Abstract
In the present work, a numerical model is developed to investigate the influence of wear and misalignment on the bearings of a stationary diesel engine. The model implemented considers the effects of surface wear on the bearing, cavitation effects, and surface roughness. For the numerical analysis, changes in the surface roughness of , , and are defined, and changes in the bearing load of 50%, 75%, and 100%. The results demonstrated that increasing the surface roughness intensifies the bearing wear, which represents 18% and 140% of the bearing clearance for the roughness of and , respectively. Additionally, the surface roughness causes a considerable increase in the bearing wear rate. The results described a maximum wear rate of . In general, increasing the bearing load by 25% doubles the hydrodynamic pressure conditions increases friction force by 33%, and reduces lubrication film thickness by 12%. The analysis of the angle of deflection, and , shows that the moment and the degree of misalignment tend to increase significantly with the increase in the magnitude of the angle . Negative angles of deflection, , produce a greater increase in the degree of misalignment and the moment. This implies a greater chance of contact with the bearing surface. In conclusion, the proposed methodology serves as a reliable tool to simultaneously evaluate key parameters on the tribological behavior of bearings that further extend their endurance and minimize wear damage.
1. Introduction
The necessity to propose concrete innovations in engine operation has become essential in the short-midterm status of these thermal machines. Nowadays, internal combustion engines (ICE) play a predominant role in numerous applications, but the inherent energy losses and global emissions have paved the way for the consolidation of different strategies to establish a more reliable and eco-friendly operation [1,2,3]. Particularly, energy losses overcome a great share of the global energy losses that both increase fuel consumption and limit overall efficiency. Therefore, different proposals have been successfully established, such as control strategies, compression ring sealing capacity, hydroxy doping, biofuels, and cylinder bore coatings materials, among others [4,5]. Particularly in mechanical power losses, bearings experience a distinguishing contribution in ICEs, since they enable the transmission of forces and relative movement. They are designed to operate under hydrodynamic regime conditions, thus enabling the separation between the contact surfaces is guaranteed. However, this condition cannot always be maintained throughout the life of the bearing. Therefore, limited and mixed lubrication regimes may occur. These regimes imply the coexistence of hydrodynamic contact pressure and roughness, causing greater friction losses, increasing the probability of failure and wear. The consideration of a perfectly aligned bearing is an approximation that is difficult to achieve in real conditions. This can be due to multiple factors ranging from imperfections in the manufacturing process to installation errors. If the axes and bushing axes are not kept parallel, the protective lubrication film in one area will weaken, producing a risk of surface-to-surface contact [6,7]. Thus, the wear prediction based on numerical methodologies has gradually gained attention as a robust tool to improve the bearing design and further extend the service time [4].
Bearings typically experience misalignment, causing uneven wear processes and catastrophic failures. In the particular case of motor bearings, they are susceptible to misalignment, which induces a reduction in performance and component life [8,9]. Additionally, misalignment causes a reduction in the lubrication film, resulting in an increase in eccentricity. This increases the possibility of direct metal-to-metal contact [10]. Wear caused by misalignment is reflected in bearing dynamic performance, noise levels, increased coefficient of friction, vibration levels, and reduction in load capacity [11,12]. The analysis of this type of component is complex due to the condition of non-stationary movement that changes significantly in the face of variations in magnitude and direction. Due to the negative effects mentioned above, it is necessary to carry out research for the evaluation of bearing wear [5,13,14,15].
Several investigations have focused on wear contact surfaces based on quantitative and qualitative approaches. Nabhan et al. [16] evaluated the wear rate in Babbitt-type sliding bearings by experimental methods. In the study, the parameters of load, speed, friction coefficient, and temperature were considered. The results indicated that bearing speed and load are the main factors contributing to wear. Aghdam and Khonsari [17] used an energy-based approach to analyze and predict wear in grease-lubricated spherical bearings. Chun and Khonsari [18] established a theoretical method to predict wear in bearings exposed to a mixed elastohydrodynamic lubrication regime. The method used is based on a roughness contact model to take into account the effects of elastohydrodynamic lubrication (EHL). Sander et al. [19] used the Archard wear equation and the Greenwood and Tripp contact model to investigate wear in trunnion bearing bearings. Springis et al. [16] proposed a numerical model based on fatigue theory to calculate wear. The model considers the microtopography and the surface roughness parameters. Jia et al. [20] established a fatigue wear model based on micropitting to simulate wear in the bearing surface contact under EHL conditions.
Additionally, in recent years, the effect of misalignment on lubrication characteristics has been studied. Gu et al. [21] investigated the hydrodynamic properties in the presence of misalignment and different types of textures. The results show that the increase in the deflection angles causes a reduction in the tribological performance of the bearing. Li et al. [22] evaluated the effect of misalignment on the dynamic conditions of gas bearings. The conclusions show that the presence of misalignment has a significant influence on the dynamic coefficients. In another investigation, Li et al. [23] studied the thermo-hydrodynamic lubrication in support bearings with the presence of misalignment considering axial movement. The results indicate that misalignment affects the lubrication characteristics more clearly when there is a low-speed condition, higher eccentricities, and angle of inclination. Zhu et al. [24] considered the lubrication conditions of rough surface bearings with misalignment. Research shows that roughness increases the effect of misalignment. Feng et al. [25] evaluated the static and dynamic characteristics of water-lubricated bearings, taking into account turbulent and misalignment effects. The results show that turbulence improves load capacity. Zheng et al. [26] investigated the influence of viscosity and oil film thickness on the performance of misaligned slide bearings. Xie et al. [27] studied the performance of water lubrication and dynamic characteristics in bearings with misalignment using CFD. In addition, the different lubrication regimes were evaluated, such as limit, mixed, and hydrodynamic lubrication [28,29,30,31,32].
In this article, a numerical model is built for the study of the bearings of a stationary diesel engine. For the development of the model, the phenomenon of cavitation and the effects of surface roughness are considered together, which are not generally analyzed in a compound methodology in former research. Thus, this work establishes a further effort to shorten the knowledge gap involved in the characterization of the tribological performance of engine bearings. In this sense, the proposed methodology simultaneously evaluates the influence of surface roughness, load conditions, angle of deflection, wear, and performance parameters of the bearing performance. The objective of the research is to make a contribution through the development of a numerical model that allows for estimating the wear in the bearings of a modern diesel engine, taking into consideration factors such as surface asperity, cavitation effects, and misalignment conditions, which are generally analyzed individually in the literature. In what follows: Section 2 depicts the main features of the numerical model and constitutive formulation. Next, Section 3 outlines the numerical procedure followed in the investigation and displays the validation results. Section 4 introduces the core findings of this work and actively discusses the findings. Finally, Section 5 sets the concluding remarks, limitations, and future endeavors in this field.
2. Materials and Methods
This section aims to describe the equations required for the construction of the numerical model used in the present study. The lubrication film thickness, Reynolds equation, dynamic forces on the bearing, and bearing wear model will be studied in order to analyze the bearings of a diesel engine subjected to conditions of wear and misalignment.
2.1. Lubrication Film Thickness
First, Figure 1 describes the main characteristics and geometric position of a bearing with the presence of misalignment in the engine.
Figure 1.
Configuration of a bearing with misalignment.
The thickness of the lubrication film on the bearing with the presence of wear and misalignment is described by Equation (1) [33].
where is the angular position of the bearing, is the misalignment angle, the attitude angle between the line of centers and the Y-axis, is the eccentricity in the mid-plane of the bearing, is the length of the projection of the misaligned journal on the mid-plane (if the bearing is not misaligned,), is the length of the bearing, is the bearing radial clearance, and is the depth of wear.
The thickness of the dimensionless lubrication film is calculated using Equation (2).
where , , , and are dimensionless parameters defined by Equations (3)–(6).
The parameter is the misalignment eccentricity ratio defined as , where is the degree of the misalignment. The term is calculated from Equation (7) [34].
To determine the deflection of the journal in the horizontal and vertical direction, the angles and are used. The relationship between the deflection angles and the misalignment angle is shown in Equations (8) and (9).
2.2. Reynolds Equation
The Reynolds equation that is normally used to define the lubrication film pressure distribution is shown in Equation (10).
where are viscosity functions, which are determined from the following equations:
where is the viscosity of the lubricant. To consider the effects of cavitation, the modified Reynolds equation proposed by Elrod and Adams [35] is used as expressed in Equation (14).
where is the bulk modulus of the lubricant and is the shaft speed. The new parameter in the Reynolds equation is known as the fractional film content, and it is defined as shown in Equation (15).
where is the density of the lubricant under cavitation pressure conditions. is a binary parameter defined as:
The dimensionless form of the Elrod and Adams [35] equation is shown below:
where and are the dimensionless speed and the aspect ratio defined by Equations (19) and (20).
where is the journal radius. The dimensionless viscosity functions are defined as:
For the numerical model, the discretized form of the Reynolds equation is used, which is composed of the Equations and .
where and are the previous and current steps of time. The parameter is calculated from the average of two adjacent nodes.
2.3. Dynamic Forces on the Bearing
The journal bearing dynamic force equations are shown in Equations (28) and (29).
where and are the forces applied in the x–y direction, is the mass of the journal, and and are the reaction forces of the lubricating oil. The equations of motion are described by Equations (30) and (31).
The lubricating oil forces and the components of the moments are determined by the following equations:
where is the dimensionless hydrodynamic pressure, calculated by Equation (36). The total moment is determined by the Equation (37).
By unifying Equations (28)–(31), the dynamic force equations can be expressed as:
where are the dimensionless forces and is the dimensionless mass, which is calculated from Equations (40) and (41).
Equations (38) and (39) is solved iteratively by calculating the Jacobian matrix shown below:
2.4. Bearing Wear Model
To determine the wear parameter (see Equation (1)), the model proposed by Archard [36] is implemented, which describes the wear due to roughness contact as shown in Equation (43).
where is the wear coefficient , is the wear volume, is the sliding distance, is the hardness, and is the applied load. The wear rate is defined as:
where and are the shaft speed in revolutions per minute and contact area, respectively.
2.5. Contact Model
To consider the effect of a rough surface, the Kogut and Etsion [37] contact model is used, which mainly considers the plasticity index , as shown in Equation (45).
where is the Hertz elastic modulus, is the asperity radius, and is the mean of asperity heights. The parameter is the hardness coefficient, calculated by Equation (46).
where is the Poisson’s ratio of the material. The parameter is calculated by the Equation (47).
where is the number of asperities per unit area.
2.6. Lubricant Properties
The viscosity and density of the lubricant change with temperature and pressure conditions. To consider the influence of these parameters, the modified Higginson and Dowson relationship is used [38,39], as shown in Equations (48) and (49).
where is the coefficient of thermal expansion and and are constants of the model, defined as and . The and terms are calculated using Equations (50) and (51).
where is the thermo-viscosity coefficient and atmospheric piezo-viscosity, respectively.
3. Numerical Procedure
Figure 2 shows the schematics of the numerical modeling procedure of the model introduced in Section 2. The first step consists of specifying the position parameters , the misalignment parameters , and the applied load . Subsequently, the lubrication film thickness is calculated (see Equation (2)). The solution of the variables is carried out using a Jacobin matrix, the iteration of the Reynolds equation, and the dynamic loads until a dynamic equilibrium is reached. From this information, surface contact conditions (Section 2.5) and surface wear (Section 2.6) are calculated.
Figure 2.
Numerical model diagram.
Table 1 describes the main parameters and input conditions for the numerical model. The technical characteristics of the engine used as a reference are shown in Table 2.
Table 1.
Main input parameters of the numerical model.
Table 2.
Technical characteristics of the engine.
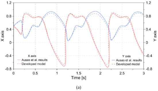
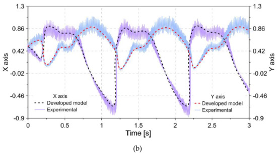
To validate the reliability of the numerical model, the numerical results are compared with the findings of Ausas et al. [40]. Additionally, a comparison with experimental measurements is made. These measurements consist of capturing the horizontal (X axis) and vertical (Y axis) movement of the bearing. This is done through the use of a triangulation system, using two lasers (model ILD2300LL, Micro-Epsilon, Ortenburg, Germany) located in the horizontal and vertical direction of the bearing. A low pass filter is applied, and an average value of 200 samples is considered. Data acquisition is controlled by software LabView NXG v.4.0. Figure 3 shows the comparison of the estimates of the developed numerical model and the two validation alternatives.

Figure 3.
Validation of the numerical model developed using (a) the results of Ausas et al. and (b) experimental data.
According to the results of Figure 3a, the behavior estimated by the proposed numerical model agrees with the results described by Ausas et al. [40]. In general, the maximum difference between both movements is 11% and 7% for the x- and y-axis, respectively. The relative difference in the validation can be associated with a different time step employed within the simulations. When comparing with the experimental data, a maximum relative error of 20% was observed.
Generally, the average Reynolds equation is used for the hydrodynamic analysis of bearings because it considers the effect of roughness on the behavior of the lubrication film [41]. However, the results shown in Figure 3 indicate that the numerical model used makes it possible to adequately estimate the behavior of the engine bearing. This can be attributed to the fact that the model used considers the effects of cavitation, which also impacts the tribological behavior of the lubricant, allowing an acceptable agreement between the numerical model and the experimental results.
4. Results
4.1. Bearing Journal Movement
Figure 4 describes the movement of the geometric center of the journal for surface roughness of , , and . The results obtained in Figure 4a show that with a surface roughness of 0.75 there is no contact between the metal surfaces, which implies that the bearing is protected against wear. Under this condition, the bearing load is supported by the hydrodynamic pressure of the lubricating oil. The minimum dimensionless thickness of the oil film is 0.104, which was obtained at an approximate angle of 295°. With a 33% increase in surface roughness (), an increase in wear was observed during a rotation angle between 210–240°. The maximum dimensionless wear depth is 1.178 and occurs at an angle of 225°. This implies that the surface wear is approximately 18% of the bearing clearance. In the case of surface roughness of (), the results show that the maximum depth of wear represents 140% of the bearing clearance.
Figure 4.
Geometric position of the center of the journal for surface roughness of (a) 0.75 , (b) 1 and (c) 1.25 .
4.2. Eccentricity Variation
Figure 5 describes the change in the eccentricity ratio according to the load cycle based on different surface roughness conditions. For a roughness condition of it was observed that the eccentricity ratio did not change considerably with time. The maximum eccentricity recorded in this condition was 0.896. However, for roughness greater than the results show that the eccentricity ratio is greater than unity . This is a consequence of the surface wear produced in the bearing. Additionally, it was observed that the wear process tends to accelerate significantly as roughness increases. In the case of the roughness of , a maximum eccentricity ratio of 0.97, 1.04, and 1.11 was obtained after a time of 12,500, 25,000, and 50,000 s, respectively. For a roughness of the results indicate a maximum eccentricity of 1.24, 1.62, and 2.02, which are obtained in a shorter time (2500, 5000, and 10,000 s, respectively).
Figure 5.
Changes in the eccentricity ratio for surface roughness of (a) 0.75 , (b) 1 and (c) 1.25 .
4.3. Wear Rate and Depth
Figure 6 shows the evolution of the wear rate under the different surface roughness conditions. In general, the results show the presence of three or four peaks of wear rate during a rotation angle between 90–720°. In Figure 6a, it was observed that the highest wear rates are located between an angle of 180–360°, which is a consequence of the lower thickness of the lubrication film in this area, as shown in Figure 4a. The three main wear rate peaks in this condition were 0.033, 0.025, and 0.18 , respectively. For a surface roughness greater than , it was observed that the wear rate increased considerably. In the conditions of surface roughness and , the results indicate the presence of four peaks of wear rate. The highest rates are 0.874 and 20.016 for surface roughness of and , respectively.
Figure 6.
Wear rate for surface roughness of (a) 0.75 , (b) 1 and (c) 1.25 .
Figure 7 shows the depth of dimensionless wear for different instances of time and surface roughness. The results show that for the roughness of , the maximum dimensionless depth of wear is 0.004, 0.006, and 0.007, after a time of 20,000, 40,000, and 80,000 s, respectively. This implies that the depth of wear reaches a maximum of 0.7% of the bearing clearance.
Figure 7.
Dimensionless wear depth for a surface roughness of (a) 0.75 , (b) 1 and (c) 1.25.
4.4. Movement of Bearing Ends
To evaluate misalignment in engine bearings, two deflection angles must be established, which are two independent parameters that completely define the severity of the misalignment [42]. In this investigation, three different sets of deflection angles are defined, . The surface roughness for all cases is . Figure 8 describes the movement of the bearing ends for the different misalignment angles.
Figure 8.
Bearing end movement for (a) , (b) , and (c) .
4.5. Bearing Parameters as a Function of Load
Figure 9 shows the changes in the maximum pressure, friction force, and thickness of the lubrication film that the bearing experiences for a load condition of 50%, 75%, and 100%. The results in Figure 9a show that the maximum hydrodynamic pressure increases with increasing load. However, pressure peaks form at the same time regardless of the applied load percentage. In general, maximum dimensionless pressure of 22.72, 56.93, and 134.24 was observed for a load of 50%, 75%, and 100%, respectively. Similarly, the friction force tends to increase with the highest percentage of the load. In general, a 25% increase in load causes the maximum friction force to increase by 28%. Figure 9c describes the minimum lubrication film thickness for the different loads. The results show that the dimensionless minimum thickness is 0.54, 0.58, and 0.62 for the load conditions of 100%, 75%, and 50%, respectively.

Figure 9.
Variation of the bearing parameters, (a) maximum pressure, (b) friction force, and (c) lubrication film thickness.
4.6. Deflection Angle Effect
In Figure 10 and Figure 11, the effect of the angle of deflection and on the moment and the angle of misalignment is described.

Figure 10.
Effect of the angle of deflection on the (a) moment and (b) angle of misalignment.

Figure 11.
Effect of the angle of deflection on the (a) moment and (b) angle of misalignment.
The results of Figure 10a show that the positive deflection angle causes a 128% increase in the maximum moment, compared to the negative deflection angle . In Figure 10b, it was observed that for an alignment condition (), the degree of misalignment remains less than 0.24. However, when setting the deflection angles and , the degree of misalignment reaches a maximum of 0.72 and 0.85, respectively.
In the case of deflection angle (see Figure 11), it was observed that the maximum moment occurs in two peaks. In general, it was observed that the increase in the angle of deflection from to produces a drastic increase in the maximum moment. The maximum degree of misalignment is 0.95 and 0.24 for a deflection angle of and , respectively.
5. Discussion
The results in Figure 4 demonstrate that relatively small changes in roughness cause a drastic change in surface wear. In a general sense, it can be stated that higher surface roughness in the bearing fosters surface-to-surface contact, which predominantly leads to catastrophic failures. This pattern is in line with similar investigations [19,32]. Therefore, the importance of surface finishing in bearing design is of relevance to the endurance performance. Moreover, it is worth mentioning that the effect of temperature on the bearing performance is neglected. However, these thermal effects are expected to magnify the load that the bearing experiences, thus increasing the wear damage.
The overall trend of the maximum wear rate agrees with the contact load derived from the eccentricity ratio as they feature a direct relation. In practical applications, the roughness of the bearing surface drops during operation as a result of rubbing the superficial asperities; thus, the wear rate is significantly minimized.
The increase in roughness causes the depth of wear to increase and the time required to reach the maximum depths to decrease abruptly, as shown in Figure 7b,c. For a surface roughness of and , a maximum depth of wear equivalent to 21% and 106% of the bearing clearance was obtained, which was reached in a time of 50,000 and 10,000 s, respectively. In all cases, the depth of wear is between a rolling angle of 180 and 270°. Additionally, it was observed that the worn surface tends to a parabolic-like shape.
The results in Figure 8a show that the journal touches the bearing surface at an angle of approximately 293 ° and 188 ° for the front and rear end, respectively. In Figure 8b, it was observed that the increase in the deflection angle () causes slight wear at both ends. The results show maximum wear of 1.01% and 4.84% for the rear and front end, respectively. By defining a negative deflection angle on both axes , it was observed that the rear end of the journal was free of the presence of wear. However, at the front end, there was maximum wear that represented 14% of the bearing clearance.
6. Conclusions
In the present investigation, the influence of wear and misalignment on the bearing performance of a stationary diesel engine subjected to different load conditions (50%, 75%, and 100%) was evaluated. The study consists of the development of a numerical model, which considers the phenomenon of cavitation and the effects of surface roughness through the joint application of the conservation model, and contact pressure model.
In general, the results showed that increasing the surface roughness produces an abrupt rise in bearing wear. For a roughness condition of and , the range of radial movement of the journal was greater due to the presence of surface wear, which represented 18% and 140% of the bearing clearance.
The increase in the radial movement of the journal caused an increase in the eccentricity ratio. Additionally, surface roughness led to a drastic increase in the bearing wear rate. The analysis of the different load conditions showed that an increase in this parameter caused an increase in pressure and friction force in the bearing. The latter promoted a reduction in the lubricating oil film. Overall, it was observed that increasing the load by 25% doubled the hydrodynamic pressure. Furthermore, the friction force was increased by 33%, and the lubrication film thickness was reduced by 12%. Moreover, the analysis of the angle of deflections and proved that the moment and the degree of misalignment tended to increase significantly with increasing magnitude of the angle . In the case of angle , the results showed that a negative deflection angle in the x-axis () magnified the degree of misalignment and the moment. This implies a greater chance of contact with the bearing surface.
In conclusion, the proposed methodology demonstrated to be a feasible and accurate tool to predict and characterize the main parameters that influence the tribological performance of engine bearings. The model featured a concrete limitation on the neglection of the thermal effects that influence the viscosity and other factors such as volumetric expansion that might intensify the wear damage. Therefore, in future studies, there is a pressing need to incorporate the influence of thermal effects in transient conditions to further enhance the numerical model.
Author Contributions
Conceptualization, J.P.R.; methodology, J.P.R., C.P.G., and S.O.A.; software, J.P.R. and C.P.G.; validation, J.P.R., and C.P.G.; formal analysis, J.P.R., C.P.G., and S.O.A.; investigation, J.P.R., C.P.G., and S.O.A.; resources, J.P.R., and S.O.A.; writing—original draft preparation, C.P.G.; writing—review and editing, S.O.A.; funding acquisition, J.P.R., and S.O.A. All authors have read and agreed to the published version of the manuscript.
Funding
This research received no external funding.
Acknowledgments
The authors would like to acknowledge the Universidad Francisco de Paula Santander for their support in the development of this investigation.
Conflicts of Interest
The authors declare no conflict of interest.
Abbreviations
The following abbreviations are used in this manuscript:
| Nomenclature | |
| Eccentricity in the mid-plane of the bearing | |
| Length of the projection of the misaligned journal on the mid-plane | |
| Length of the bearing | |
| Bearing radial clearance | |
| Depth of wear | |
| Degree of the misalignment | |
| Viscosity functions | |
| Viscosity lubricant | |
| Shaft speed | |
| Binary parameter | |
| Dimensionless speed | |
| Aspect ratio | |
| Journal radius | |
| Mass of the journal | |
| Force | |
| Moment | |
| Dimensionless hydrodynamic pressure | |
| Hertz elastic modulus | |
| Wear coefficient | |
| Sliding distance | |
| Hardness | |
| Load | |
| Hardness coefficient | |
| Number of asperities per unit area | |
| Greek Letters | |
| Bearing angle | |
| Misalignment angle | |
| Attitude angle between the line of centers and the Y-axis | |
| Depth of wear | |
| Misalignment eccentricity ratio | |
| Bulk modulus of the lubricant | |
| Fractional film content | |
| Wear volume | |
| Density | |
| Plasticity index | |
| Asperity radius | |
| Mean of asperity heights | |
| Poisson’s ratio | |
| Coefficient of thermal expansion | |
| Constant model | |
| Thermo-viscosity coefficient | |
| Atmospheric piezo-viscosity | |
References
- Valencia, G.; Duarte, J.; Isaza-Roldan, C. Thermoeconomic Analysis of Different Exhaust Waste-Heat Recovery Systems for Natural Gas Engine Based on ORC. Appl. Sci. 2019, 9, 4017. [Google Scholar] [CrossRef]
- Forero, J.D.; Ochoa, G.V.; Alvarado, W.P. Study of the Piston Secondary Movement on the Tribological Performance of a Single Cylinder Low-Displacement Diesel Engine. Lubricants 2020, 8, 97. [Google Scholar] [CrossRef]
- Forero, J.D.; Ochoa, G.V.; Rojas, J.P. Effect of the Geometric Profile of Top Ring on the Tribological Characteristics of a Low-Displacement Diesel Engine. Lubricants 2020, 8, 83. [Google Scholar] [CrossRef]
- Bergmann, P.; Grün, F.; Summer, F.; Gódor, I. Evaluation of Wear Phenomena of Journal Bearings by Close to Component Testing and Application of a Numerical Wear Assessment. Lubricants 2018, 6, 65. [Google Scholar] [CrossRef]
- Jang, J.Y.; Khonsari, M.M. On the Characteristics of Misaligned Journal Bearings. Lubricants 2015, 3, 27–53. [Google Scholar] [CrossRef]
- Jang, J.; Khonsari, M. Performance and characterization of dynamically-loaded engine bearings with provision for misalignment. Tribol. Int. 2019, 130, 387–399. [Google Scholar] [CrossRef]
- Obregon, L.; Valencia, G.; Forero, J.D. Efficiency Optimization Study of a Centrifugal Pump for Industrial Dredging Applications Using CFD. Int. Rev. Model. Simul. 2019, 12, 245. [Google Scholar] [CrossRef]
- Orozco, T.; Herrera, M.; Forero, J.D. CFD Study of Heat Exchangers Applied in Brayton Cycles: A Case Study in Supercritical Condition Using Carbon Dioxide as Working Fluid. Int. Rev. Model. Simul. 2019, 12, 72–82. [Google Scholar] [CrossRef]
- Orozco, W.; Acuña, N.; Forero, J.D. Characterization of Emissions in Low Displacement Diesel Engines Using Biodiesel and Energy Recovery System. Int. Rev. Mech. Eng. 2017, 13, 420. [Google Scholar] [CrossRef]
- Chasalevris, A.; Dohnal, F.; Chatzisavvas, I. Experimental detection of additional harmonics due to wear in journal bearings using excitation from a magnetic bearing. Tribol. Int. 2014, 71, 158–167. [Google Scholar] [CrossRef]
- Beheshti, A.; Khonsari, M. An engineering approach for the prediction of wear in mixed lubricated contacts. Wear 2013, 308, 121–131. [Google Scholar] [CrossRef]
- De La Hoz, J.S.; Valencia, G.; Forero, J.D. Reynolds Averaged Navier–Stokes Simulations of the Airflow in a Centrifugal Fan Using OpenFOAM. Int. Rev. Model. Simul. 2019, 12, 230. [Google Scholar] [CrossRef]
- Ochoa, G.V.; Isaza-Roldan, C.; Forero, J.D. Economic and Exergo-Advance Analysis of a Waste Heat Recovery System Based on Regenerative Organic Rankine Cycle under Organic Fluids with Low Global Warming Potential. Energies 2020, 13, 1317. [Google Scholar] [CrossRef]
- Consuegra, F.; Bula, A.; Guillín, W.; Sánchez, J.; Forero, J.D. Instantaneous in-Cylinder Volume Considering Deformation and Clearance due to Lubricating Film in Reciprocating Internal Combustion Engines. Energies 2019, 12, 1437. [Google Scholar] [CrossRef]
- Diaz, G.A.; Forero, J.D.; Garcia, J.; Rincon, A.; Fontalvo, A.; Bula, A.J.; Padilla, R.V. Maximum Power From Fluid Flow by Applying the First and Second Laws of Thermodynamics. J. Energy Resour. Technol. 2017, 139, 032903. [Google Scholar] [CrossRef]
- Nabhan, A.; Rashed, A.; Ghazaly, N.M.; Abdo, J.; Haneef, M.D. Tribological Properties of Al2O3 Nanoparticles as Lithium Grease Additives. Lubricants 2021, 9, 9. [Google Scholar] [CrossRef]
- Aghdam, A.; Khonsari, M. Prediction of wear in grease-lubricated oscillatory journal bearings via energy-based approach. Wear 2014, 318, 188–201. [Google Scholar] [CrossRef]
- Chun, S.M.; Khonsari, M.M. Wear simulation for the journal bearings operating under aligned shaft and steady load during start-up and coast-down conditions. Tribol. Int. 2016, 97, 440–466. [Google Scholar] [CrossRef]
- Sander, D.E.; Allmaier, H.; Priebsch, H.; Reich, F.; Witt, M.; Skiadas, A.; Knaus, O. Edge loading and running-in wear in dynamically loaded journal bearings. Tribol. Int. 2015, 92, 395–403. [Google Scholar] [CrossRef]
- Jia, H.; Li, J.; Wang, J.; Xiang, G.; Xiao, K.; Han, Y. Micropitting Fatigue Wear Simulation in Conformal-Contact Under Mixed Elastohydrodynamic Lubrication. J. Tribol. 2019, 141, 061501-27. [Google Scholar] [CrossRef]
- Gu, C.; Meng, X.; Wang, S.; Ding, X. Modeling a Hydrodynamic Bearing With Provision for Misalignments and Textures. J. Tribol. 2019, 142, 1–29. [Google Scholar] [CrossRef]
- Li, L.; Zhang, D.; Xie, Y. Effect of misalignment on the dynamic characteristic of MEMS gas bearing considering rarefaction effect. Tribol. Int. 2019, 139, 22–35. [Google Scholar] [CrossRef]
- Li, B.; Sun, J.; Zhu, S.; Fu, Y.; Zhao, X.; Wang, H.; Teng, Q.; Ren, Y.; Li, Y.; Zhu, G. Thermohydrodynamic lubrication analysis of misaligned journal bearing considering the axial movement of journal. Tribol. Int. 2019, 135, 397–407. [Google Scholar] [CrossRef]
- Zhu, S.; Sun, J.; Li, B.; Zhu, G. Thermal turbulent lubrication analysis of rough surface journal bearing with journal misalignment. Tribol. Int. 2020, 144, 106109. [Google Scholar] [CrossRef]
- Feng, H.; Jiang, S.; Ji, A. Investigations of the static and dynamic characteristics of water-lubricated hydrodynamic journal bearing considering turbulent, thermohydrodynamic and misaligned effects. Tribol. Int. 2019, 130, 245–260. [Google Scholar] [CrossRef]
- Zheng, L.; Zhu, H.; Zhu, J.; Deng, Y. Effects of oil film thickness and viscosity on the performance of misaligned journal bearings with couple stress lubricants. Tribol. Int. 2020, 146, 106229. [Google Scholar] [CrossRef]
- Xie, Z.; Song, P.; Hao, L.; Shen, N.; Zhu, W.; Liu, H.; Shi, J.; Wang, Y.; Tian, W. Investigation on effects of Fluid-Structure-Interaction (FSI) on the lubrication performances of water lubricated bearing in primary circuit loop system of nuclear power plant. Ann. Nucl. Energy 2020, 141, 107355. [Google Scholar] [CrossRef]
- Ochoa, G.V.; Isaza-Roldan, C.; Forero, J.D. A phenomenological base semi-physical thermodynamic model for the cylin-der and exhaust manifold of a natural gas 2-megawatt four-stroke internal combustion engine. Heliyon 2019, 5, e02700. [Google Scholar] [CrossRef]
- Ochoa, G.V.; Peñaloza, C.A.; Forero, J.D. Thermoeconomic Optimization with PSO Algorithm of Waste Heat Recovery Systems Based on Organic Rankine Cycle System for a Natural Gas Engine. Energies 2019, 12, 4165. [Google Scholar] [CrossRef]
- Xie, Z.; Rao, Z.; Liu, H. Effect of Surface Topography and Structural Parameters on the Lubrication Performance of a Water-Lubricated Bearing: Theoretical and Experimental Study. Coatings 2019, 9, 23. [Google Scholar] [CrossRef]
- Xie, Z.; Rao, Z.-S.; Ta, N.; Liu, L. Investigations on transitions of lubrication states for water lubricated bearing. Part I: Determination of friction coefficients and film thickness ratios. Ind. Lubr. Tribol. 2016, 68, 404–415. [Google Scholar] [CrossRef]
- Xie, Z.; Rao, Z.-S.; Ta, N.; Liu, L. Investigations on transitions of lubrication states for water lubricated bearing. Part II: Further insight into the film thickness ratio lambda. Ind. Lubr. Tribol. 2016, 68, 416–429. [Google Scholar] [CrossRef]
- Jang, J.Y.; Khonsari, M.M. On the Behavior of Misaligned Journal Bearings Based on Mass-Conservative Thermohydrodynamic Analysis. J. Tribol. 2009, 132, 011702. [Google Scholar] [CrossRef]
- Vijayaraghavan, D.; Keith, T. Effect of cavitation on the performance of a grooved misaligned journal bearing. Wear 1989, 134, 377–397. [Google Scholar] [CrossRef]
- Elrod, H.G.; Adams, M.L. A computer program for cavitation and starvation problems. Cavitation Relat. Phenom. Lubricants 1975, 37–41. [Google Scholar]
- Archard, J.F. Contact and Rubbing of Flat Surfaces. J. Appl. Phys. 1953, 24, 981–988. [Google Scholar] [CrossRef]
- Kogut, L.; Etsion, I. A Finite Element Based Elastic-Plastic Model for the Contact of Rough Surfaces. Tribol. Trans. 2003, 46, 383–390. [Google Scholar] [CrossRef]
- Dowson, D.; Higginson, G.R. A Numerical Solution to the Elasto-Hydrodynamic Problem. J. Mech. Eng. Sci. 1959, 1, 6–15. [Google Scholar] [CrossRef]
- Yang, P.; Cui, J.; Jin, Z.M.; Dowson, D. Transient elastohydrodynamic analysis of elliptical contacts. Part 2: Thermal and Newtonian lubricant solution. Proc. Inst. Mech. Eng. Part J J. Eng. Tribol. 2005, 219, 187–200. [Google Scholar] [CrossRef]
- Ausas, R.F.; Jai, M.; Buscaglia, G.C. A Mass-Conserving Algorithm for Dynamical Lubrication Problems With Cavitation. J. Tribol. 2009, 131, 031702. [Google Scholar] [CrossRef]
- Zhang, H.; Hua, M.; Dong, G.-N.; Zhang, D.-Y.; Chin, K.-S. A mixed lubrication model for studying tribological behaviors of surface texturing. Tribol. Int. 2016, 93, 583–592. [Google Scholar] [CrossRef]
- Paranjpe, R.S. A Study of Dynamically Loaded Engine Bearings Using a Transient Thermohydrodynamic Analysis. Tribol. Trans. 1996, 39, 636–644. [Google Scholar] [CrossRef]
Publisher’s Note: MDPI stays neutral with regard to jurisdictional claims in published maps and institutional affiliations. |
© 2021 by the authors. Licensee MDPI, Basel, Switzerland. This article is an open access article distributed under the terms and conditions of the Creative Commons Attribution (CC BY) license (https://creativecommons.org/licenses/by/4.0/).