Numerical Investigations of Shape Memory Alloy Fatigue
Abstract
1. Introduction
2. Constitutive Model
3. Numerical Simulations
3.1. Axial Loading Test
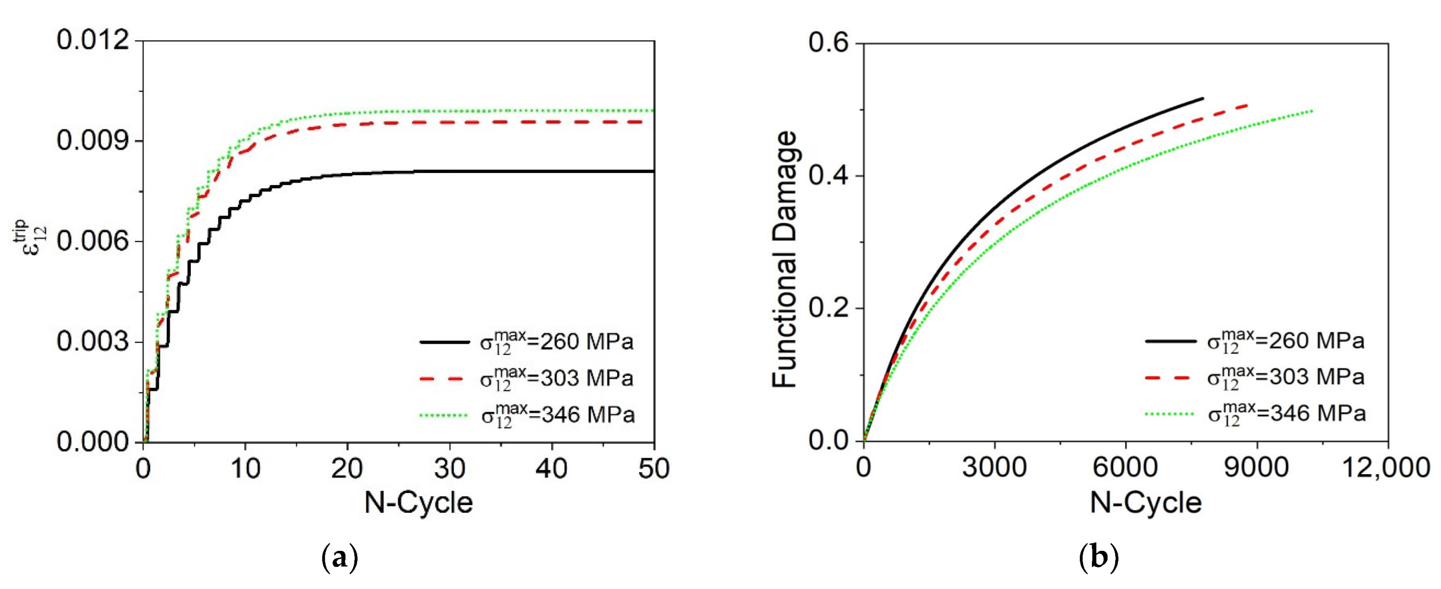
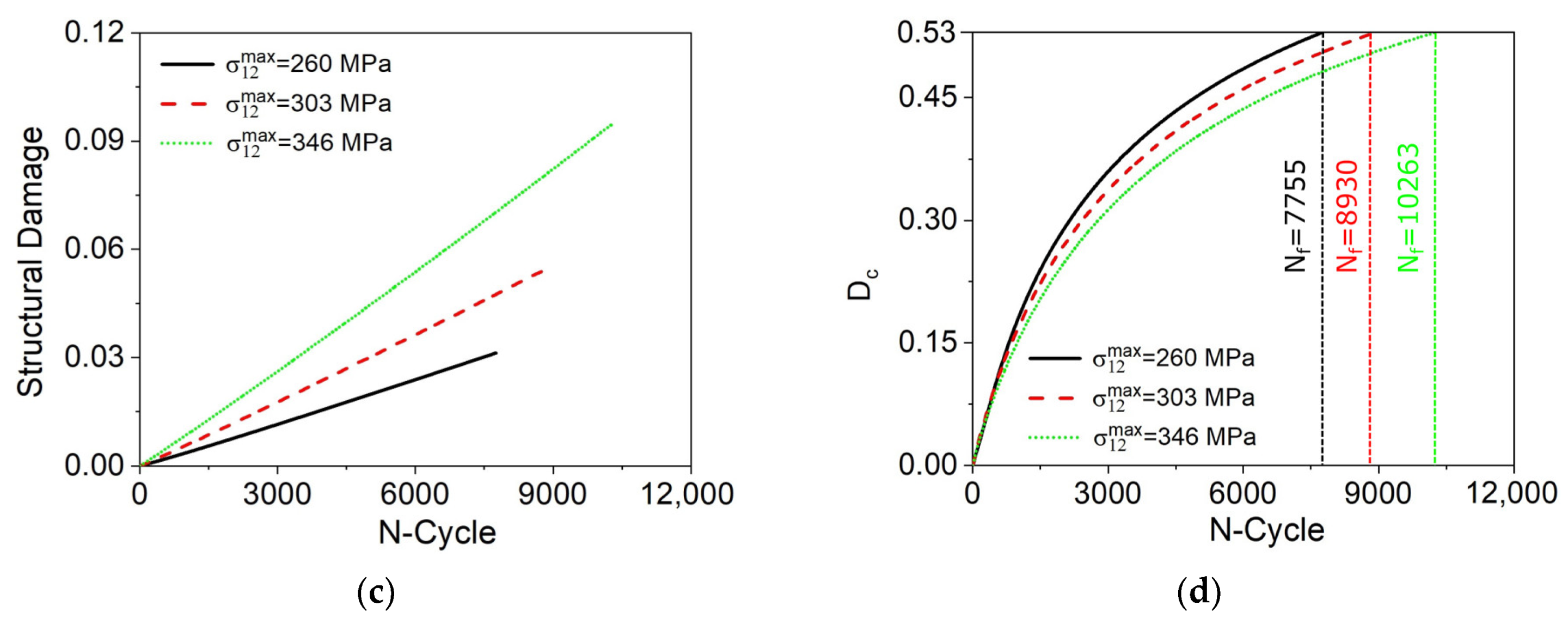
3.2. Torsional Loading Test
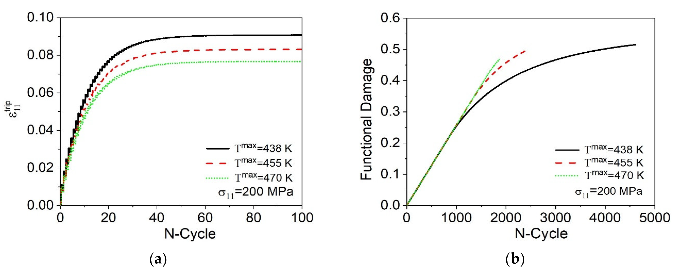
3.3. Thermal Loading Test
3.4. Shape Memory Effect
4. Conclusions
Author Contributions
Funding
Institutional Review Board Statement
Informed Consent Statement
Data Availability Statement
Conflicts of Interest
Appendix A
Appendix B
| Austenite phase | |
| Parameters to control the evolution of functional damage | |
| Parameters to control the evolution of structural damage | |
| Equivalent critical damage | |
| State at which reaches a critical value | |
| Internal variable associated with structural damage | |
| Internal variable associated with functional damage | |
| Elastic moduli for austenite and martensite phases | |
| Elastic tensor | |
| Elastic tensor of austenite and martensite phases | |
| Yield surface | |
| Kinematic hardening modulus | |
| Kinematic hardening modulus of austenite and martensite phases | |
| Plastic modulus | |
| Plastic modulus of austenite and martensite phases | |
| Parameters related to the critical stress due to positive (+) and negative (−) detwinned martensite phase | |
| Parameters related to the critical stress due to the austenitic phase | |
| Twinned martensite | |
| Positive (+) and negative (−) detwinned martensite | |
| Parameters associated with the TRIP effect | |
| The reference value of the parameter | |
| Parameters related to the saturation effect | |
| Number of cycles until failure | |
| General formulation of the parameters , , , , e | |
| Auxiliary variables | |
| Second-order tensor defined from the loading history | |
| The maximum value of the mechanical loading | |
| Temperature | |
| Reference temperature in a stress-free state | |
| Temperature above which the austenitic phase is stable | |
| Reference temperature for the determination of the yield stress for high temperatures | |
| Temperature below which the martensitic phase is stable | |
| Temperature below which the TRIP strain does not occur | |
| Parameter that controls the height of the stress–strain hysteresis loop | |
| Normal and shear components of the tensor | |
| Fourth-order tensor that controls the stress–strain hysteresis loop width | |
| Volume fraction associated with the martensitic variants, , and the austenite phase, A | |
| Volume fraction associated with the starting of the phase transformation process | |
| Plastic multiplier | |
| Equivalent strain field | |
| Equivalent strain field to the initial state | |
| Equivalent stress field | |
| Kronecker delta | |
| Elastic strain tensor | |
| Deviatoric strain tensor | |
| Plastic strain tensor | |
| TRIP strain tensor | |
| Parameters employed to represent the martensite and austenite structural fatigue strength | |
| Parameters associated with the internal dissipation | |
| Parameters associated with the internal dissipation | |
| Parameters associated with the internal dissipation | |
| Parameter that defines the coupling between the phase transformation and isotropic hardening | |
| Parameter that defines the coupling between the phase transformation and kinematic hardening | |
| Parameter related to the tensor | |
| Sub-differential of the convex set | |
| Sub-differential of the convex set | |
| Temperature functions that define the critical stress value for the phase transformation | |
| Phase transformation values for austenite and martensite phases | |
| Internal variable associated with isotropic hardening | |
| Saturation variables for each phase | |
| Yield stress | |
| Yield stress of the martensitic phase | |
| Yield stress of the austenitic phase at temperatures and | |
| Stress tensor | |
| Deviatoric stress tensor | |
| Internal variable associated with kinematic hardening | |
| Pseudo-potential of dissipation | |
| Helmholtz free energy density | |
| Auxiliary variable | |
| Thermal expansion coefficients for austenite and martensite phases | |
| Tensor related to the thermal expansion coefficients | |
| Tensor related to the thermal expansion coefficients of the austenite and martensite |
References
- Otsuka, K.; Ren, X. Physical metallurgy of TiNi based shape memory alloys. Prog. Mater. Sci. 2005, 50, 511–678. [Google Scholar] [CrossRef]
- Lagoudas, D.C. Shape Memory Alloys, Modeling and Engineering Applications; Springer: Austin, TX, USA, 2008; ISBN 9780387476858. [Google Scholar]
- Yamauchi, K.; Ohkata, I.; Tsuchiya, K.; Miyazaki, S. Shape Memory and Superelastic Alloys: Applications and Technologies; Woodhead Publishing: Cambridge, UK, 2011; ISBN 9780857092625. [Google Scholar]
- Van Humbeeck, J. Non-medical applications of shape memory alloys. Mater. Sci. Eng. A 1999, 273, 134–148. [Google Scholar] [CrossRef]
- Janke, L.; Czaderski, C.; Motavalli, M.; Ruth, J. Applications of shape memory alloys in civil engineering structures—Overview, limits and new ideas. Mater. Struct. 2005, 38, 578–592. [Google Scholar] [CrossRef]
- Isalgue, A.; Lovey, F.C.; Terriault, P.; Martorell, F.; Torra, R.M.; Torra, V. SMA for dampers in civil engineering. Mater. Trans. 2006, 47, 682–690. [Google Scholar] [CrossRef]
- Lecce, L.; Concilio, A. Shape Memory Alloy Engineering for Aerospace, Structural and Biomedical Applications; Butterworth-Heinemann: Oxford, UK, 2015; ISBN 9780080999203. [Google Scholar]
- Jani, J.M.; Leary, M.; Subic, A.; Gibson, M.A. A review of shape memory alloy research, applications and opportunities. Mater. Des. 2013, 56, 1078–1113. [Google Scholar] [CrossRef]
- Chang, W.S.; Araki, Y. Use of shape-memory alloys in construction: A critical interview. Proc. Inst. Civ. Eng. 2016, 169, 87–95. [Google Scholar] [CrossRef]
- Nematollahi, M.; Baghbaderani, K.S.; Amerinatanzi, A.; Zamanian, H.; Elahinia, M. Application of NiTi in assistive and rehabilitation devices: A review. Bioengineering 2019, 6, 37. [Google Scholar] [CrossRef] [PubMed]
- Suresh, S. Fatigue of Materials, 2nd ed.; Cambridge University Press: Cambridge, UK, 1998; ISBN 9780511806575. [Google Scholar]
- Lee, Y.L.; Pan, J.; Hathaway, R.; Barkey, M. Fatigue Testing and Analysis: Theory and Practice; Butterworth-Heinemann: Oxford, UK, 2004; ISBN 0750677198. [Google Scholar]
- Eggeler, G.; Hornbogen, E.; Yawny, A.; Heckmann, A.; Wagner, M. Structural and functional fatigue of NiTi shape memory alloys. Mater. Sci. Eng. A 2004, 378, 24–33. [Google Scholar] [CrossRef]
- Tyc, O.; Heller, L.; Vronka, M.; Sittner, P. Effect of temperature on fatigue of superelastic NiTi wires. Int. J. Fatigue 2020, 134, 105470. [Google Scholar] [CrossRef]
- Dornelas, V.M.; Oliveira, S.A.; Savi, M.A.; Pacheco, P.M.C.L.; De Souza, L.F.G. Fatigue on shape memory alloys: Experimental observations and constitutive modeling. Int. J. Solids Struct. 2021, 213, 1–24. [Google Scholar] [CrossRef]
- Qin, X.; Zhang, X.; Yan, X.; Wang, S.; Zhang, S.; Guo, C.; Jiang, J.; Zhang, B.; Huang, D.; Qi, M. Structural and functional fatigue behavior of Ni49.8 Ti50.2 (at.%) wires under various maximum heating temperatures: Experimental and modeling study. Mater. Des. 2019, 178, 107842. [Google Scholar] [CrossRef]
- Predki, W.; Klönne, M.; Knopik, A. Cyclic torsional loading of pseudoelastic NiTi shape memory alloys: Damping and fatigue failure. Mater. Sci. Eng. A 2006, 417, 182–189. [Google Scholar] [CrossRef]
- Zhao, T.; Kang, G.; Yu, C.; Kan, Q. Experimental study on whole-life one-way shape memory cyclic degradation and fatigue failure of NiTi shape memory alloy. Mater. Today Commun. 2020, 25, 101621. [Google Scholar] [CrossRef]
- Tobushi, H.; Hachisuka, T.; Hashimoto, T.; Yamada, S. Cyclic deformation and fatigue of a TiNi shape-memory alloy wire subjected to rotating bending. ASME. J. Eng. Mater. Technol. 1998, 120, 64–70. [Google Scholar] [CrossRef]
- Figueiredo, A.M.; Modenesi, P.; Buono, V. Low-cycle fatigue life of superelastic NiTi wires. Int. J. Fatigue 2009, 31, 751–758. [Google Scholar] [CrossRef]
- Ramos, A.D.O.; De Araújo, C.J.; De Oliveira, H.M.R.; Macêdo, A.; Lima, A.G.B. An experimental investigation of the superelastic fatigue of NiTi SMA wires. J. Braz. Soc. Mech. Sci. Eng. 2018, 40, 206. [Google Scholar] [CrossRef]
- Jaureguizahar, S.M.; Chapetti, M.D.; Yawny, A. A novel experimental method to assess the fatigue behavior of pseudoelastic NiTi wires. Int. J. Fatigue 2018, 116, 300–305. [Google Scholar] [CrossRef]
- Qiu, B.; Kan, Q.; Kang, G.; Yu, C.; Xie, X. Rate-dependent transformation ratcheting-fatigue interaction of super-elastic NiTi alloy under uniaxial and torsional loadings: Experimental observation. Int. J. Fatigue 2019, 127, 470–478. [Google Scholar] [CrossRef]
- Frenzel, J. On the importance of structural and functional fatigue in shape memory technology. Shap. Mem. Superelast. 2020, 6, 213–222. [Google Scholar] [CrossRef]
- Mahtabi, M.J.; Shamsaei, N.; Mitchell, M.R. Fatigue of Nitinol: The state-of-the-art and ongoing challenges. J. Mech. Behav. Biomed. Mater. 2015, 50, 228–254. [Google Scholar] [CrossRef] [PubMed]
- Moumni, Z.; Zhang, Y.; Wang, J.; Gu, X. A global approach for the fatigue of shape memory alloys. Shap. Mem. Superelast. 2018, 4, 385–401. [Google Scholar] [CrossRef]
- Paiva, A.; Savi, M.A. An overview of constitutive models for shape memory alloys. Math. Probl. Eng. 2006, 2006, 1–30. [Google Scholar] [CrossRef]
- Cisse, C.; Zaki, W.; Zineb, T.B. A review of constitutive models and modeling techniques for shape memory alloys. Int. J. Plast. 2016, 76, 244–284. [Google Scholar] [CrossRef]
- Cisse, C.; Zaki, W.; Zineb, T.B. A review of modeling techniques for advanced effects in shape memory alloy behavior. Smart Mater. Struc. 2016, 25, 1–36. [Google Scholar] [CrossRef]
- Yu, C.; Kang, G.; Kan, Q.; Song, D. A micromechanical constitutive model based on crystal plasticity for thermo-mechanical cyclic deformation of NiTi shape memory alloys. Int. J. Plast. 2013, 44, 161–191. [Google Scholar] [CrossRef]
- Auricchio, F.; Constantinescu, A.; Menna, C.; Scalet, G. A shakedown analysis of high cycle fatigue of shape memory alloys. Int. J. Fatigue 2016, 87, 112–123. [Google Scholar] [CrossRef]
- Gu, X.; Moumni, Z.; Zaki, W.; Zhang, W. Shakedown based model for high-cycle fatigue of shape memory alloys. Smart Mater. Struct. 2016, 25, 115012. [Google Scholar] [CrossRef]
- Liu, B.; Chen, K.; Zhou, R. Damage evolution and fatigue life prediction of the shape memory alloy under low cycle fatigue. Mater. Today Commun. 2020, 26, 101636. [Google Scholar] [CrossRef]
- Liu, B.; Jin, S.; Li, X.; Zhou, R. Study on behaviors of shape memory alloy materials under temperature cycling considering the damage. J. Intell. Mater. Syst. Struct. 2020, 31, 990–997. [Google Scholar] [CrossRef]
- Mohammadzadeh, M.R.; Kadkhodaei, M.; Barati, M.; Chirani, S.A.; Saint-Sulpice, L. Modeling of torsion fatigue in shape memory alloys. J. Intell. Mater. Syst. Struct 2019, 30, 3146–3162. [Google Scholar] [CrossRef]
- Petrini, L.; Bertini, A. A three-dimensional phenomenological model describing cyclic behavior of shape memory alloys. Int. J. Plast. 2020, 125, 348–373. [Google Scholar] [CrossRef]
- Dornelas, V.M.; Oliveira, S.A.; Savi, M.A. A macroscopic description of shape memory alloy functional fatigue. Int. J. Mech. Sci. 2020, 170, 105345. [Google Scholar] [CrossRef]
- Oliveira, S.A.; Savi, M.A.; Santos, I.F. Uncertainty analysis of a one-dimensional constitutive model for shape memory alloy thermomechanical description. Int. J. Appl. Mech. 2014, 6, 1450067. [Google Scholar] [CrossRef]
- Monteiro, P.C.C.; Savi, M.A.; Netto, T.A.; Pacheco, P.M.C.L. A phenomenological description of the thermomechanical coupling and the rate-dependent behavior of shape memory alloys. J. Intell. Mater. Syst. Struct. 2009, 20, 1675–1687. [Google Scholar] [CrossRef]
- Paiva, A.; Savi, M.A.; Braga, A.M.B.; Pacheco, P.M.C.L. A constitutive model for shape memory alloys considering tensile-compressive asymmetry and plasticity. Int. J. Solids Struct. 2005, 42, 3439–3457. [Google Scholar] [CrossRef]
- Savi, M.A.; Paiva, A. Describing internal subloops due to incomplete phase transformations in shape memory alloys. Arch. Appl. Mech. 2005, 74, 637–647. [Google Scholar] [CrossRef]
- Baêta-Neves, A.P.; Savi, M.A.; Pacheco, P.M.C.L. On the Fremond’s constitutive model for shape memory alloys. Mech. Res. Commun. 2004, 31, 677–688. [Google Scholar] [CrossRef]
- Savi, M.A.; Paiva, A.; Baêta-Neves, A.P.; Pacheco, P.M.C.L. Phenomenological modeling and numerical simulation of shape memory: A thermo-plastic-phase transformation coupled model. J. Intell. Mater. Syst. Struct. 2002, 3, 261–273. [Google Scholar] [CrossRef]
- Oliveira, S.A.; Dornelas, V.M.; Savi, M.A.; Pacheco, P.M.C.L.; Paiva, A. A phenomenological description of shape memory alloy transformation induced plasticity. Meccanica 2018, 53, 2503–2523. [Google Scholar] [CrossRef]
- Oliveira, S.A.; Savi, M.A.; Zouain, N. A three dimensional description of shape memory alloy thermomechanical behavior including plasticity. J. Braz. Soc. Mech. Sci. Eng. 2016, 38, 1451–1472. [Google Scholar] [CrossRef]
- Oliveira, S.A.; Savi, M.A.; Kalamkarov, A.L. A three-dimensional constitutive model for shape memory alloys. Arch. Appl. Mech. 2010, 80, 1163–1175. [Google Scholar] [CrossRef]
- Barrera, N.; Biscari, P.; Urbano, M.F. Macroscopic modeling of functional fatigue in shape memory alloys. Eur. J. Mech. A Solids 2014, 45, 101–109. [Google Scholar] [CrossRef]
- Hartl, D.J.; Chemisky, Y.; Meraghni, F. Three-dimensional constitutive model considering transformation-induced damage and resulting fatigue failure in shape memory alloys. In SPIE Smart Structures and Materials + Nondestructive Evaluation and Health Monitoring; International Society for Optics and Photonics: San Diego, CA, USA, 2014; p. 905805. [Google Scholar] [CrossRef]
- Chemisky, Y.; Hartl, D.J.; Meraghni, F. Three-dimensional constitutive model for structural and functional fatigue of shape memory alloy actuators. Int. J. Fatigue 2018, 112, 263–278. [Google Scholar] [CrossRef]
- Phillips, F.R.; Wheeler, R.W.; Geltmacher, A.B.; Lagoudas, D.C. Evolution of internal damage during actuation fatigue in shape memory alloys. Int. J. Fatigue 2019, 124, 315–327. [Google Scholar] [CrossRef]
- Halphen, B.; Nguyen, Q.S. Sur les matériaux standard généralisés. J. Mécanique 1975, 14, 39–63. [Google Scholar]
- Lemaitre, J.; Chaboche, J.L. Mechanics of Solid Materials; Cambridge University Press: Cambridge, UK, 1990; ISBN 9780521328531. [Google Scholar]
- Xu, L.; Solomou, A.; Baxevanis, T.; Lagoudas, D.C. A three-dimensional constitutive modeling for shape memory alloys considering two-way shape memory effect and transformation-induced plasticity. In Proceedings of the AIAA Scitech 2019 Forum, San Diego, CA, USA, 7–11 January 2019; p. 1195. [Google Scholar] [CrossRef][Green Version]
- Belyaev, S.; Resnina, N.; Sibirev, A. Peculiarities of residual strain accumulation during thermal cycling of TiNi alloy. J. Alloys Compd. 2012, 542, 37–42. [Google Scholar] [CrossRef]
- Zhao, T.; Kang, G.; Yu, C.; Kan, Q. Experimental investigation of the cyclic degradation of the one-way shape memory effect of NiTi alloys. Int. J. Miner. Metall. 2019, 26, 1539–1550. [Google Scholar] [CrossRef]































| EA (GPa) | EM (GPa) | ΩA (MPa/K) | ΩM (MPa/K) | (MPa) | (MPa) |
| 58.0 | 36.0 | 0.74 | 0.17 | 0.028 | 100.0 |
| (MPa) | (MPa) | (MPa) | (MPa) | ||
| 6.00 | 5.00 | 0.60 | 105.50 | 0.10 | 0.80 |
| TM (K) | TA (K) | (K) | (GPa) | ||
| 0.10 | 0.80 | 266.0 | 297.0 | 300.0 | 0.30 |
| (GPa) | (GPa) | KA (GPa) | KM (GPa) | HA (GPa) | HM (GPa) |
| 1.15 | 0.60 | 1.4 | 0.4 | 4.0 | 1.1 |
| TF (K) | |||||
| −0.01 | −0.01 | 423.0 | 0.85 | 0.05 | 0.85 |
| n | |||||
| 0.05 | 297.0 | 1.0 × 10−4 | 0.1 | 0.4 | 0.7 |
| 5.0 × 10−6 | 5.5 × 10−12 | 1.58 | 5.0 × 10−12 | 8.9 × 10−12 | 1.58 |
| 3.38 | 0.87 | 0.16 |
| Frequency (Hz) | Variation (%) | |||
|---|---|---|---|---|
| 0.25 | 750 | 2308 | 2284 | 1.0 |
| EA (GPa) | EM (GPa) | ΩA (MPa/K) | ΩM (MPa/K) | (MPa) | (MPa) |
| 45.0 | 29.0 | 0.74 | 0.17 | 0.014 | 20 |
| (MPa) | (MPa) | (MPa) | (MPa) | ||
| 1.00 | 15.00 | 0.10 | 26.50 | 1.10 | 0.70 |
| TM (K) | TA (K) | (K) | (GPa) | ||
| 1.20 | 0.60 | 223.0 | 278.0 | 300.0 | 0.5 |
| (GPa) | (GPa) | KA (GPa) | KM (GPa) | HA (GPa) | HM (GPa) |
| 1.5 | 1.0 | 1.4 | 0.4 | 4.0 | 1.1 |
| TF (K) | |||||
| −0.01 | −0.01 | 423.0 | 0.12 | 0.05 | 0.12 |
| n | |||||
| 0.05 | 290.0 | 0.02 | 0.12 | ||
| 1.58 | 1.58 | ||||
| 1.20 | 0.10 | 0.53 |
| Frequency (Hz) | Variation (%) | |||
|---|---|---|---|---|
| 0.1 | 260 | 7769 | 7755 | 0.2 |
| 0.1 | 346 | 10,549 | 10,263 | 2.7 |
| EA (GPa) | EM (GPa) | ΩA (MPa/K) | ΩM (MPa/K) | (MPa) | (MPa) |
| 22.0 | 22.0 | 0.74 | 0.17 | 0.037 | 110.0 |
| (MPa) | (MPa) | (MPa) | (MPa) | ||
| 1.00 | 10.00 | 10.20 | 115.00 | 4.00 | 1.50 |
| TM (K) | TA (K) | (K) | (GPa) | ||
| 4.00 | 1.50 | 310.0 | 395.0 | 303.0 | 0.50 |
| (GPa) | (GPa) | KA (GPa) | KM (GPa) | HA (GPa) | HM (GPa) |
| 1.50 | 1.00 | 1.4 | 0.4 | 4.0 | 1.1 |
| TF (K) | |||||
| −0.01 | −0.01 | 480.0 | 0.34 | 0.03 | 0.34 |
| n | |||||
| 0.03 | 310.0 | 0.046 | 0.18 | 0.2 | 2.0 |
| 5.0 × 10−6 | 8.0 × 10−12 | 1.5 | 3.0 × 10−6 | 1.0 × 10−10 | 1.2 |
| 1.20 | 0.10 | 0.53 |
| EA (GPa) | EM (GPa) | ΩA (MPa/K) | ΩM (MPa/K) | (MPa) | (MPa) |
| 50.0 | 25.0 | 0.74 | 0.17 | 0.042 | 150.0 |
| (MPa) | (MPa) | (MPa) | (MPa) | ||
| 0.50 | 1.00 | 0.50 | 150.00 | 105.00 | 10.00 |
| TM (K) | TA (K) | (K) | (GPa) | ||
| 105.00 | 10.00 | 296.0 | 322.0 | 295.0 | 1.00 |
| (GPa) | (GPa) | KA (GPa) | KM (GPa) | HA (GPa) | HM (GPa) |
| 1.50 | 1.30 | 1.4 | 0.4 | 4.0 | 1.1 |
| TF (K) | |||||
| −0.01 | −0.01 | 480.0 | 8.1 | 8.1 | 8.1 |
| n | |||||
| 8.1 | 290.0 | 0.90 | 0.01 | 0.01 | 2.0 |
| 10.0 × 10−11 | 7.0 × 10−11 | 1.5 | 10.0 × 10−11 | 10.0 × 10−11 | 1.5 |
| 11.00 | 1.00 | 0.75 |
| Variation (%) | ||||
|---|---|---|---|---|
| 1000 | 0 | 74 | 73 | 1.3 |
| 800 | 0 | 196 | 129 | 34.2 |
| 600 | 0 | 275 | 246 | 10.5 |
| 400 | 0 | 518 | 487 | 6.0 |
Publisher’s Note: MDPI stays neutral with regard to jurisdictional claims in published maps and institutional affiliations. |
© 2021 by the authors. Licensee MDPI, Basel, Switzerland. This article is an open access article distributed under the terms and conditions of the Creative Commons Attribution (CC BY) license (https://creativecommons.org/licenses/by/4.0/).
Share and Cite
Dornelas, V.M.; Oliveira, S.A.; Savi, M.A.; Pacheco, P.M.C.L. Numerical Investigations of Shape Memory Alloy Fatigue. Metals 2021, 11, 1558. https://doi.org/10.3390/met11101558
Dornelas VM, Oliveira SA, Savi MA, Pacheco PMCL. Numerical Investigations of Shape Memory Alloy Fatigue. Metals. 2021; 11(10):1558. https://doi.org/10.3390/met11101558
Chicago/Turabian StyleDornelas, Vanderson M., Sergio A. Oliveira, Marcelo A. Savi, and Pedro Manuel Calas Lopes Pacheco. 2021. "Numerical Investigations of Shape Memory Alloy Fatigue" Metals 11, no. 10: 1558. https://doi.org/10.3390/met11101558
APA StyleDornelas, V. M., Oliveira, S. A., Savi, M. A., & Pacheco, P. M. C. L. (2021). Numerical Investigations of Shape Memory Alloy Fatigue. Metals, 11(10), 1558. https://doi.org/10.3390/met11101558

