions with a good agreement. Considering the cracks perpendicular to the weld line, it was concluded that the WF method is suitable for small cracks, while in the case of larger cracks, a small error can occur due to the complexity of the residual stress distribution.
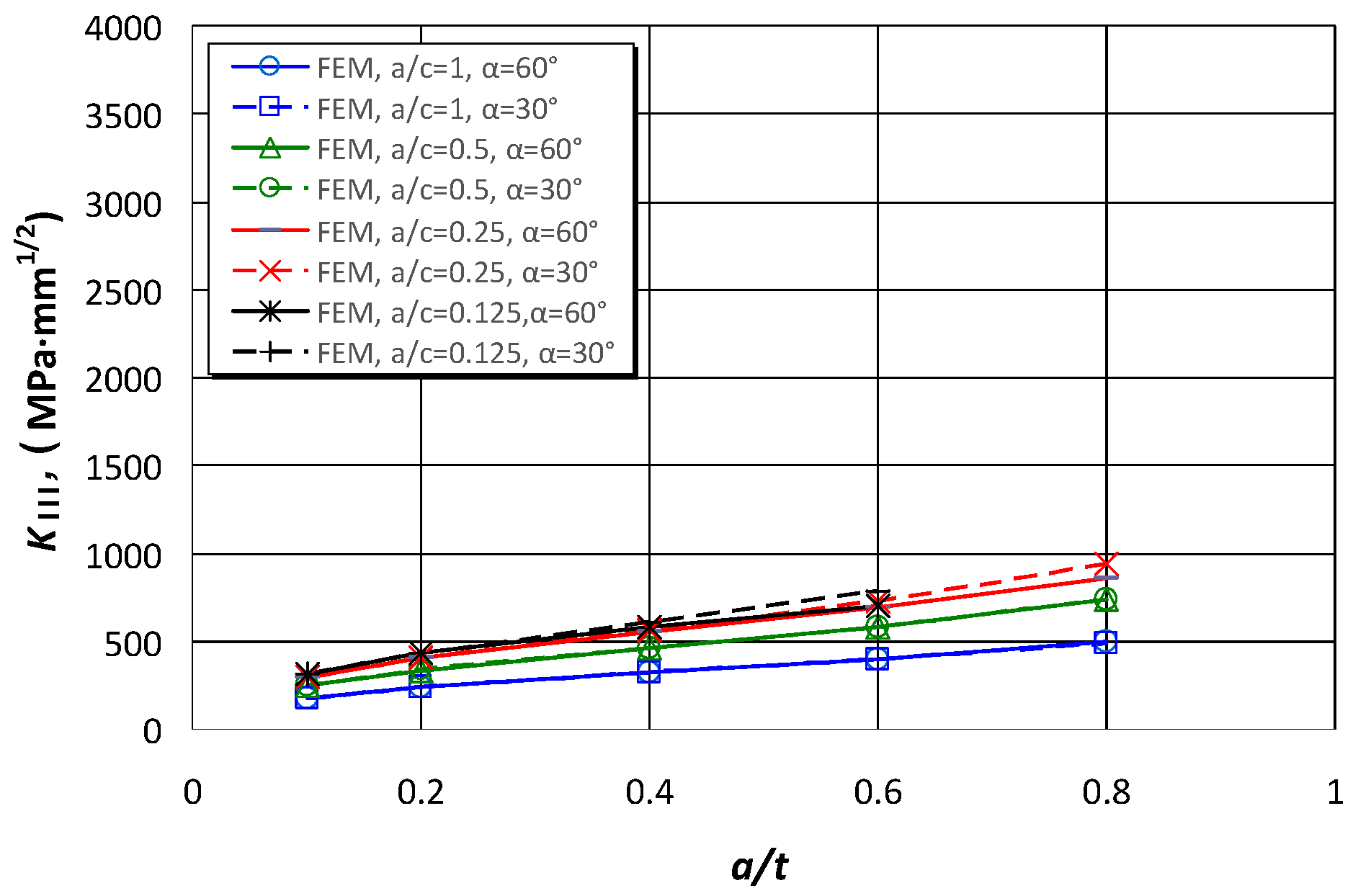
- For some cases of cracks of arbitrary angular orientation, it was observed that the SIF solution for mode III of the crack opening can be the same order of magnitude as the SIF value for mode I of crack opening and therefore should be taken into account for the estimation of the effective SIF value.
Author Contributions
Funding
Data Availability Statement
Conflicts of Interest
References
- Sepe, R.; Giannella, V.; Greco, A.; De Luca, A. FEM Simulation and Experimental Tests on the SMAW Welding of a Dissimilar T-Joint. Metals 2021, 11, 1016. [Google Scholar] [CrossRef]
- Hammad, A.; Nasser-Abdel, Y.; Shama, M. Rational Design of T-Girders via Finite Element Method. J. Mar. Sci. Appl. 2021, 20, 302–316. [Google Scholar] [CrossRef]
- Kik, T.; Moravec, J.; Švec, M. Experiments and Numerical Simulations of the Annealing Temperature Influence on the Residual Stresses Level in S700MC Steel Welded Elements. Materials 2020, 13, 5289. [Google Scholar] [CrossRef] [PubMed]
- Jin, D.; Hou, C.; Shen, L. Effect of Welding Residual Stress on the Performance of CFST Tubular Joints. J. Constr. Steel Res. 2021, 184, 106827. [Google Scholar] [CrossRef]
- Lorza, R.L.; García, R.E.; Martinez, R.F.; Martinez Calvo, M.Á. Using Genetic Algorithms with Multi-Objective Optimization to Adjust Finite Element Models of Welded Joints. Metals 2018, 8, 230. [Google Scholar] [CrossRef] [Green Version]
- Kik, T.; Górka, J. Numerical Simulations of Laser and Hybrid S700MC T-Joint Welding. Materials 2019, 12, 516. [Google Scholar] [CrossRef] [Green Version]
- Podder, D.; Gupta, O.P.; Das, S.; Mandal, N.R. Experimental and Numerical Investigation of Effect of Welding Sequence on Distortion of Stiffened Panels. Weld. World 2019, 63, 1275–1289. [Google Scholar] [CrossRef]
- Sepe, R.; Wiebesiek, J.; Sonsino, C.M. Numerical and Experimental Validation of Residual Stresses of Laser-Welded Joints and Their Influence on the Fatigue Behaviour. Fatigue Fract. Eng. Mater. Struct. 2020, 43, 1126–1141. [Google Scholar] [CrossRef]
- Giannella, V.; Fellinger, J.; Perella, M.; Citarella, R. Fatigue Life Assessment in Lateral Support Element of a Magnet for Nuclear Fusion Experiment “Wendelstein 7-X”. Eng. Fract. Mech. 2017, 178, 243–257. [Google Scholar] [CrossRef] [Green Version]
- Giannella, V. Stochastic Approach to Fatigue Crack-Growth Simulation for a Railway Axle under Input Data Variability. Int. J. Fatigue 2021, 144, 106044. [Google Scholar] [CrossRef]
- Keprate, A.; Chandima Ratnayake, R.N.; Sankararaman, S. Experimental Validation of the Adaptive Gaussian Process Regression Model Used for Prediction of Stress Intensity Factor as an Alternative to FEM. J. Offshore Mech. Arct. 2019, 141, 021606. [Google Scholar] [CrossRef]
- Jiang, W.; Woo, W.; Wan, Y.; Luo, Y.; Xie, X.; Tu, S.T. Evaluation of Through-Thickness Residual Stresses by Neutron Diffraction and Finite-Element Method in Thick Weld Plates. J. Press. Vessel Technol. ASME 2017, 139, 031401. [Google Scholar] [CrossRef]
- Murugan, N.; Narayanan, R. Finite Element Simulation of Residual Stresses and their Measurement by Contour Method. Mater. Des. 2009, 30, 2067–2071. [Google Scholar] [CrossRef]
- Seleš, K.; Perić, M.; Tonković, Z. Numerical Simulation of a Welding Process Using a Prescribed Temperature Approach. J. Constr. Steel Res. 2018, 145, 49–57. [Google Scholar] [CrossRef]
- Sepe, R.; Armentani, E.; Lamanna, G.; Caputo, F. Evaluation by FEM of the influence of the preheating and post-heating treatments on residual stresses in welding. Key Eng. Mater. 2015, 628, 93–96. [Google Scholar] [CrossRef]
- Oh, C.-Y.; Kim, Y.-J.; Oh, Y.-J.; Kim, J.-S.; Song, T.-K.; Kim, Y.-B. Evaluation of Stress Intensity Factors due to Welding Residual Stresses for Circumferential Cracked Pipes. Int. J. Press. Vessel. Pip. 2013, 105–106, 36–48. [Google Scholar] [CrossRef]
- Qiang, B.; Li, Y.; Yao, C.; Wang, X. Through-Thickness Welding Residual Stress and its Effect on Stress Intensity Factors for Semi-Elliptical Surface Cracks in a Butt-Welded Steel Plate. Eng. Fract. Mech. 2018, 193, 17–31. [Google Scholar] [CrossRef]
- Lee, J.-H.; Jang, B.-S.; Kim, H.-J.; Shim, S.-H.; Im, S.W. The Effect of Weld Residual Stress on Fracture Toughness at the Intersection of Two Welding Lines of Offshore Tubular Structure. Mar. Struct. 2020, 71, 102708. [Google Scholar] [CrossRef]
- Gadallah, R.; Osawa, N.; Tanaka, S. Evaluation of Stress Intensity Factor for a Surface Cracked Butt Welded Joint Based on Real Welding Residual Stress. Ocean Eng. 2017, 138, 123–139. [Google Scholar] [CrossRef]
- Gadallah, R.; Osawa, N.; Tanaka, S.; Tsutsumi, S. Critical Investigation on the Influence of Welding Heat Input and Welding Residual Stress on Stress Intensity Factor and Fatigue Crack Propagation. Eng. Fail. Anal. 2018, 89, 200–221. [Google Scholar] [CrossRef]
- Labeas, G.; Diamantakos, I. Laser Beam Welding Residual Stresses of Cracked T-joints. Theor. Appl. Fract. Mech. 2013, 63–64, 69–76. [Google Scholar] [CrossRef]
- Perić, M.; Garašić, I.; Tonković, Z.; Vuherer, T.; Nižetić, S.; Dedić-Jandrek, H. Numerical Prediction and Experimental Validation of Temperature and Residual Stress Distributions in Buried-Arc Welded Thick Plates. Int. J. Energy Res. 2019, 43, 3590–3600. [Google Scholar] [CrossRef]
- Perić, M.; Nižetić, S.; Tonković, Z.; Garašić, I.; Horvat, I.; Boras, I. Numerical Simulation and Experimental Investigation of Temperature and Residual Stress Distributions in a Circular Patch Welded Structure. Energies 2020, 13, 5423. [Google Scholar] [CrossRef]
- Perić, M.; Nižetić, S.; Garašić, I.; Gubeljak, N.; Vuherer, T.; Tonković, Z. Numerical Calculation and Experimental Measurement of Temperatures and Welding Residual Stresses in a Thick-Walled T-Joint Structure. J. Therm. Anal. Calorim. 2020, 141, 313–322. [Google Scholar] [CrossRef]
- Shen, G.; Plumtree, A.; Glinka, G. Weight Function for the Surface Point of Semi-Elliptical Surface Crack in a Finite Thickness Plate. Eng. Fract. Mech. 1991, 40, 167–176. [Google Scholar] [CrossRef]
- Walters, M.C.; Paulino, G.H.; Dodds, R.H., Jr. Interaction Integral Procedures for 3-D Curved Cracks Including Surface Tractions. Eng. Fract. Mech. 2005, 72, 1635–1663. [Google Scholar] [CrossRef]
- Gannon, L.; Liu, Y.; Pegg, M.; Smith, M. Effect of Welding Sequence on Residual Stress and Distortion in Flat-Bar Stiffened Plates. Mar. Struct. 2010, 23, 385–404. [Google Scholar] [CrossRef]
- Nguyen, K.; Nasouri, R.; Bennett, C.R.; Matamoros, A.; Li, J.; Montoya, A.H. Thermomechanical Modeling of Welding and Galvanizing a Steel Beam Connection Detail to Examine Susceptibility to Cracking. Mater. Perform. Charact. 2018, 7, 165–190. [Google Scholar] [CrossRef] [Green Version]
- Perić, M.; Tonković, Z.; Rodić, A.; Surjak, M.; Garašić, I.; Boras, I.; Švaić, S. Numerical Analysis and Experimental Investigation of Welding Residual Stresses and Distortions in a T-Joint Fillet Weld. Mater. Des. 2014, 53, 1052–1063. [Google Scholar] [CrossRef]
- Perić, M.; Garašić, I.; Nižetić, S.; Dedić-Jandrek, H. Numerical Analysis of Longitudinal Residual Stresses and Deflections in a T-joint Welded Structure Using a Local Preheating Technique. Energies 2018, 11, 3487. [Google Scholar] [CrossRef] [Green Version]
- Deng, D. FEM Prediction of Welding Residual Stress and Distortion in Carbon Steel Considering PhaseTransformation Effects. Mater. Des. 2009, 30, 359–366. [Google Scholar] [CrossRef]
- Perić, M.; Tonković, Z.; Maksimović, K.S.; Stamenković, D. Numerical Analysis of Residual Stresses in a T-Joint Fillet Weld Using a Submodeling Technique. FME Trans. 2019, 47, 183–189. [Google Scholar] [CrossRef]
- Perić, M.; Seleš, K.; Tonković, Z.; Lovrenić-Jugović, M. Numerical Simulation of Welding Distortions in Large Structures with a Simplified Engineering Approach. Open Phys. 2019, 17, 719–730. [Google Scholar] [CrossRef]
- Abaqus, V. Abaqus/Standard User’s Manual and Abaqus CAE Manual; Dassault Systemes Simulia Corp: Providence, RI, USA, 2014. [Google Scholar]














| Welding Current | Welding Voltage | Heat Input Efficiency | Welding Speed | Wire Diameter | Wire Feed Speed | Shielding Gas Composition | Shielding Gas Flow |
|---|---|---|---|---|---|---|---|
| 540 A | 41 V | 0.85 | 300 mm/s | 1.6 mm | 12.3 m/min | 100% CO2 | 25 L/min |
| Stress Coefficients σi for Angle α | σ0 (MPa) | σ1 (MPa) | σ2 (MPa) | σ3 (MPa) | σ4 (MPa) |
|---|---|---|---|---|---|
| α = 90° | 342.6 | 236.0 | −457.7 | 443.3 | −221.7 |
| a/t | 0.4 | |||
| a/c | 1 | 0.5 | 0.25 | |
| KI (MPa mm1/2) | coarse | 1302.3 | 1843.0 | 2341.7 |
| medium | 1305.9 | 1846.0 | 2345.1 | |
| fine | 1302.5 | 1845.6 | 2344.9 | |
Publisher’s Note: MDPI stays neutral with regard to jurisdictional claims in published maps and institutional affiliations. |
© 2021 by the authors. Licensee MDPI, Basel, Switzerland. This article is an open access article distributed under the terms and conditions of the Creative Commons Attribution (CC BY) license (https://creativecommons.org/licenses/by/4.0/).
Share and Cite
Jukić, K.; Perić, M.; Tonković, Z.; Skozrit, I.; Jarak, T. Numerical Calculation of Stress Intensity Factors for Semi-Elliptical Surface Cracks in Buried-Arc Welded Thick Plates. Metals 2021, 11, 1809. https://doi.org/10.3390/met11111809
Jukić K, Perić M, Tonković Z, Skozrit I, Jarak T. Numerical Calculation of Stress Intensity Factors for Semi-Elliptical Surface Cracks in Buried-Arc Welded Thick Plates. Metals. 2021; 11(11):1809. https://doi.org/10.3390/met11111809
Chicago/Turabian StyleJukić, Krešimir, Mato Perić, Zdenko Tonković, Ivica Skozrit, and Tomislav Jarak. 2021. "Numerical Calculation of Stress Intensity Factors for Semi-Elliptical Surface Cracks in Buried-Arc Welded Thick Plates" Metals 11, no. 11: 1809. https://doi.org/10.3390/met11111809
APA StyleJukić, K., Perić, M., Tonković, Z., Skozrit, I., & Jarak, T. (2021). Numerical Calculation of Stress Intensity Factors for Semi-Elliptical Surface Cracks in Buried-Arc Welded Thick Plates. Metals, 11(11), 1809. https://doi.org/10.3390/met11111809

