Sign in to use this feature.

Years

Between: -

Subjects

remove_circle_outline
remove_circle_outline
remove_circle_outline
remove_circle_outline

Journals

Article Types

Countries / Regions

Search Results (3)

Search Parameters:
Keywords = stagonospora nodorum blotch

Order results
Result details
Results per page
Select all
Export citation of selected articles as:
17 pages, 3285 KB  
Article
Hyperspectral Non-Imaging Measurements and Perceptron Neural Network for Pre-Harvesting Assessment of Damage Degree Caused by Septoria/Stagonospora Blotch Diseases of Wheat
by Sofia V. Zhelezova, Elena V. Pakholkova, Vladislav E. Veller, Mikhail A. Voronov, Eugenia V. Stepanova, Alena D. Zhelezova, Anton V. Sonyushkin, Timur S. Zhuk and Alexey P. Glinushkin
Agronomy 2023, 13(4), 1045; https://doi.org/10.3390/agronomy13041045 - 1 Apr 2023
Cited by 8 | Viewed by 3234
Abstract
The detection and identification of plant diseases is a fundamental task for sustainable crop production. Septoria tritici and Stagonospora nodorum blotch (STB and SNB) are two of the most common diseases of cereal crops that cause significant economic damage. Both pathogens are difficult [...] Read more.
The detection and identification of plant diseases is a fundamental task for sustainable crop production. Septoria tritici and Stagonospora nodorum blotch (STB and SNB) are two of the most common diseases of cereal crops that cause significant economic damage. Both pathogens are difficult to identify at early stages of infection. Determining the degree of the disease at a late infection stage is useful for assessing cereal crops before harvesting, as it allows the assessment of potential yield losses. Hyperspectral sensing could allow for automatic recognition of Septoria harmfulness on wheat in field conditions. In this research, we aimed to collect information on the hyperspectral data on wheat plants with different lesion degrees of STB&SNB and to create and train a neural network for the detection of lesions on leaves and ears caused by STB&SNB infection at the late stage of disease development. Spring wheat was artificially infected twice with Septoria pathogens in the stem elongation stage and in the heading stage. Hyperspectral reflections and brightness measurements were collected in the field on wheat leaves and ears on the 37th day after STB and the 30th day after SNB pathogen inoculation using an Ocean Insight “Flame” VIS-NIR hyperspectrometer. Obtained non-imaging data were pre-treated, and the perceptron model neural network (PNN) was created and trained based on a pairwise comparison of datasets for healthy and diseased plants. Both statistical and neural network approaches showed the high quality of the differentiation between healthy and damaged wheat plants by the hyperspectral signature. A comparison of the results of visual recognition and automatic STB&SNB estimation showed that the neural network was equally effective in the quality of the disease definition. The PNN, based on a neuron model of hyperspectral signature with a spectral step of 6 nm and 2000–4000 value datasets, showed a high quality of detection of the STB&SNB severity. There were 0.99 accuracy, 0.94 precision, 0.89 recall and 0.91 F-score metrics of the PNN model after 10,000 learning epochs. The estimation accuracy of diseased/healthy leaves ranged from 88.1 to 97.7% for different datasets. The accuracy of detection of a light and medium degree of disease was lower (38–66%). This method of non-imaging hyperspectral signature classification could be useful for the identification of the STB and SNB lesion degree identification in field conditions for pre-harvesting crop estimation. Full article
Show Figures

Figure 1

13 pages, 1382 KB  
Article
Interaction between the Bird Cherry-Oat Aphid (Rhopalosiphum padi) and Stagonospora Nodorum Blotch (Parastagonospora nodorum) on Wheat
by Belachew Asalf, Andrea Ficke and Ingeborg Klingen
Insects 2021, 12(1), 35; https://doi.org/10.3390/insects12010035 - 6 Jan 2021
Cited by 2 | Viewed by 3277
Abstract
Wheat plants are under constant attack by multiple pests and diseases. Until now, there are no studies on the interaction between the aphid Rhopalosiphum padi and the plant pathogenic fungus Parastagonospora nodorum causal agent of septoria nodorum blotch (SNB) on wheat. Controlled experiments [...] Read more.
Wheat plants are under constant attack by multiple pests and diseases. Until now, there are no studies on the interaction between the aphid Rhopalosiphum padi and the plant pathogenic fungus Parastagonospora nodorum causal agent of septoria nodorum blotch (SNB) on wheat. Controlled experiments were conducted to determine: (i) The preference and reproduction of aphids on P. nodorum inoculated and non-inoculated wheat plants and (ii) the effect of prior aphid infestation of wheat plants on SNB development. The preference and reproduction of aphids was determined by releasing female aphids on P. nodorum inoculated (SNB+) and non-inoculated (SNB−) wheat leaves. The effect of prior aphid infestation of wheat plants on SNB development was determined by inoculating P. nodorum on aphid-infested (Aphid+) and aphid free (Aphid−) wheat plants. Higher numbers of aphids moved to and settled on the healthy (SNB−) leaves than inoculated (SNB+) leaves, and reproduction was significantly higher on SNB− leaves than on SNB+ leaves. Aphid infestation of wheat plants predisposed the plants to P. nodorum infection and colonization. These results are important to understand the interactions between multiple pests in wheat and hence how to develop new strategies in future integrated pest management (IPM). Full article
(This article belongs to the Special Issue Plant-Arthropod-Microorganism Interactions)
Show Figures

Figure 1

15 pages, 2146 KB  
Article
Tramesan Elicits Durum Wheat Defense against the Septoria Disease Complex
by Valeria Scala, Chiara Pietricola, Valentina Farina, Marzia Beccaccioli, Slaven Zjalic, Fabrizio Quaranta, Mauro Fornara, Marco Zaccaria, Babak Momeni, Massimo Reverberi and Angela Iori
Biomolecules 2020, 10(4), 608; https://doi.org/10.3390/biom10040608 - 14 Apr 2020
Cited by 17 | Viewed by 4228
Abstract
The Septoria Leaf Blotch Complex (SLBC), caused by the two ascomycetes Zymoseptoria tritici and Parastagonospora nodorum, can reduce wheat global yearly yield by up to 50%. In the last decade, SLBC incidence has increased in Italy; notably, durum wheat has proven to [...] Read more.
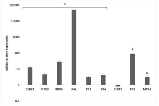
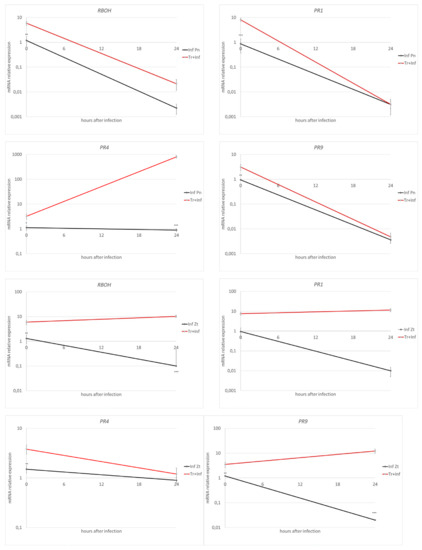
The Septoria Leaf Blotch Complex (SLBC), caused by the two ascomycetes Zymoseptoria tritici and Parastagonospora nodorum, can reduce wheat global yearly yield by up to 50%. In the last decade, SLBC incidence has increased in Italy; notably, durum wheat has proven to be more susceptible than common wheat. Field fungicide treatment can efficiently control these pathogens, but it leads to the emergence of resistant strains and adversely affects human and animal health and the environment. Our previous studies indicated that active compounds produced by Trametes versicolor can restrict the growth of mycotoxigenic fungi and the biosynthesis of their secondary metabolites (e.g., mycotoxins). Specifically, we identified Tramesan: a 23 kDa α-heteropolysaccharide secreted by T. versicolor that acts as a pro-antioxidant molecule in animal cells, fungi, and plants. Foliar-spray of Tramesan (3.3 μM) on SLBC-susceptible durum wheat cultivars, before inoculation of causal agents of Stagonospora Nodorum Blotch (SNB) and Septoria Tritici Blotch (STB), significantly decreased disease incidence both in controlled conditions (SNB: −99%, STB: −75%) and field assays (SNB: −25%, STB: −30%). We conducted these tests were conducted under controlled conditions as well as in field. We showed that Tramesan increased the levels of jasmonic acid (JA), a plant defense-related hormone. Tramesan also increased the early expression (24 hours after inoculation—hai) of plant defense genes such as PR4 for SNB infected plants, and RBOH, PR1, and PR9 for STB infected plants. These results suggest that Tramesan protects wheat by eliciting plant defenses, since it has no direct fungicidal activity. In field experiments, the yield of durum wheat plants treated with Tramesan was similar to that of healthy untreated plots. These results encourage the use of Tramesan to protect durum wheat against SLBC. Full article
(This article belongs to the Section Natural and Bio-derived Molecules)
Show Figures

Figure 1

Back to TopTop