Efficacy of Insecticides against the Invasive Apricot Aphid, Myzus mumecola
Abstract
:Simple Summary
Abstract
1. Introduction
2. Materials and Methods
2.1. Aphid collection
2.2. Species Identification by Molecular Analysis
2.3. Insecticides
2.4. Plant Material and Insecticide Application
2.5. Field Dose Bioassay and Dose-Response Curves
2.6. Colony Development Bioassay
2.7. Field Trial
2.8. Statistical Analyses
3. Results
3.1. Insect Identification
3.2. Adults’ Mortality Rates at Field Dose
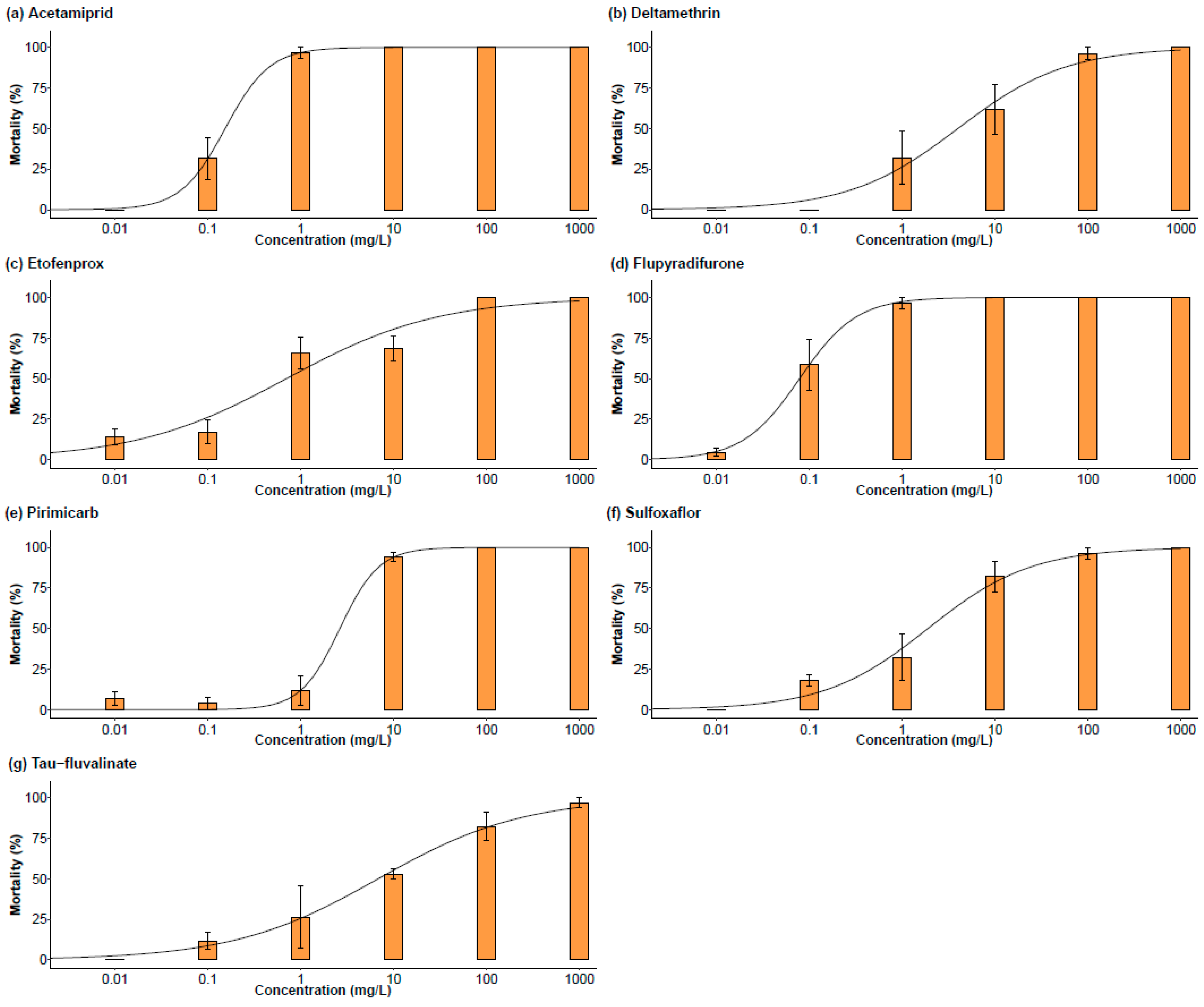
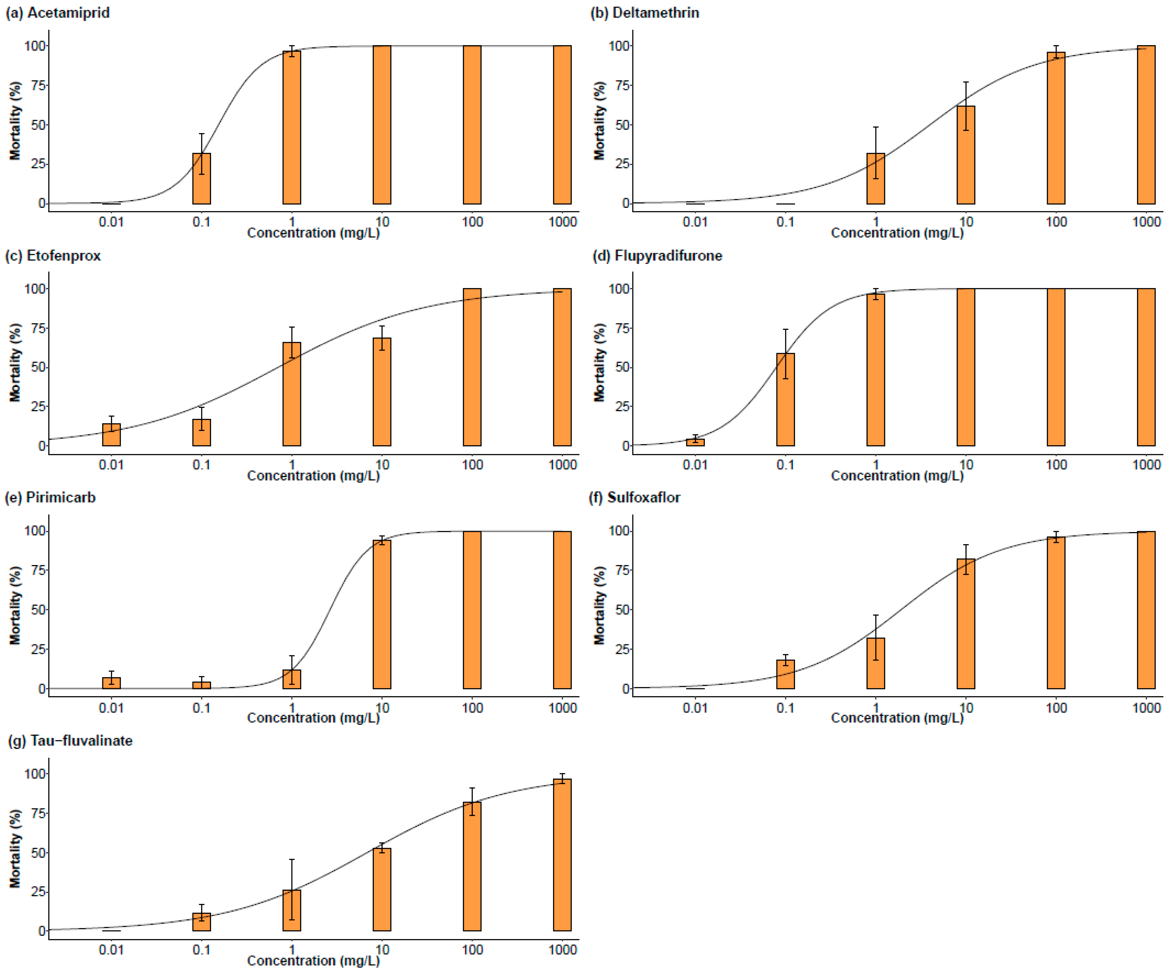
3.3. Dose-Response Curves
3.4. Effects on Colony Development
3.5. Field Efficacy
4. Discussion
4.1. Adult Mortality Rates and Dose-Response Curves
4.2. Colony Development
4.3. Field Efficacy
5. Conclusions
Author Contributions
Funding
Data Availability Statement
Acknowledgments
Conflicts of Interest
References
- Miyazaki, M. A revision of the tribe Macrosiphini of Japan (Homoptera: Aphididae, Aphidinae). Insecta Matsumurana 1971, 34, 1–247. [Google Scholar]
- Panini, M.; Massimino Cocuzza, G.; Dradi, D.; Chiesa, O.; Mazzoni, E. First report of Myzus mumecola (Matsumura, 1917) in Europe. EPPO Bull. 2017, 47, 107–110. [Google Scholar] [CrossRef]
- Petrović-Obradović, O. Asian apricot aphid, Myzus mumecola (Matsumura, 1917) (Hemiptera: Aphididae), found in Serbia. Acta Entomol. Serbica 2021, 26, 19–26. [Google Scholar] [CrossRef]
- Basu, R.C.; Raychaudhuri, D.N. Studies on the aphids (Homoptera: Aphididae) from India XXV. The genus Myzus with five new species from Eastern India. Orient. Insects 1976, 10, 93–111. [Google Scholar] [CrossRef]
- Kimura, K.; Usugi, T.; Hoshi, H.; Kato, A.; Ono, T.; Koyano, S.; Kagiwada, S.; Nishio, T.; Tsuda, S. Surveys of viruliferous alate aphid of Plum pox virus in Prunus mume orchards in Japan. Plant Dis. 2016, 100, 40–48. [Google Scholar] [CrossRef]
- Panini, M.; Mazzoni, E.; Dradi, D. Myzus mumecola, nuovo «afide bianco» dell’albicocco. L’Informatore Agrar. 2016, 30, 55–56. (In Italian) [Google Scholar]
- Borbély, C.; György, Z.; Szathmáry, E.; Markó, V. Apricot aphid, Myzus mumecola (Matsumura), a new and important pest of apricot in Hungary. J. Plant Dis. Prot. 2021, 128, 781–787. [Google Scholar] [CrossRef]
- EPPO Global Database. First report Myzus mumecola in Germany, Hungary, and Serbia. In EPPO Reporting Service; EPPO: Paris, French, 2022; Volume 3, 2022/057; Available online: https://gd.eppo.int/reporting/article-7288 (accessed on 20 July 2023).
- Özgökçe, M.S.; Atlıhan, R. Biological features and life table parameters of the mealy plum aphid Hyalopterus pruni on different apricot cultivars. Phytoparasitica 2005, 33, 7–14. [Google Scholar] [CrossRef]
- Jevremović, D.; Paunović, S.A.; Petrović-Obradović, O. Flight dynamics and species composition of aphids landing on plum and apricot leaves in the orchards in Western Serbia. Phytoparasitica 2016, 44, 501–511. [Google Scholar] [CrossRef]
- Knoll, M.; Koschier, E.H.; Weilgut, S.; Redl, H.; Steinkellner, S. Seasonal fluctuation in the flight activity of potential PPV-vector aphids (Homoptera: Aphididae) in Austrian apricot tree orchards. J. Plant Dis. Prot. 2004, 111, 408–415. [Google Scholar]
- Vasilev, P.; Atanasova, D.; Andreev, R. Efficacy of bioinsecticides against the hop aphid Phorodon humuli (Schrank) (Hemiptera: Aphididae) under laboratory conditions. Can. J. Agric. Crops 2019, 4, 130–135. [Google Scholar] [CrossRef]
- Stark, J.D.; Banks, J.E. Population-level effects of pesticides and other toxicants on arthropods. Annu. Rev. Entomol. 2003, 48, 505–519. [Google Scholar] [CrossRef] [PubMed]
- Blackman, R.L.; Eastop, V.F. Aphids on the World’s Trees: An Identification and Information Guide; CAB International: Wallingford, UK, 1994. [Google Scholar]
- Folmer, O.; Black, M.; Hoeh, W.; Lutz, R.; Vrijenhoek, R. DNA primers for amplification of mitochondrial cytochrome c oxidase subunit I from diverse metazoan invertebrates. Mol. Mar. Biol. Biotechnol. 1994, 3, 294–299. [Google Scholar] [PubMed]
- Sial, M.U.; Zhao, Z.; Zhang, L.; Zhang, Y.; Mao, L.; Jiang, H. Evaluation of insecticides induced hormesis on the demographic parameters of Myzus persicae and expression changes of metabolic resistance detoxification genes. Sci. Rep. 2018, 8, 16601. [Google Scholar] [CrossRef] [PubMed]
- Ritz, C.; Baty, F.; Streibig, J.C.; Gerhard, D. Dose-response analysis using R. PLoS ONE 2015, 10, e0146021. [Google Scholar] [CrossRef] [PubMed]
- Abbott, W.S. A method of computing the effectiveness of an insecticide. J. Econ. Entomol. 1925, 18, 265–267. [Google Scholar] [CrossRef]
- Wickham, H.; Averick, M.; Bryan, J.; Chang, W.; McGowan, L.; François, R.; Grolemund, G.; Hayes, A.; Henry, L.; Hester, J.; et al. Welcome to the Tidyverse. J. Open Source Softw. 2019, 4, 1686. [Google Scholar] [CrossRef]
- AGRI.E.2/EM/pgg (2023)6562882; Meeting of the Expert Group Fruit and Vegetables Market Observatory—Stone Fruit. European Commission: Luxembourg, 2023.
- Sparks, T.C.; Nauen, R. IRAC: Mode of action classification and insecticide resistance management. Pestic. Biochem. Phys. 2015, 121, 122–128. [Google Scholar] [CrossRef]
- Sabra, S.G.; Abbas, N.; Hafez, A.M. First monitoring of resistance and corresponding mechanisms in the green peach aphid, Myzus persicae (Sulzer), to registered and unregistered insecticides in Saudi Arabia. Pestic. Biochem. Phys. 2023, 194, 105504. [Google Scholar] [CrossRef]
- Samara, R.; Lowery, T.D.; Stobbs, L.W.; Vickers, P.M.; Bittner, L.A. Assessment of the effects of novel insecticides on green peach aphid (Myzus persicae) feeding and transmission of Turnip mosaic virus (TuMV). Pest Manag. Sci. 2021, 77, 1482–1491. [Google Scholar] [CrossRef]
- Eleftherianos, I.; Foster, S.P.; Williamson, M.S.; Denholm, I. Characterization of the M918T sodium channel gene mutation associated with strong resistance to pyrethroid insecticides in the peach-potato aphid, Myzus persicae (Sulzer). Bull. Entomol. Res. 2008, 98, 183–191. [Google Scholar] [CrossRef] [PubMed]
- Marasinghe, J.P.; Karunarane, S.H.P.P.; Surendran, S.N.; Hemachandra, K.S.; Nugaliadde, L. Insecticide resistance, resistance mechanisms, and phylogeny of three Myzus persicae populations in cabbage from three agroclimatic zones of Sri Lanka. Trop. Agric. Res. 2023, 34, 80–93. [Google Scholar] [CrossRef]
- Nauen, R.; Jeschke, P.; Velten, R.; Beck, M.E.; Ebbinghaus-Kintscher, U.; Thielert, W.; Wölfel, K.; Haas, M.; Kunz, K.; Raupach, G. Flupyradifurone: A brief profile of a new butenolide insecticide. Pest Manag. Sci. 2015, 71, 850–862. [Google Scholar] [CrossRef] [PubMed]
- Fuentes-Contreras, E.; Figueroa, C.C.; Silva, A.X.; Bacigalupe, L.D.; Briones, L.M.; Foster, S.P.; Unruh, T.R. Survey of resistance to four insecticides and their associated mechanisms in different genotypes of the green peach aphid (Hemiptera: Aphididae) from Chile. J. Econ. Entomol. 2013, 106, 400–407. [Google Scholar] [CrossRef] [PubMed]
- Liu, X.; Tang, Q.; Li, Y.; Campos, M.R.; Liang, P.; Gao, X. Widespread resistance of the aphid Myzus persicae to pirimicarb across China, and insights on ace2 mutation frequency in this species. Entomologia 2017, 36, 285–299. [Google Scholar] [CrossRef]
- Nauen, R.; Elbert, A. European monitoring of resistance to insecticides in Myzus persicae and Aphis gossypii (Hemiptera: Aphididae) with special reference to imidacloprid. Bull. Entomol. Res. 2003, 93, 47–54. [Google Scholar] [CrossRef] [PubMed]
- Mezei, I.; Valverde-Garcia, P.; Siebert, M.W.; Gomez, L.E.; Torne, M.; Watson, G.B.; Raquel, A.M.; Fereres, A.; Sparks, T.C. Impact of the nicotinic acetylcholine receptor mutation R81T on the response of European Myzus persicae populations to imidacloprid and sulfoxaflor in laboratory and in the field. Pestic. Biochem. Phys. 2022, 187, 105187. [Google Scholar] [CrossRef]
- Wang, Z.-H.; Gong, Y.-J.; Chen, J.-C.; Su, X.-C.; Cao, L.-J.; Hoffmann, A.A.; Wei, S.-J. Laboratory selection for resistance to sulfoxaflor and fitness costs in the green peach aphid Myzus persicae. J. Asia-Pac. Entomol. 2018, 21, 408–412. [Google Scholar] [CrossRef]
- Dhingra, S. Shift in the level of susceptibility of Myzus persicae to some insecticides. J. Entomol. Res. 1990, 14, 5–7. [Google Scholar]
- Prota, N.; Bouwmeester, H.J.; Jongsma, M.A. Comparative antifeedant activities of polygodial and pyrethrins against whiteflies (Bemisia tabaci) and aphids (Myzus persicae). Pest Manag. Sci. 2014, 70, 682–688. [Google Scholar] [CrossRef]
- Edelson, J.V.; Duthie, J.; Roberts, W. Toxicity of biorational insecticides: Activity against the green peach aphid, Myzus persicae (Sulzer). Pest Manag. Sci. 2002, 58, 255–260. [Google Scholar] [CrossRef] [PubMed]
- Anjum, F.; Wright, D. Relative toxicity of insecticides to the crucifer pests Plutella xylostella and Myzus persicae and their natural enemies. Crop Prot. 2016, 88, 131–136. [Google Scholar] [CrossRef]
- Anjum, F.; Wright, D.J. Foliar residual toxicity of insecticides to brassica pests and their natural enemies. J. Econ. Entomol. 2023, 116, 153–159. [Google Scholar] [CrossRef] [PubMed]
- Kilani-Morakchi, S.; Morakchi-Goudjil, H.; Sifi, K. Azadirachtin-based insecticide: Overview, risk assessments, and future directions. Front. Agron. 2021, 3, 676208. [Google Scholar] [CrossRef]
- Arthur, A.L.; Kirkland, L.; Chirgwin, E.; van Rooyen, A.; Umina, P.A. Baseline susceptibility of Australian Myzus persicae (Hemiptera: Aphididae) to novel insecticides flonicamid and afidopyropen. Crop Prot. 2022, 158, 105992. [Google Scholar] [CrossRef]
- Morita, M.; Ueda, T.; Yoneda, T.; Koyanagi, T.; Haga, T. Flonicamid, a novel insecticide with a rapid inhibitory effect on aphid feeding. Pest Manag. Sci. 2007, 63, 969–973. [Google Scholar] [CrossRef]
- Gong, Y.; Shi, X.; Desneux, N.; Gao, X. Effects of spirotetramat treatments on fecundity and carboxylesterase expression of Aphis gossypii Glover. Ecotoxicology 2016, 25, 655–663. [Google Scholar] [CrossRef]
- Yang, X.; Zhou, G.; Sun, L.; Zheng, C. Ovicidal activity of spirotetramat and its effect on hatching, development and formation of Frankliniella occidentalis egg. Sci. Rep. 2021, 11, 20751. [Google Scholar] [CrossRef]
- Bacci, L.; Lupi, D.; Savoldelli, S.; Rossaro, B. A review of Spinosyns, a derivative of biological acting substances as a class of insecticides with a broad range of action against many insect pests. J. Entomol. Acarol. Res. 2016, 48, 40. [Google Scholar] [CrossRef]
- Sparks, T.C.; Crouse, G.D.; Benko, Z.; Demeter, D.; Giampietro, N.C.; Lambert, W.; Brown, A.V. The spinosyns, spinosad, spinetoram, and synthetic spinosyn mimics—Discovery, exploration, and evolution of a natural product chemistry and the impact of computational tools. Pest Manag. Sci. 2021, 77, 3637–3649. [Google Scholar] [CrossRef]
- Yamada, T.; Takahashi, H.; Hatano, R. A novel insecticide, Acetamiprid. In Nicotinoid Insecticides and the Nicotinic Acetylcholine Receptor; Yamamoto, I., Casida, J.E., Eds.; Springer: Tokyo, Japan, 1999; pp. 149–176. ISBN 978-4-431-68011-6. [Google Scholar]
- Brück, E.; Elbert, A.; Fischer, R.; Krueger, S.; Kühnhold, J.; Klueken, A.M.; Nauen, R.; Niebes, J.-F.; Reckmann, U.; Schnorbach, H.-J.; et al. Movento®, an innovative ambimobile insecticide for sucking insect pest control in agriculture: Biological profile and field performance. Crop Prot. 2009, 28, 838–844. [Google Scholar] [CrossRef]
- Bartelsmeier, I.; Kilian, M.; ten Broeke, C.J.M.; Mertens, D.; Dicke, M. Local and systemic effect of azadirachtin on host choice and feeding activity of Macrosiphum rosae on rose plants. Arthropod-Plant Inte. 2022, 16, 191–204. [Google Scholar] [CrossRef]
- Pavela, R.; Barnet, M.; Kocourek, F. Effect of azadirachtin applied systemically through roots of plants on the mortality, development and fecundity of the cabbage aphid (Brevicoryne brassicae). Phytoparasitica 2004, 32, 286–294. [Google Scholar] [CrossRef]





| Active Ingredient | Trade Name | Manufacturer/Distributor | Composition (AI) | Used Field Dose (AI) |
|---|---|---|---|---|
| Acetamiprid | Epik® SL | Sipcam Italia S.p.A. | 50 g/L | 100 mg/L |
| Azadirachtin | NeemAzal®-T/S | Biogard, CBC (Europe) S.r.l. | 10 g/L | 30 mg/L |
| Deltamethrin | Decis® Evo | Bayer CropScience S.r.l. | 25 g/L | 12.5 mg/L |
| Etofenprox | Trebon® Up a | Sipcam Italia S.p.A. | 287.5 g/L | 143.75 mg/L |
| Flonicamid | Teppeki® b | Belchim Crop Protection Italia S.p.A. | 500 g/kg | 70 mg/L |
| Flupyradifurone | Sivanto® Prime b | Bayer CropScience S.r.l. | 200 g/L | 150 mg/L |
| Pirimicarb | Pirimor® 50 | ADAM Italia S.r.l. | 500 g/kg | 375 mg/L |
| Pyrethrins | Biopiren Plus® | Biogard, CBC (Europe) S.r.l. | 18.61 g/L | 29.776 mg/L |
| Spinosad | LaserTM a | Corteva Agriscience Italia S.r.l. | 480 g/L | 144 mg/L |
| Spirotetramat | Movento 48 SC | Bayer CropScience S.r.l. | 48 g/L | 120 mg/L |
| Sulfoxaflor | CloserTM | Corteva Agriscience Italia S.r.l. | 120 g/L | 36 mg/L |
| Tau-fluvalinate | Mavrik® Smart | ADAMA Italia S.r.l. | 240 g/L | 288 mg/L |
| Active Ingredient | LC50 α (mg/L) | CI 95% β (mg/L) | Slope (±SE) | df γ | χ2 |
|---|---|---|---|---|---|
| Acetamiprid | 0.15 | 0.10–0.21 ab | 1.82 (±0.60) | 19 | 47.73 |
| Deltamethrin | 3.97 | 1.13–6.82 cd | 0.75 (±0.14) | 19 | 58.80 |
| Etofenprox | 0.70 | 0.19–1.22 bc | 0.53 (±0.09) | 19 | 77.00 |
| Flupyradifurone | 0.08 | 0.05–0.10 a | 1.42 (±0.43) | 19 | 51.23 |
| Pirimicarb | 2.64 | 1.65–3.62 d | 2.07 (±0.35) | 19 | 70.33 |
| Sulfoxaflor | 1.89 | 0.83–2.95 cd | 0.78 (±0.16) | 19 | 79.33 |
| Tau-fluvalinate | 6.79 | 1.58–12.01 d | 0.56 (±0.10) | 19 | 74.66 |
Disclaimer/Publisher’s Note: The statements, opinions and data contained in all publications are solely those of the individual author(s) and contributor(s) and not of MDPI and/or the editor(s). MDPI and/or the editor(s) disclaim responsibility for any injury to people or property resulting from any ideas, methods, instructions or products referred to in the content. |
© 2023 by the authors. Licensee MDPI, Basel, Switzerland. This article is an open access article distributed under the terms and conditions of the Creative Commons Attribution (CC BY) license (https://creativecommons.org/licenses/by/4.0/).
Share and Cite
Tabet, D.H.; Visentin, E.; Bonadio, M.; Bjeljac, M.; Reyes-Domínguez, Y.; Gallmetzer, A.; Spitaler, U. Efficacy of Insecticides against the Invasive Apricot Aphid, Myzus mumecola. Insects 2023, 14, 746. https://doi.org/10.3390/insects14090746
Tabet DH, Visentin E, Bonadio M, Bjeljac M, Reyes-Domínguez Y, Gallmetzer A, Spitaler U. Efficacy of Insecticides against the Invasive Apricot Aphid, Myzus mumecola. Insects. 2023; 14(9):746. https://doi.org/10.3390/insects14090746
Chicago/Turabian StyleTabet, Dania H., Edoardo Visentin, Martina Bonadio, Marko Bjeljac, Yazmid Reyes-Domínguez, Andreas Gallmetzer, and Urban Spitaler. 2023. "Efficacy of Insecticides against the Invasive Apricot Aphid, Myzus mumecola" Insects 14, no. 9: 746. https://doi.org/10.3390/insects14090746
APA StyleTabet, D. H., Visentin, E., Bonadio, M., Bjeljac, M., Reyes-Domínguez, Y., Gallmetzer, A., & Spitaler, U. (2023). Efficacy of Insecticides against the Invasive Apricot Aphid, Myzus mumecola. Insects, 14(9), 746. https://doi.org/10.3390/insects14090746

