Interaction between the Bird Cherry-Oat Aphid (Rhopalosiphum padi) and Stagonospora Nodorum Blotch (Parastagonospora nodorum) on Wheat
Abstract
Simple Summary
Abstract
1. Introduction
2. Materials and Methods
2.1. Plant Material
2.2. Source of Aphids and P. nodorum
2.3. Experimental Set Up
2.3.1. Effect of Aphid Infestation on SNB Development
2.3.2. Aphid Preference and Reproduction on SNB Inoculated Versus Non-Inoculated Leaves
2.4. Statistical Analyses
3. Results
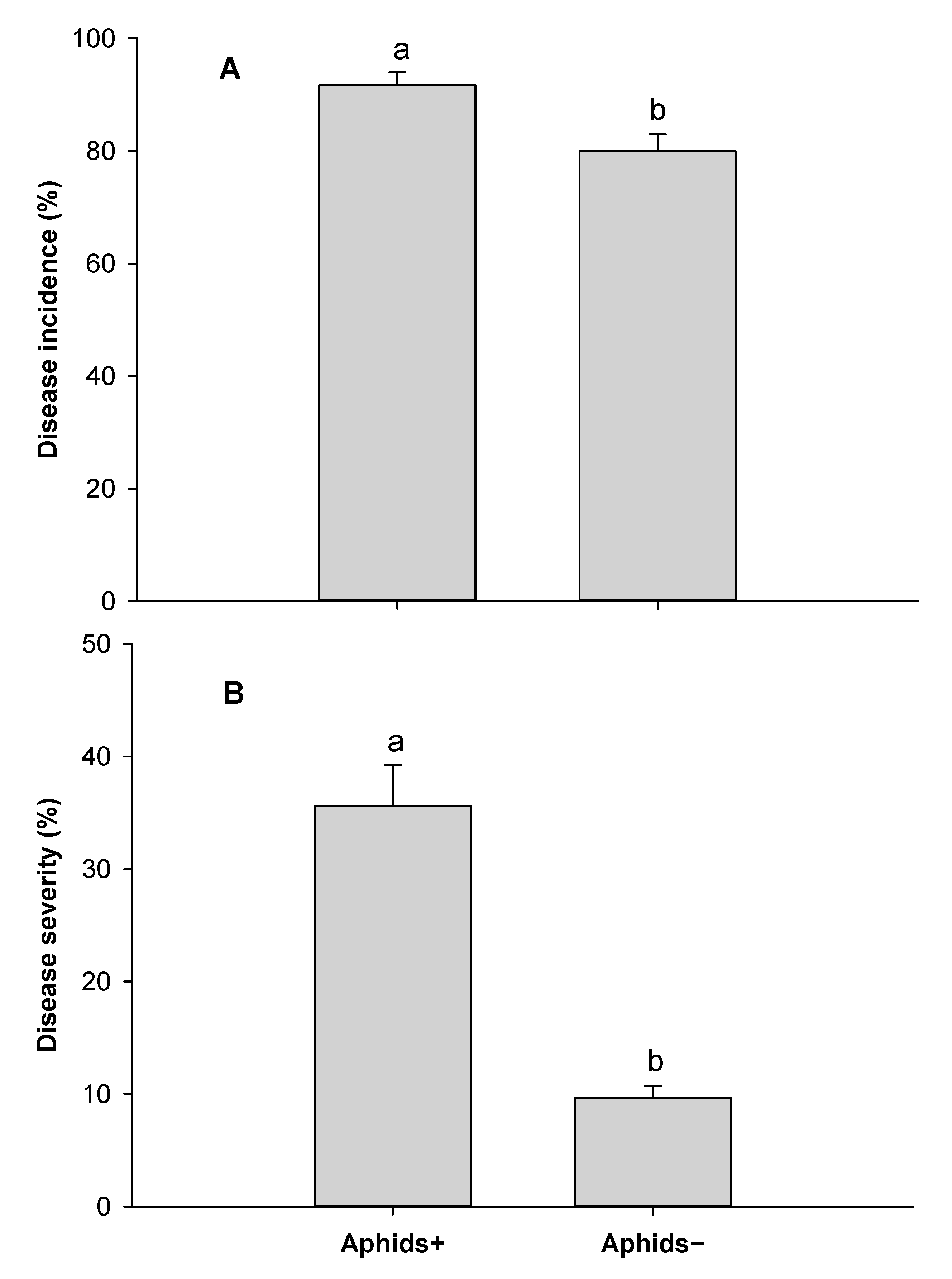
3.1. Effect of Aphid Infestation on SNB Development
3.2. Aphid Preference and Reproduction on P. nodorum Inoculated and Non-Inoculated Wheat Leaves
4. Discussion
5. Conclusions
Author Contributions
Funding
Institutional Review Board Statement
Informed Consent Statement
Data Availability Statement
Acknowledgments
Conflicts of Interest
References
- Food and Agriculture Organization. A Glossary of Phytosanitary Terms. In International Standard for Phytosanitary Measures# 5; Food and Agriculture Organization: Rome, Italy, 2002. [Google Scholar]
- Blackman, R.; Eastop, V. Taxonomic issues. In Aphids as Crop Pests; van Emden, H., Harrington, R., Eds.; CABI: Wallingford, UK, 2007; pp. 18–20. [Google Scholar]
- Rabbinge, R.; Sinke, C.; Mantel, W. Yield loss due to cereal aphids and powdery mildew in winter wheat. Meded. Univ. Gent Fac. Landbouwkd. Toegep. Biol. Wet. 1984, 48, 1159–1168. [Google Scholar]
- Peng, X.; Qiao, X.; Chen, M. Responses of holocyclic and anholocyclic Rhopalosiphum padi populations to low-temperature and short-photoperiod induction. Ecol. Evol. 2017, 7, 1030–1042. [Google Scholar] [CrossRef] [PubMed]
- Klingauf, F. Feeding, adaptation and excretion. In Their Biology, Natural Enemies and Control; Minks, A., Harrewijn, P., Eds.; Elsevier: Amsterdam, The Netherlands, 1987; pp. 225–254. [Google Scholar]
- Kieckhefer, R.; Gellner, J. Yield losses in winter wheat caused by low-density cereal aphid populations. Agron. J. 1992, 84, 180–183. [Google Scholar] [CrossRef]
- Bhathal, J.; Loughman, R.; Speijers, J. Yield reduction in wheat in relation to leaf disease from yellow (tan) spot and septoria nodorum blotch. Eur. J. Plant Pathol. 2003, 109, 435–443. [Google Scholar] [CrossRef]
- Stout, M.J.; Thaler, J.S.; Thomma, B.P. Plant-mediated interactions between pathogenic microorganisms and herbivorous arthropods. Annu. Rev. Entomol. 2006, 51, 663–689. [Google Scholar] [CrossRef]
- Hatcher, P.E. Three-way interactions between plant pathogenic fungi, herbivorous insects and their host plants. Biol. Rev. 1995, 70, 639–694. [Google Scholar] [CrossRef]
- Mouttet, R.; Bearez, P.; Thomas, C.; Desneux, N. Phytophagous arthropods and a pathogen sharing a host plant: Evidence for indirect plant-mediated interactions. PLoS ONE 2011, 6, e18840. [Google Scholar] [CrossRef]
- Schoeneweiss, D.F. Predisposition, stress, and plant disease. Annu. Rev. Phytopathol. 1975, 13, 193–211. [Google Scholar] [CrossRef]
- Biere, A.; Bennett, A.E. Three-way interactions between plants, microbes and insects. Funct. Ecol. 2013, 27, 567–573. [Google Scholar] [CrossRef]
- Al-Naemi, F.; Hatcher, P.E. Contrasting effects of necrotrophic and biotrophic plant pathogens on the aphid A phis fabae. Entomol. Exp. Appl. 2013, 148, 234–245. [Google Scholar] [CrossRef]
- Drakulic, J.; Bruce, T.; Ray, R.V. Direct and host-mediated interactions between Fusarium pathogens and herbivorous arthropods in cereals. Plant Pathol. 2017, 66, 3–13. [Google Scholar] [CrossRef]
- Virtanen, T.; Ranta, H.; Neuvonen, S. Shoot-feeding aphids promote development of Gremmeniella abietina, the fungal pathogen causing Scleroderris canker disease in conifers. J. Phytopathol. 1997, 145, 245–251. [Google Scholar] [CrossRef]
- Noman, A.; Aqeel, M.; Qasim, M.; Haider, I.; Lou, Y. Plant-insect-microbe interaction: A love triangle between enemies in ecosystem. Sci. Total Environ. 2020, 699, 134181. [Google Scholar] [CrossRef] [PubMed]
- Goggin, F.L. Plant–aphid interactions: Molecular and ecological perspectives. Curr. Opin. Plant Biol. 2007, 10, 399–408. [Google Scholar] [CrossRef] [PubMed]
- Hatcher, P.; Paul, N.; Ayres, P.; Whittaker, J. Interactions between Rumex spp., herbivores and a rust fungus: The effect of Uromyces rumicis infection on leaf nutritional quality. Funct. Ecol. 1995, 9, 97–105. [Google Scholar] [CrossRef]
- Lee, B.; Lee, S.; Ryu, C.-M. Foliar aphid feeding recruits rhizosphere bacteria and primes plant immunity against pathogenic and non-pathogenic bacteria in pepper. Ann. Bot. 2012, 110, 281–290. [Google Scholar] [CrossRef]
- Zebitz, C.; Kehlenbeck, H. Performance ofAphis Fabae on Chocolate Spot Disease-Infected Faba Bean Plants. Phytoparasitica 1991, 19, 113. [Google Scholar] [CrossRef]
- Bostock, R.M.; Pye, M.F.; Roubtsova, T.V. Predisposition in plant disease: Exploiting the nexus in abiotic and biotic stress perception and response. Annu. Rev. Phytopathol. 2014, 52, 517–549. [Google Scholar] [CrossRef]
- Friesen, T.L.; Meinhardt, S.W.; Faris, J.D. The Stagonospora nodorum-wheat pathosystem involves multiple proteinaceous host-selective toxins and corresponding host sensitivity genes that interact in an inverse gene-for-gene manner. Plant J. 2007, 51, 681–692. [Google Scholar] [CrossRef]
- Minitab. Minitab16 Statistical Software: Minitab for Windows; Minitab, Inc.: State Collage, PA, USA, 2010. [Google Scholar]
- Jaenike, J. Host specialization in phytophagous insects. Annu. Rev. Ecol. Syst. 1990, 21, 243–273. [Google Scholar] [CrossRef]
- Hatcher, P.; Paul, N.; Ayres, P.; Whittaker, J. Interactions between Rumex spp., herbivores and a rust fungus: Gastrophysa viridula grazing reduces subsequent infection by Uromyces rumicis. Funct. Ecol. 1994, 8, 265–272. [Google Scholar] [CrossRef]
- Kang, Z.-W.; Liu, F.-H.; Tan, X.-L.; Zhang, Z.-F.; Zhu, J.-Y.; Tian, H.-G.; Liu, T.-X. Infection of Powdery Mildew Reduces the Fitness of Grain Aphids (Sitobion avenae) Through Restricted Nutrition and Induced Defense Response in Wheat. Front. Plant Sci. 2018, 9. [Google Scholar] [CrossRef] [PubMed]
- Powell, G.; Tosh, C.R.; Hardie, J. Host plant selection by aphids: Behavioral, evolutionary, and applied perspectives. Annu. Rev. Entomol. 2006, 51, 309–330. [Google Scholar] [CrossRef] [PubMed]
- Powell, G.; Maniar, S.P.; Pickett, J.A.; Hardie, J. Aphid responses to non-host epicuticular lipids. In Proceedings of the 10th International Symposium on Insect-Plant Relationships, Oxford, UK, 4–10 July 1998; pp. 115–123. [Google Scholar]






| Treatment Number 1 | Treatment Combination | Abbreviation | Comments |
|---|---|---|---|
| 1 | R. padi infested, Insecticide sprayed, P. nodorum inoculated | Aphids+ SNB+ | To evaluate the effect of aphid infestation on SNB development. Insecticide used to remove aphids before P. nodorum inoculation. |
| 2 | Water sprayed, P. nodorum inoculated | Aphids− SNB+ | Positive control: To evaluate the effect of P. nodorum only |
| 3 | Insecticide sprayed, P. nodorum inoculated | Aphids− SNB+ | Positive control: To evaluate if the insecticide affect P. nodorum |
| 4 | Untreated control | Aphids− SNB− | Negative control: To control for contamination of clean plants with R. padi or P. nodorum |
| Experiment 1 | Experiment 2 | Experiment 3 | |
|---|---|---|---|
| Date of sowing | 06.09.2013 | 09.01.2014 | 08.09.2014 |
| Date of aphid release | 14.10.2013 | 20.02.2014 | 13.10.2014 |
| Insecticide removal of aphids | 21.10.2013 | 28.02.2014 | 23.10.2014 |
| P. nodorum inoculation | 22.10.2013 | 03.03.2014 | 24.10.2014 |
| Number of replications | 3 | 4 | 5 |
| Number of leaves assessed for SNB incidence | 409 | 585 | 702 |
| Disease assessment dates 1 | 05.11.2013 | 13 & 20.03.2014 | 04, 11, & 18.11.2014 |
Publisher’s Note: MDPI stays neutral with regard to jurisdictional claims in published maps and institutional affiliations. |
© 2021 by the authors. Licensee MDPI, Basel, Switzerland. This article is an open access article distributed under the terms and conditions of the Creative Commons Attribution (CC BY) license (http://creativecommons.org/licenses/by/4.0/).
Share and Cite
Asalf, B.; Ficke, A.; Klingen, I. Interaction between the Bird Cherry-Oat Aphid (Rhopalosiphum padi) and Stagonospora Nodorum Blotch (Parastagonospora nodorum) on Wheat. Insects 2021, 12, 35. https://doi.org/10.3390/insects12010035
Asalf B, Ficke A, Klingen I. Interaction between the Bird Cherry-Oat Aphid (Rhopalosiphum padi) and Stagonospora Nodorum Blotch (Parastagonospora nodorum) on Wheat. Insects. 2021; 12(1):35. https://doi.org/10.3390/insects12010035
Chicago/Turabian StyleAsalf, Belachew, Andrea Ficke, and Ingeborg Klingen. 2021. "Interaction between the Bird Cherry-Oat Aphid (Rhopalosiphum padi) and Stagonospora Nodorum Blotch (Parastagonospora nodorum) on Wheat" Insects 12, no. 1: 35. https://doi.org/10.3390/insects12010035
APA StyleAsalf, B., Ficke, A., & Klingen, I. (2021). Interaction between the Bird Cherry-Oat Aphid (Rhopalosiphum padi) and Stagonospora Nodorum Blotch (Parastagonospora nodorum) on Wheat. Insects, 12(1), 35. https://doi.org/10.3390/insects12010035

