Arm Propulsion in Front Crawl Stroke
Abstract
1. Introduction
2. Materials and Methods
2.1. Subjects
2.2. Procedures
2.2.1. Drag Measurement
2.2.2. The 15 m Swimming Test
2.2.3. Simi Motion Analysis
2.2.4. Variables Calculated for Each Athlete
2.3. Statistical Analysis
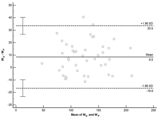
3. Results
4. Discussion and Implications
- Consider the Aeff = Ah + (~ 8.5%) with Cdh = 1.2.
- Consider only the hand’s area and use a value of Cdhe of about ~1.3.
5. Conclusions
Author Contributions
Funding
Institutional Review Board Statement
Informed Consent Statement
Data Availability Statement
Conflicts of Interest
References
- Millet, G.P.; Chollet, D.; Chalies, S.; Chatard, J.C. Coordination in Front Crawl in Elite Triathletes and Elite Swimmers. Int. J. Sports Med. 2002, 23, 99–104. [Google Scholar] [CrossRef] [PubMed]
- Deschodt, V.J.; Arsac, L.M.; Rouard, A.H. Relative Contribution of Arms and Legs in Humans to Propulsion in 25-m Sprint Front-Crawl Swimming. Eur. J. Appl. Physiol. 1999, 80, 192–199. [Google Scholar] [CrossRef] [PubMed]
- Hollander, A.P.; de Groot, G.; van Ingen Schenau, G.J. Contribution of the Legs to Propulsion in Front Crawl Swimming; International Series of Sport Sciences; Human Kinetics Books: Champaign, IL, USA, 1987; Volume 18, pp. 39–43. [Google Scholar]
- Watkins, J. The Effects of Leg Action on Performance in the Sprint Front Crawl Stroke. Biomech. Med. Swim. 1983, 310–314. [Google Scholar]
- Bartolomeu, R.F.; Costa, M.J.; Barbosa, T.M. Contribution of Limbs’ Actions to the Four Competitive Swimming Strokes: A Nonlinear Approach. J. Sports Sci. 2018, 36, 1836–1845. [Google Scholar] [CrossRef]
- Ikuta, Y.; Matsuda, Y.; Yamada, Y.; Kida, N.; Oda, S.; Moritani, T. Relationship between Decreased Swimming Velocity and Muscle Activity during 200-m Front Crawl. Eur. J. Appl. Physiol. 2012, 112, 3417–3429. [Google Scholar] [CrossRef]
- Caty, V.; Aujouannet, Y.; Hintzy, F.; Bonifazi, M.; Clarys, J.P.; Rouard, A.H. Wrist Stabilisation and Forearm Muscle Coactivation during Freestyle Swimming. J. Electromyogr. Kinesiol. 2007, 17, 285–291. [Google Scholar] [CrossRef]
- Clarys, J.P.; Rouard, A.H. The Frontcrawl Downsweep: Shoulder Protection and/or Performance Inhibition. J. Sports Med. Phys. Fit. 1996, 36, 121–126. [Google Scholar]
- Pink, M.; Perry, J.; Browne, A.; Scovazzo, M.L.; Kerrigan, J. The Normal Shoulder during Freestyle Swimming: An Electromyographic and Cinematographic Analysis of Twelve Muscles. Am. J. Sports Med. 1991, 19, 569–576. [Google Scholar] [CrossRef]
- Toussaint, H.M.; Beek, P.J. Biomechanics of Competitive Front Crawl Swimming. Sports Med. 1992, 13, 8–24. [Google Scholar] [CrossRef]
- Counsilman, J.E. The Application of Bernoulli’s Principle to Human Propulsion in Water. Swimming 1971, 1, 59–71. [Google Scholar]
- Barthels, K.; Adrian, M. Three Dimensional Spatial Hand Patterns of Skilled Butterfly Swimmers. Swimming II 1975, 154–160. [Google Scholar]
- Rackham, G. An Analysis of Arm Propulsion in Swimming. Swimming II 1975, 174–179. [Google Scholar]
- Schleihauf, R. A Hydrodynamic Analysis of Breaststroke Pulling Proficiency. Swim. Tech. 1976, 13, 2–100. [Google Scholar]
- Schleihauf, R. Swimming Propulsion: A Hydrodynamic Analysis. ASCA 1977, 49–85. [Google Scholar]
- Schleihauf, R.E. A Biomechanical Analysis of Freestyle. Swim. Tech. 1974, 11, 89–96. [Google Scholar]
- Klika, V. Biomechanics in Applications; BoD—Books on Demand: Norderstedt, Germany, 2011; ISBN 978-953-307-969-1. [Google Scholar]
- Fang, J.; Li, Y.; Cheng, Y. The Variability of Competitive Performance and Pacing Strategies in Different Rounds of the 400 m and 800 m Freestyle Swimming Races at the 2017–2024 World Swimming Championships. Front. Sports Act. Living 2024, 6, 1496878. [Google Scholar] [CrossRef]
- Verrelli, C.M.; Romagnoli, C.; Jackson, R.R.; Ferretti, I.; Annino, G.; Bonaiuto, V. Front Crawl Stroke in Swimming: Phase Durations and Self-Similarity. J. Biomech. 2021, 118, 110267. [Google Scholar] [CrossRef]
- Berger, M.A.M.; de Groot, G.; Hollander, A.P. Hydrodynamic Drag and Lift Forces on Human Hand/Arm Models. J. Biomech. 1995, 28, 125–133. [Google Scholar] [CrossRef]
- Koga, D.; Gonjo, T.; Kawai, E.; Tsunokawa, T.; Sakai, S.; Sengoku, Y.; Homma, M.; Takagi, H. Effects of Exceeding Stroke Frequency of Maximal Effort on Hand Kinematics and Hand Propulsive Force in Front Crawl. Sports Biomech. 2024, 23, 15–27. [Google Scholar] [CrossRef]
- Schleihauf, R. A Hydrodynamic Analysis of Swimming Propulsion. Swimming 1979, 70–109. [Google Scholar]
- Alexander, R.M.; Goldspink, G. Mechanics and Energetics of Animal Locomotion; Chapman and Hall: London, UK, 1977. [Google Scholar]
- Toussaint, H.M.; Hollander, P.; Berg, C.; Vorontsov, A. Biomechanics of Swimming. Exerc. Sport. Sci. 2000, 639–660. [Google Scholar]
- Cortesi, M.; Gatta, G.; Carmigniani, R.; Zamparo, P. Estimating Active Drag Based on Full and Semi-Tethered Swimming Tests. J. Sports Sci. Med. 2024, 23, 17–24. [Google Scholar] [CrossRef] [PubMed]
- Gatta, G.; Cortesi, M.; Fantozzi, S.; Zamparo, P. Planimetric Frontal Area in the Four Swimming Strokes: Implications for Drag, Energetics and Speed. Hum. Mov. Sci. 2015, 39, 41–54. [Google Scholar] [CrossRef] [PubMed]
- Kolmogorov, S.V.; Duplishcheva, O.A. Active Drag, Useful Mechanical Power Output and Hydrodynamic Force Coefficient in Different Swimming Strokes at Maximal Velocity. J. Biomech. 1992, 25, 311–318. [Google Scholar] [CrossRef]
- Schultz, W.W.; Webb, P.W. Power Requirements of Swimming: Do New Methods Resolve Old Questions? Integr. Comp. Biol. 2002, 42, 1018–1025. [Google Scholar] [CrossRef]
- Gatta, G.; Cortesi, M.; Zamparo, P. The Relationship between Power Generated by Thrust and Power to Overcome Drag in Elite Short Distance Swimmers. PLoS ONE 2016, 11, e0162387. [Google Scholar] [CrossRef]
- Romagnoli, C.; Ditroilo, M.; Bonaiuto, V.; Annino, G.; Gatta, G. Paddle Propulsive Force and Power Balance: A New Approach to Performance Assessment in Flatwater Kayaking. Sports Biomech. 2022, 1–14. [Google Scholar] [CrossRef]
- Bonaiuto, V.; Gatta, G.; Romagnoli, C.; Boatto, P.; Lanotte, N.; Annino, G. A Pilot Study on the E-Kayak System: A Wireless DAQ Suited for Performance Analysis in Flatwater Sprint Kayaks. Sensors 2020, 20, 542. [Google Scholar] [CrossRef]
- Payton, C.J.; Bartlett, R.M. Estimating Propulsive Forces in Swimming from Three-dimensional Kinematic Data. J. Sports Sci. 1995, 13, 447–454. [Google Scholar] [CrossRef]
- Sidelnik, N.O.; Young, B.W. Optimising the Freestyle Swimming Stroke: The Effect of Finger Spread. Sports Eng. 2006, 9, 129–135. [Google Scholar] [CrossRef]
- Van den Berg, J.; Bazuin, R.; Jux, C.; Sciacchitano, A.; Westerweel, J.; van de Water, W. The Effect of Hand Posture on Swimming Efficiency. Exp. Fluids 2021, 62, 245. [Google Scholar] [CrossRef]
- Van Houwelingen, J.; Schreven, S.; Smeets, J.B.J.; Clercx, H.J.H.; Beek, P.J. Effective Propulsion in Swimming: Grasping the Hydrodynamics of Hand and Arm Movements. J. Appl. Biomech. 2017, 33, 87–100. [Google Scholar] [CrossRef] [PubMed]
- Takagi, H.; Shimizu, Y.; Kurashima, A.; Sanders, R. Effect of thumb abduction and adduction on hydrodyamic characteristics of a model of the human hand. In Proceedings of the XIX International Symposium on Biomechanics in Sports, San Francisco, CA, USA, 20–26 June 2001. [Google Scholar]
- Bixler, B.; Riewald, S. Analysis of a Swimmer’s Hand and Arm in Steady Flow Conditions Using Computational Fluid Dynamics. J. Biomech. 2002, 35, 713–717. [Google Scholar] [CrossRef] [PubMed]
- Kudo, S.; Yanai, T.; Wilson, B.; Takagi, H.; Vennell, R. Prediction of Fluid Forces Acting on a Hand Model in Unsteady Flow Conditions. J. Biomech. 2008, 41, 1131–1136. [Google Scholar] [CrossRef] [PubMed]
- Schleihauf, R. Three-Dimensional Analysis of Hand Propulsion in the Sprint Front Crawl Stroke, Biomechanics and Medicine in Swimming. Hum. Kinet. Publ. Champaign 1983, 173–184. [Google Scholar]
- Gardano, P.; Dabnichki, P. On Hydrodynamics of Drag and Lift of the Human Arm. J. Biomech. 2006, 39, 2767–2773. [Google Scholar] [CrossRef]
- Gourgoulis, V.; Antoniou, P.; Aggeloussis, N.; Mavridis, G.; Kasimatis, P.; Vezos, N.; Boli, A.; Mavromatis, G. Kinematic Characteristics of the Stroke and Orientation of the Hand during Front Crawl Resisted Swimming. J. Sports Sci. 2010, 28, 1165–1173. [Google Scholar] [CrossRef]
- Cohen, R.C.Z.; Cleary, P.W.; Mason, B.R.; Pease, D.L. The Role of the Hand During Freestyle Swimming. J. Biomech. Eng. 2015, 137, 111007. [Google Scholar] [CrossRef]
- Samson, M.; Bernard, A.; Monnet, T.; Lacouture, P.; David, L. Unsteady Computational Fluid Dynamics in Front Crawl Swimming. Comput. Methods Biomech. Biomed. Eng. 2017, 20, 783–793. [Google Scholar] [CrossRef]
- Bilinauskaite, M.; Mantha, V.R.; Rouboa, A.I.; Silva, A.J.; Ziliukas, P. Computational Fluid Dynamics Study of Swimmer’s Hand Velocity, Orientation, and Shape: Contributions to Hydrodynamics. BioMed Res. Int. 2013, 2013, e140487. [Google Scholar] [CrossRef]
- Houssay, F. Forme, Puissance et Stabilité Des Poissons; Librairie scientifique: Paris, France, 1912; Volume 4. [Google Scholar]
- Cureton, T.K., Jr. Mechanics and Kinesiology of Swimming. Res. Q. Am. Phys. Educ. Assoc. 1930, 1, 87–121. [Google Scholar]
- Karpovich, P.V.; Pestrecov, K. Mechanical Work and Efficiency in Swimming Crawl and Back Strokes. Arbeitsphysiologie 1939, 10, 504–514. [Google Scholar] [CrossRef]
- Liljestrand, G.; Stenström, N. Studien Über Die Physiologie Des Schwimmens 1. Skand. Arch. Physiol. 1920, 39, 1–63. [Google Scholar] [CrossRef]
- Di Prampero, P.E.; Pendergast, D.R.; Wilson, D.W.; Rennie, D.W. Energetics of Swimming in Man. J. Appl. Physiol. 1974, 37, 1–5. [Google Scholar] [CrossRef] [PubMed]
- Dos Santos, K.B.; Pereira, G.; Papoti, M.; Bento, P.C.B.; Rodacki, A. Propulsive Force Asymmetry during Tethered-Swimming. Int. J. Sports Med. 2013, 34, 606–611. [Google Scholar] [CrossRef]
- Santos, K.B.; Bento, P.C.B.; Pereira, G.; Rodacki, A.L.F. The Relationship Between Propulsive Force in Tethered Swimming and 200-m Front Crawl Performance. J. Strength Cond. Res. 2016, 30, 2500–2507. [Google Scholar] [CrossRef]
- Joaquim Baratto de Azevedo, O.; Knierim Correia, C.; Soares Pereira, G.; Prado, L.S.; Roesler, H.; Pereira, S.M.; Ruschel, C. Effect of Three Different Set-up Conditions on the Propulsive Force Measures, Reliability, and Ecological Validity during Front Crawl Tethered-Swimming. Int. J. Perform. Anal. Sport 2021, 21, 1081–1100. [Google Scholar] [CrossRef]
- Ruiz-Navarro, J.J.; Andersen, J.T.; Cuenca-Fernández, F.; López-Contreras, G.; Morouço, P.G.; Arellano, R. Quantification of Swimmers’ Ability to Apply Force in the Water: The Potential Role of Two New Variables during Tethered Swimming. Sports Biomech. 2022, 1–13. [Google Scholar] [CrossRef]
- Magel, J.R. Propelling Force Measured during Tethered Swimming in the Four Competitive Swimming Styles. Res. Q. Am. Assoc. Health Phys. Educ. Recreat. 1970, 41, 68–74. [Google Scholar] [CrossRef]
- Faulkner, J.A. Physiology of Swimming. Res. Q. Am. Assoc. Heal. Phys. Educ. Recreat. 1966, 37, 41–54. [Google Scholar] [CrossRef]
- Costill, D.L. Use of a Swimming Ergometer in Physiological Research. Res. Q. Am. Assoc. Heal. Phys. Educ. Recreat. 1966, 37, 564–567. [Google Scholar] [CrossRef]
- Marinho, D.A.; Barbosa, T.M.; Auvinen, A.; Lopes, T.J.; Silva, A.J.; Morais, J.E. Smartpaddle® as a New Tool for Monitoring Swimmers’ Kinematic and Kinetic Variables in Real Time. Open Sports Sci. J. 2022, 15, e1875399X2210310. [Google Scholar] [CrossRef]
- Santos, C.C.; Marinho, D.A.; Costa, M.J. Reliability of Using a Pressure Sensor System to Measure In-Water Force in Young Competitive Swimmers. Front. Bioeng. Biotechnol. 2022, 10, 903753. [Google Scholar] [CrossRef]
- Bonaiuto, V.; Boatto, P.; Lanotte, N.; Romagnoli, C.; Annino, G. A Multiprotocol Wireless Sensor Network for High Performance Sport Applications. Appl. Syst. Innov. 2018, 1, 52. [Google Scholar] [CrossRef]
- Biomechanics and Medicine in Swimming V1. Available online: https://www.routledge.com/Biomechanics-and-Medicine-in-Swimming-V1/Lees-MacLaren-Reilly/p/book/9781138880474 (accessed on 12 December 2024).
- BERGER, M.A.M. Determining Propulsive Force in Front Crawl Swimming: A Comparison of Two Methods. J. Sports Sci. 1999, 17, 97–105. [Google Scholar] [CrossRef]
- Ceseracciu, E.; Sawacha, Z.; Fantozzi, S.; Cortesi, M.; Gatta, G.; Corazza, S.; Cobelli, C. Markerless Analysis of Front Crawl Swimming. J. Biomech. 2011, 44, 2236–2242. [Google Scholar] [CrossRef]
- Cronin, N.J.; Walker, J.; Tucker, C.B.; Nicholson, G.; Cooke, M.; Merlino, S.; Bissas, A. Feasibility of OpenPose Markerless Motion Analysis in a Real Athletics Competition. Front. Sports Act. Living 2024, 5, 1298003. [Google Scholar] [CrossRef]
- Ceccon, S.; Ceseracciu, E.; Sawacha, Z.; Gatta, G.; Cortesi, M.; Cobelli, C.; Fantozzi, S. Motion Analysis of Front Crawl Swimming Applying CAST Technique by Means of Automatic Tracking. J. Sports Sci. 2013, 31, 276–287. [Google Scholar] [CrossRef]
- Figueiredo, P.; Seifert, L.; Vilas-Boas, J.P.; Fernandes, R.J. Individual Profiles of Spatio-Temporal Coordination in High Intensity Swimming. Hum. Mov. Sci. 2012, 31, 1200–1212. [Google Scholar] [CrossRef]
- Chen, L.; Armstrong, C.W.; Raftopoulos, D.D. An Investigation on the Accuracy of Three-Dimensional Space Reconstruction Using the Direct Linear Transformation Technique. J. Biomech. 1994, 27, 493–500. [Google Scholar] [CrossRef]
- Bissas, A.; Walker, J.; Paradisis, G.P.; Hanley, B.; Tucker, C.B.; Jongerius, N.; Thomas, A.; Merlino, S.; Vazel, P.-J.; Girard, O. Asymmetry in Sprinting: An Insight into Sub-10 and Sub-11 s Men and Women Sprinters. Scand. J. Med. Sci. Sports 2022, 32, 69–82. [Google Scholar] [CrossRef] [PubMed]
- Bielik, V.; Lendvorskỳ, L.; Lengvarskỳ, L.; Lopata, P.; Petriska, R.; Pelikánová, J. Road to the Olympics: Physical Fitness of Medalists of the Canoe Sprint Junior European and World Championship Events over the Past 20 Years. J. Sports Med. Phys. Fit. 2017, 58, 768–777. [Google Scholar] [CrossRef] [PubMed]
- Bland, J.M.; Altman, D.G. Agreement Between Methods of Measurement with Multiple Observations Per Individual. J. Biopharm. Stat. 2007, 17, 571–582. [Google Scholar] [CrossRef] [PubMed]
- Lin, L.I.-K. A Concordance Correlation Coefficient to Evaluate Reproducibility. Biometrics 1989, 45, 255–268. [Google Scholar] [CrossRef]
- McBride, G. A Proposal for Strength-of-Agreement Criteria for Lin’s Concordance Correlation Coefficient. In NIWA Client Report: HAM2005-062; National Institute of Water & Atmospheric Research Ltd.: Hamilton, New Zealand, 2005; Volume 45, pp. 307–310. [Google Scholar]
- Barnhart, H.X.; Barboriak, D.P. Applications of the Repeatability of Quantitative Imaging Biomarkers: A Review of Statistical Analysis of Repeat Data Sets. Transl. Oncol. 2009, 2, 231–235. [Google Scholar] [CrossRef]
- Cohen, J. Statistical Power Analysis. Curr. Dir. Psychol. Sci. 1992, 1, 98–101. [Google Scholar] [CrossRef]
- Cooper, H.; Hedges, L.V. The Handbook of Research Synthesis; Russell Sage Foundation: New York, NY, USA, 1993; ISBN 978-1-61044-137-7. [Google Scholar]
- Sanders, R.H. Hydrodynamic Characteristics of a Swimmer’s Hand. J. Appl. Biomech. 1999, 15, 3–26. [Google Scholar] [CrossRef]
- Takagi, H.; Sanders, R. Measurement of Propulsion by the Hand during Competitive Swimming. Eng. Sport 2002, 4, 631–637. [Google Scholar]
- Miller, D.I. Biomechanics of Swimming. Exerc. Sport Sci. Rev. 1975, 3, 219–248. [Google Scholar] [CrossRef]
- Tsunokawa, T.; Tsuno, T.; Mankyu, H.; Takagi, H.; Ogita, F. The Effect of Paddles on Pressure and Force Generation at the Hand during Front Crawl. Hum. Mov. Sci. 2018, 57, 409–416. [Google Scholar] [CrossRef]
- Vorontsov, A.; Rumyantsev, V. Propulsive Forces in Swimming. In Biomechanics in Sport; International Olympic Committee: Lausanne, Switzerland, 2000; pp. 205–231. [Google Scholar]
- Ramos Félix, E.; da Silva, H.P.; Olstad, B.H.; Cabri, J.; Lobato Correia, P. SwimBIT: A Novel Approach to Stroke Analysis During Swim Training Based on Attitude and Heading Reference System (AHRS). Sports 2019, 7, 238. [Google Scholar] [CrossRef]


| Coefficient of Passive Drag [Kp] | Coefficient of Active Drag [Ka] | Ah [m2] | [m2] | Swim Velocity (vswm) [m/s] | Hand Velocity (vh) [m/s] | WD [W] | Wp [W] | Fp [N] | Cdhe |
|---|---|---|---|---|---|---|---|---|---|
| 28.16 ± 2.34 | 42.23 ± 3.52 | 0.0164 ± 0.001 | 0.0178 ± 0.003 | 1.44 ± 0.15 | 2.30 ± 0.25 | 129.20 ± 37.91 | 120.71 ± 37.12 | 51.72 ± 10.56 | 1.30 ± 0.15 |
| WD [W] | Wp [W] | p | ES | 95% CI [ES] |
|---|---|---|---|---|
| 129.20 ± 37.91 | 120.71 ± 37.12 | 0.298 | 0.22 | 0.12 to 0.34 |
Disclaimer/Publisher’s Note: The statements, opinions and data contained in all publications are solely those of the individual author(s) and contributor(s) and not of MDPI and/or the editor(s). MDPI and/or the editor(s) disclaim responsibility for any injury to people or property resulting from any ideas, methods, instructions or products referred to in the content. |
© 2025 by the authors. Licensee MDPI, Basel, Switzerland. This article is an open access article distributed under the terms and conditions of the Creative Commons Attribution (CC BY) license (https://creativecommons.org/licenses/by/4.0/).
Share and Cite
Romagnoli, C.; Bonaiuto, V.; Gatta, G. Arm Propulsion in Front Crawl Stroke. Sports 2025, 13, 6. https://doi.org/10.3390/sports13010006
Romagnoli C, Bonaiuto V, Gatta G. Arm Propulsion in Front Crawl Stroke. Sports. 2025; 13(1):6. https://doi.org/10.3390/sports13010006
Chicago/Turabian StyleRomagnoli, Cristian, Vincenzo Bonaiuto, and Giorgio Gatta. 2025. "Arm Propulsion in Front Crawl Stroke" Sports 13, no. 1: 6. https://doi.org/10.3390/sports13010006
APA StyleRomagnoli, C., Bonaiuto, V., & Gatta, G. (2025). Arm Propulsion in Front Crawl Stroke. Sports, 13(1), 6. https://doi.org/10.3390/sports13010006

