Physical and Physiological Characterization of Custom-Made Virtual Reality Exergames: A Pilot Study
Abstract
1. Introduction
2. Materials and Methods
2.1. Game Development
2.1.1. Game Concept
- Wine Fest: It mimics the rich Portuguese tradition of the winemaking process, including the grape picking, sorting, and transport.
- Flower Fest: It replicates a popular celebration in Madeira Island, involving the creation of floral decorations, traditional dance, and participation in a parade.
2.1.2. Hardware
2.1.3. Software
2.2. User Tests
2.2.1. Participants
2.2.2. Physical Activity
2.2.3. Heart Rate
2.2.4. Rate of Perceived Exertion
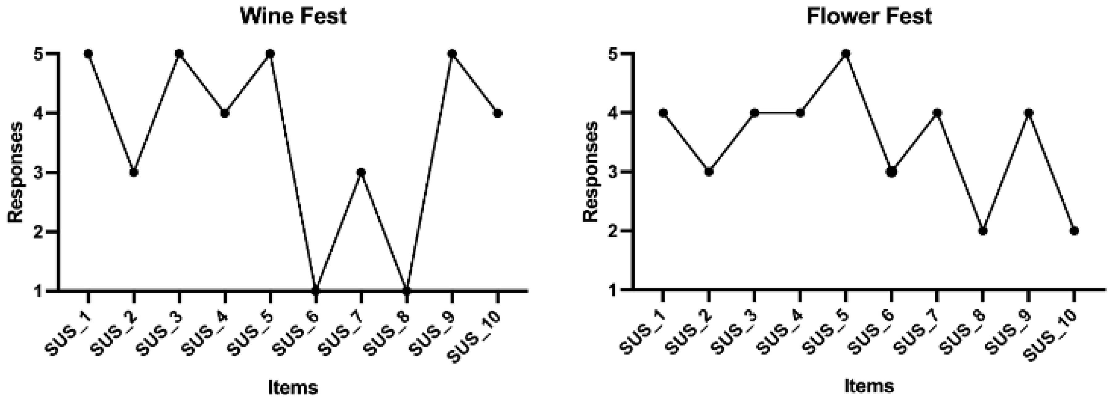
2.2.5. Usability of the System
2.3. Statistical Analysis
3. Results
4. Discussion
5. Conclusions
Author Contributions
Funding
Institutional Review Board Statement
Informed Consent Statement
Data Availability Statement
Acknowledgments
Conflicts of Interest
References
- Paterson, D.H.; Jones, G.R.; Rice, C.L. Ageing and physical activity: Evidence to develop exercise recommendations for older adults. Appl. Physiol. Nutr. Metab. 2007, 32, S69–S108. [Google Scholar] [CrossRef]
- Tieland, M.; Trouwborst, I.; Clark, B.C. Skeletal muscle performance and ageing. J. Cachexia Sarcopenia Muscle 2018, 9, 3–19. [Google Scholar] [CrossRef]
- Di Lorito, C.; Long, A.; Byrne, A.; Harwood, R.H.; Gladman, J.R.; Schneider, S.; Logan, P.; Bosco, A.; van der Wardt, V. Exercise interventions for older adults: A systematic review of meta-analyses. J. Sport. Health Sci. 2021, 10, 29–47. [Google Scholar] [CrossRef]
- de Labra, C.; Guimaraes-Pinheiro, C.; Maseda, A.; Lorenzo, T.; Millán-Calenti, J.C. Effects of physical exercise interventions in frail older adults: A systematic review of randomized controlled trials. BMC Geriatr. 2015, 15, 154. [Google Scholar] [CrossRef]
- WHO. WHO Guidelines on Physical Activity and Sedentary Behavior; Glance: Geneva, Switzerland, 2020. [Google Scholar]
- Nascimento, M.d.M.; Gouveia, É.R.; Gouveia, B.R.; Marques, A.; França, C.; Freitas, D.L.; Campos, P.; Ihle, A. Exploring mediation effects of gait speed, body balance, and falls in the relationship between physical activity and health-related quality of life in vulnerable older adults. Int. J. Environ. Res. Public. Health 2022, 19, 14135. [Google Scholar] [CrossRef]
- Moylan, K.C.; Binder, E.F. Falls in older adults: Risk assessment, management and prevention. Am. J. Med. 2007, 120, 493.e1-6. [Google Scholar] [CrossRef] [PubMed]
- Inouye, S.K.; Brown, C.J.; Tinetti, M.E. Medicare nonpayment, hospital falls, and unintended consequences. N. Engl. J. Med. 2009, 360, 2390. [Google Scholar] [CrossRef]
- Ambrose, A.F.; Paul, G.; Hausdorff, J.M. Risk factors for falls among older adults: A review of the literature. Maturitas 2013, 75, 51–61. [Google Scholar] [CrossRef] [PubMed]
- Clemson, L.; Singh, M.F.; Bundy, A.; Cumming, R.G.; Weissel, E.; Munro, J.; Manollaras, K.; Black, D. LiFE Pilot Study: A randomised trial of balance and strength training embedded in daily life activity to reduce falls in older adults. Aust. Occup. Ther. J. 2010, 57, 42–50. [Google Scholar] [CrossRef]
- Dipietro, L.; Campbell, W.W.; Buchner, D.M.; Erickson, K.I.; Powell, K.E.; Bloodgood, B.; Hughes, T.; Day, K.R.; Piercy, K.L.; Vaux-Bjerke, A. Physical activity, injurious falls, and physical function in aging: An umbrella review. Med. Sci. Sports Exerc. 2019, 51, 1303. [Google Scholar] [CrossRef] [PubMed]
- Daskalopoulou, C.; Stubbs, B.; Kralj, C.; Koukounari, A.; Prince, M.; Prina, A.M. Physical activity and healthy ageing: A systematic review and meta-analysis of longitudinal cohort studies. Ageing Res. Rev. 2017, 38, 6–17. [Google Scholar] [CrossRef]
- Ismail, N.A.; Hashim, H.A.; Ahmad Yusof, H. Physical activity and exergames among older adults: A scoping review. Games Health J. 2022, 11, 1–17. [Google Scholar] [CrossRef] [PubMed]
- Kappen, D.L.; Mirza-Babaei, P.; Nacke, L.E. Older adults’ physical activity and exergames: A systematic review. Int. J. Hum. Comput. Interact. 2019, 35, 140–167. [Google Scholar] [CrossRef]
- Agmon, M.; Perry, C.K.; Phelan, E.; Demiris, G.; Nguyen, H.Q. A pilot study of Wii Fit exergames to improve balance in older adults. J. Geriatr. Phys. Ther. 2011, 34, 161–167. [Google Scholar] [CrossRef]
- Yu, T.-C.; Chiang, C.-H.; Wu, P.-T.; Wu, W.-L.; Chu, I.-H. Effects of exergames on physical fitness in middle-aged and older adults in Taiwan. Int. J. Environ. Res. Public. Health 2020, 17, 2565. [Google Scholar] [CrossRef]
- Deary, I.J.; Corley, J.; Gow, A.J.; Harris, S.E.; Houlihan, L.M.; Marioni, R.E.; Penke, L.; Rafnsson, S.B.; Starr, J.M. Age-associated cognitive decline. Br. Med. Bull. 2009, 92, 135–152. [Google Scholar] [CrossRef] [PubMed]
- Yen, H.-Y.; Chiu, H.-L. Virtual reality exergames for improving older adults’ cognition and depression: A systematic review and meta-analysis of randomized control trials. J. Am. Med. Dir. Assoc. 2021, 22, 995–1002. [Google Scholar] [CrossRef]
- Kirk, A.; MacMillan, F.; Rice, M.; Carmichael, A. An exploratory study examining the appropriateness and potential benefit of the Nintendo Wii as a physical activity tool in adults aged ≥ 55 years. Interact. Comput. 2013, 25, 102–114. [Google Scholar] [CrossRef]
- Ordnung, M.; Hoff, M.; Kaminski, E.; Villringer, A.; Ragert, P. No overt effects of a 6-week exergame training on sensorimotor and cognitive function in older adults. A preliminary investigation. Front. Hum. Neurosci. 2017, 11, 160. [Google Scholar] [CrossRef]
- Yang, C.-M.; Hsieh, J.S.C.; Chen, Y.-C.; Yang, S.-Y.; Lin, H.-C.K. Effects of Kinect exergames on balance training among community older adults: A randomized controlled trial. Medicine 2020, 99, e21228. [Google Scholar] [CrossRef]
- Freitas, E.; Noronha, H.; França, C.; Gouveia, É.; Bala, P.; Campos, P.; Dionísio, M. FitFest: Designing a Narrative-driven Exergame to Engage Active Seniors in Physical Activity. In Proceedings of the 27th International Academic Mindtrek Conference, New York, NY, USA, 8 October 2024; pp. 301–305. [Google Scholar]
- Bushman, B.; American College of Sports Medicine. ACSM’s Complete Guide to Fitness & Health, 2E; Human Kinetics: Champaign, IL, USA, 2017. [Google Scholar]
- Barg-Walkow, L.H.; Harrington, C.N.; Mitzner, T.L.; Hartley, J.Q.; Rogers, W.A. Understanding older adults’ perceptions of and attitudes towards exergames. Gerontechnology 2017, 16, 81. [Google Scholar] [CrossRef] [PubMed]
- ActiGraph. ActiGraph Wearable Devices. Available online: https://theactigraph.com (accessed on 10 September 2024).
- Barnett, A.; Van Den Hoek, D.; Barnett, D.; Cerin, E. Measuring moderate-intensity walking in older adults using the ActiGraph accelerometer. BMC Geriatr. 2016, 16, 211. [Google Scholar] [CrossRef]
- Bammann, K.; Thomson, N.K.; Albrecht, B.M.; Buchan, D.S.; Easton, C. Generation and validation of ActiGraph GT3X+ accelerometer cut-points for assessing physical activity intensity in older adults. The Outdoor Active validation study. PLoS ONE 2021, 16, e0252615. [Google Scholar] [CrossRef]
- Robertson, R.J. Perceived Exertion for Practitioners: Rating Effort with the OMNI Picture System; Human Kinetics: Champaign, IL, USA, 2004. [Google Scholar]
- Martins, A.I.; Rosa, A.F.; Queirós, A.; Silva, A.; Rocha, N.P. European Portuguese validation of the system usability scale (SUS). Procedia Comput. Sci. 2015, 67, 293–300. [Google Scholar] [CrossRef]
- Buman, M.P.; Hekler, E.B.; Haskell, W.L.; Pruitt, L.; Conway, T.L.; Cain, K.L.; Sallis, J.F.; Saelens, B.E.; Frank, L.D.; King, A.C. Objective light-intensity physical activity associations with rated health in older adults. Am. J. Epidemiol. 2010, 172, 1155–1165. [Google Scholar] [CrossRef] [PubMed]
- Loprinzi, P.D.; Lee, H.; Cardinal, B.J. Evidence to support including lifestyle light-intensity recommendations in physical activity guidelines for older adults. Am. J. Health Promot. 2015, 29, 277–284. [Google Scholar] [CrossRef] [PubMed]
- Rytterström, P.; Strömberg, A.; Jaarsma, T.; Klompstra, L. Exergaming to Increase Physical Activity in Older Adults: Feasibility and Practical Implications. Curr. Heart Fail. Rep. 2024, 21, 439–459. [Google Scholar] [CrossRef] [PubMed]
- Katzmarzyk, P.T.; Powell, K.E.; Jakicic, J.M.; Troiano, R.P.; Piercy, K.; Tennant, B.; Committee, P.A.G.A. Sedentary behavior and health: Update from the 2018 physical activity guidelines advisory committee. Med. Sci. Sports Exerc. 2019, 51, 1227. [Google Scholar] [CrossRef]
- Chodzko-Zajko, W.J.; Proctor, D.N.; Singh, M.A.F.; Minson, C.T.; Nigg, C.R.; Salem, G.J.; Skinner, J.S. Exercise and physical activity for older adults. Med. Sci. Sports Exerc. 2009, 41, 1510–1530. [Google Scholar] [CrossRef]
- Ogawa, E.; Huang, H.; Yu, L.-F.; You, T. Physiological responses and enjoyment of Kinect-based exergames in older adults at risk for falls: A feasibility study. Technol. Health Care 2019, 27, 353–362. [Google Scholar] [CrossRef]
- Mann, T.; Lamberts, R.P.; Lambert, M.I. Methods of prescribing relative exercise intensity: Physiological and practical considerations. Sports Med. 2013, 43, 613–625. [Google Scholar] [CrossRef]
- Fox, S. Physical activity and the prevention of coronary heart disease. Ann. Clin. Res. 1971, 3, 404–432. [Google Scholar] [CrossRef]
- Fletcher, G.F.; Ades, P.A.; Kligfield, P.; Arena, R.; Balady, G.J.; Bittner, V.A.; Coke, L.A.; Fleg, J.L.; Forman, D.E.; Gerber, T.C. Exercise standards for testing and training: A scientific statement from the American Heart Association. Circulation 2013, 128, 873–934. [Google Scholar] [CrossRef]
- Tanaka, H.; Monahan, K.D.; Seals, D.R. Age-predicted maximal heart rate revisited. J. Am. Coll. Cardiol. 2001, 37, 153–156. [Google Scholar] [CrossRef]
- Hu, L.; McAuley, E.; Motl, R.W.; Konopack, J.F. Influence of self-efficacy on the functional relationship between ratings of perceived exertion and exercise intensity. J. Cardiopulm. Rehabil. 2007, 27, 303–308. [Google Scholar] [CrossRef] [PubMed]
- Bandura, A. Social Foundations of Thought and Action; Prentice-Hall: Englewood Cliffs, NJ, USA, 1986. [Google Scholar]
- Adcock, M.; Sonder, F.; Schättin, A.; Gennaro, F.; de Bruin, E.D. A usability study of a multicomponent video game-based training for older adults. Eur. Rev. Aging Phys. Act. 2020, 17, 3. [Google Scholar] [CrossRef] [PubMed]
- Vaziri, D.D.; Aal, K.; Ogonowski, C.; Von Rekowski, T.; Kroll, M.; Marston, H.R.; Poveda, R.; Gschwind, Y.J.; Delbaere, K.; Wieching, R. Exploring user experience and technology acceptance for a fall prevention system: Results from a randomized clinical trial and a living lab. Eur. Rev. Aging Phys. Act. 2016, 13, 6. [Google Scholar] [CrossRef] [PubMed]





| Wine Fest | |||||||
|---|---|---|---|---|---|---|---|
| Scenarios | Physical Fitness | Cognitive Abilities | |||||
| Balance | Agility | Cardiorespiratory | Mobility | Strength | Memory | Constructive skill | |
| Grape picking | Steps Grape picking | Side movements | Steps height Number of steps | Grape picking | Grape storage (lower body) Number of steps (lower body) | Grape’s color | None |
| Grape selection | Grape picking | Side movements | Speed of movement | None | None | Grape’s color | None |
| Grape transportation | Equipment control | Side movements (avoid obstacles) | Speed of movement | None | Preparing the transport (lower body) Equipment control (upper body) | Grape’s color | None |
| Winemaking | Steps | Side movements | Steps height Number of steps | None | Number of steps (lower body) | None | None |
| Poster session | None | None | None | Puzzle piece selection | None | Puzzle piece selection | Puzzle piece selection |
| Flower Fest | |||||||
|---|---|---|---|---|---|---|---|
| Scenarios | Physical Fitness | Cognitive Abilities | |||||
| Balance | Agility | Cardiorespiratory | Mobility | Strength | Memory | Constructive skill | |
| Flower picking | Steps Flower picking | Side movements | Steps height Number of steps | Flower picking | Flower storage (lower body) Number of steps (lower body) | Flower’s color | None |
| Flower carpet decoration | Flower picking | Side movements | Speed of movement | None | Flower storage (lower body) | Flower’s color | None |
| Flower festival (dance) | Feet and arms coordination | None | Speed of movement | None | Arm movements (upper body) Leg movements (lower body) | Movement sequence | None |
| Flower parade | Side steps | Side movements (avoid obstacles) | Speed of movement | None | Number of steps (lower body) | None | None |
| Poster session | None | None | None | Puzzle piece selection | None | Puzzle piece selection | Puzzle piece selection |
| Variable | Mean ± Standard Deviation |
|---|---|
| Sedentary behavior (%) | 56.5 ± 20.4 |
| Light PA (%) | 42.1 ± 19.3 |
| Moderate PA (%) | 1.4 ± 2.4 |
| Vigorous PA (%) | 0.1 ± 0.1 |
| Moderate-to-vigorous PA (%) | 1.4 ± 2.4 |
| Total steps (n) | 436.7 ± 308.7 |
| Steps per minute (n) | 10.8 ± 7.9 |
| Average HR (bpm) | 92.1 ± 14.5 |
| Minimum HR (bpm) | 71.8 ± 12.0 |
| Maximum HR (bpm) | 115.0 ± 25.3 |
Disclaimer/Publisher’s Note: The statements, opinions and data contained in all publications are solely those of the individual author(s) and contributor(s) and not of MDPI and/or the editor(s). MDPI and/or the editor(s) disclaim responsibility for any injury to people or property resulting from any ideas, methods, instructions or products referred to in the content. |
© 2025 by the authors. Licensee MDPI, Basel, Switzerland. This article is an open access article distributed under the terms and conditions of the Creative Commons Attribution (CC BY) license (https://creativecommons.org/licenses/by/4.0/).
Share and Cite
França, C.; Noronha, H.; Freitas, E.; Campos, P.; Ornelas, R.T.; Gouveia, É.R. Physical and Physiological Characterization of Custom-Made Virtual Reality Exergames: A Pilot Study. Sports 2025, 13, 380. https://doi.org/10.3390/sports13110380
França C, Noronha H, Freitas E, Campos P, Ornelas RT, Gouveia ÉR. Physical and Physiological Characterization of Custom-Made Virtual Reality Exergames: A Pilot Study. Sports. 2025; 13(11):380. https://doi.org/10.3390/sports13110380
Chicago/Turabian StyleFrança, Cíntia, Hildegardo Noronha, Eva Freitas, Pedro Campos, Rui T. Ornelas, and Élvio R. Gouveia. 2025. "Physical and Physiological Characterization of Custom-Made Virtual Reality Exergames: A Pilot Study" Sports 13, no. 11: 380. https://doi.org/10.3390/sports13110380
APA StyleFrança, C., Noronha, H., Freitas, E., Campos, P., Ornelas, R. T., & Gouveia, É. R. (2025). Physical and Physiological Characterization of Custom-Made Virtual Reality Exergames: A Pilot Study. Sports, 13(11), 380. https://doi.org/10.3390/sports13110380

