Dynamic Response Analysis of Ballastless Tracks Considering the Temperature-Dependent Viscoelasticity of Cement-Emulsified Asphalt Mortar Based on a Vehicle–Track–Subgrade Coupled Model
Abstract
1. Introduction
2. Materials and Methods
2.1. The Fractional Maxwell (FM) Model
2.2. Viscoelastic Description of CA Mortar Based on Creep Experimental Data
2.3. Establishing a Vehicle–Track–Subgrade (VTS) Finite Element Model
2.4. Model Verification
3. Results and Discussion
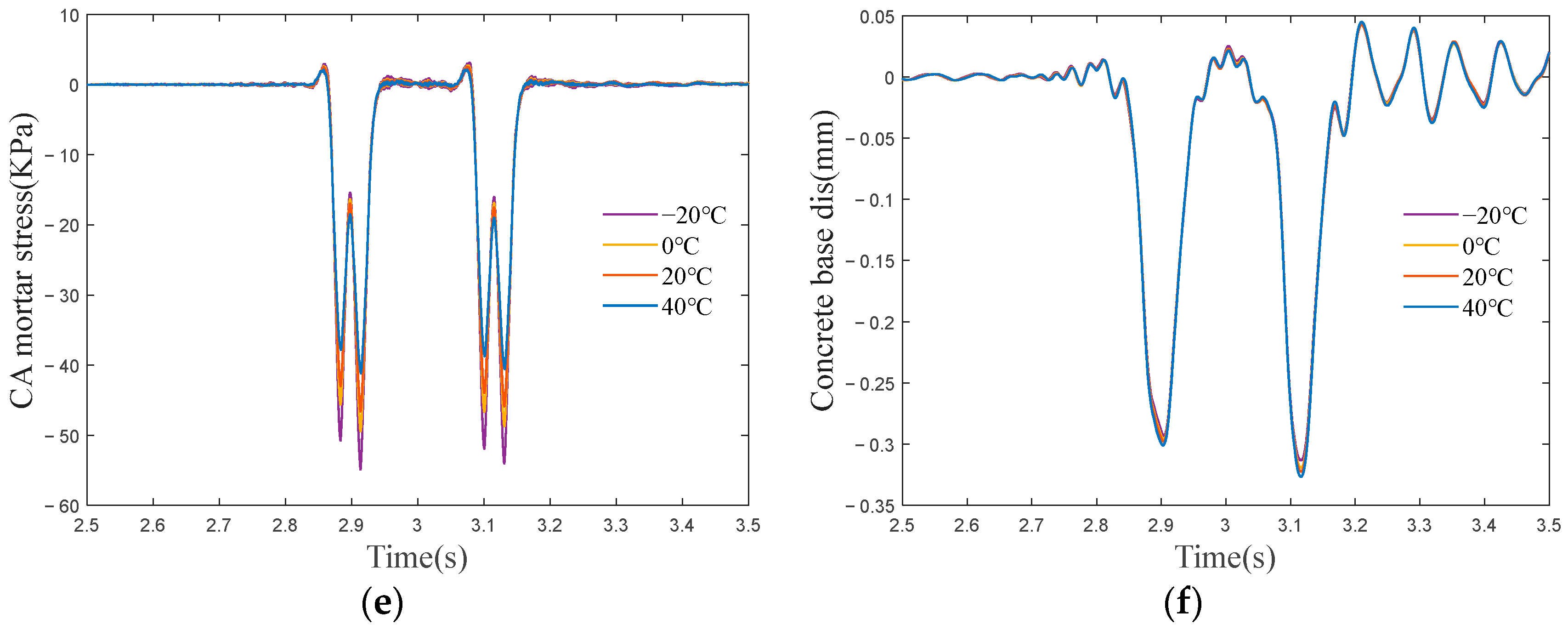
3.1. Effect of Temperature on the Dynamic Responses
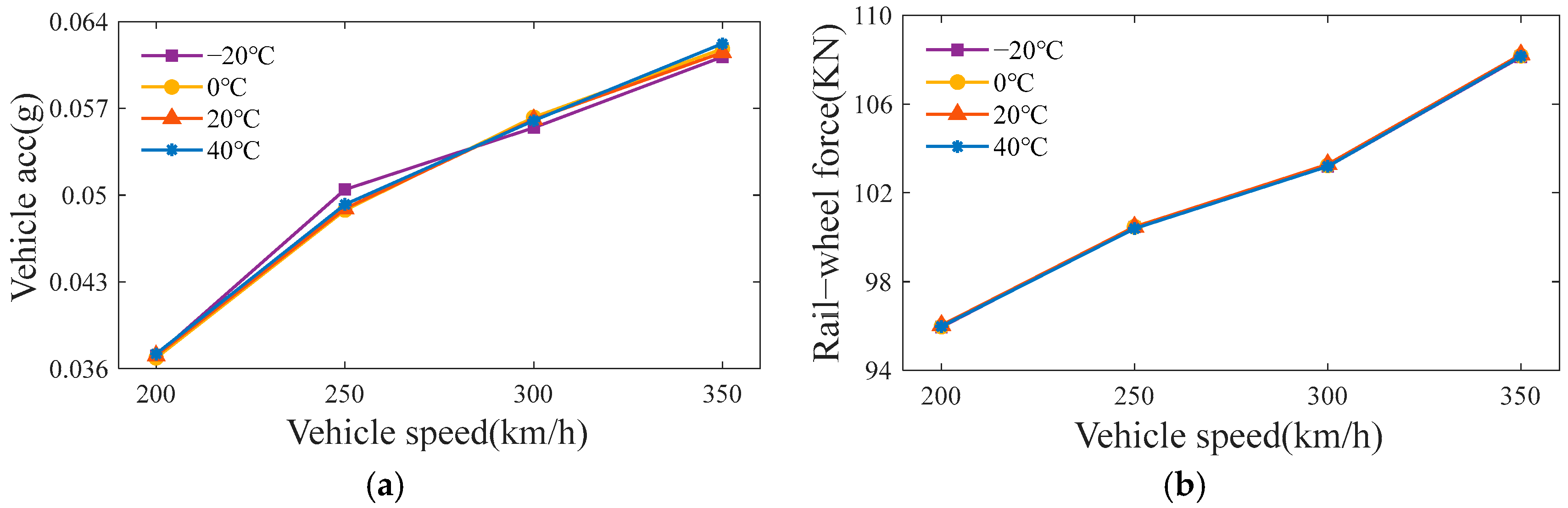
3.2. Effect of Speed on Dynamic Responses
3.3. Effect of Fastener Stiffness on Dynamic Responses
3.4. Effect of Position on Dynamic Responses
4. Conclusions
- The fractional Maxwell (FM) model accurately captures the creep curves of CA mortar, with a fitting degree of excellence above 0.95; moreover, the generalized Maxwell model parameters obtained from the transfer function can be conveniently and accurately implemented for the creep simulation of viscoelastic materials in finite element software.
- The dynamic responses of the track are significantly impacted by the temperature-dependent viscoelastic characteristics of CA mortar, while the vehicle subsystem is slightly affected. All structural layers deform more as the temperature increases. The changes in the slab and the CA mortar layer are particularly significant. The CA mortar layer stress decreases as the temperature increases. Therefore, it is necessary to consider temperature changes when conducting dynamic analysis.
- The increase in vehicle speed and fastener stiffness exacerbates the dynamic responses of the CRTS I ballastless track. The vertical acceleration of the vehicle body rises rapidly, which may affect the passenger’s travel experience. The vertical stress in the CA mortar layer rises in a linear manner. The entire system will thus face more intense vibrations. The compression of the CA mortar layer and the growth rate of the vertical stress also rise continuously. Due to the impact of the train load, the CA mortar edge of experiences the highest stress and is most likely to be damaged.
Author Contributions
Funding
Data Availability Statement
Conflicts of Interest
Abbreviations
| ε | total strain of the viscoelastic model |
| εe | strain of the elastic body |
| εve | strain of the viscoelastic body |
| σ | total stress of the viscoelastic model |
| E, η, α | parameters of the fractional Maxwell model |
| E1, E2, λ | parameters of the Zener model |
| T(s) | transfer function in the LC domain, where s is the complex variable |
| J(t) | creep compliance |
| G(t) | relaxation modulus |
| G0, k, gi, τi | parameters of the generalized Maxwell model |
| T | temperature |
| Mv, Mb, Mw | mass of the vehicle, bogie, and wheelset |
| Jv, Jb | pitch rotational inertia of the vehicle and bogie |
| Zv, Zb, Zw | vertical displacement of the vehicle, bogie, and wheelset |
| βv, βb | pitch nodal displacement of the vehicle and bogie |
| lv, lb | half of the length of the vehicle and bogie |
| Kvb, Kbw | stiffness of the primary suspension and the secondary suspension |
| Cvb, Cbw | damping of the primary suspension and the secondary suspension |
| Frw,k | wheel–rail force of the k-th wheelset |
| q(t) | vertical wheel–rail force |
| G | wheel–rail contact constant |
| ∆Z(t) | compression amount between the wheel and rail |
| R | radius of the wheel |
| F(t) | tangential wheel–rail force |
| Sv(ϕ) | American power spectral density of track irregularity |
| j, Av, ϕ, ϕc | parameters of the American power spectral density of track irregularity |
References
- Zeng, X.; Xie, Y.; Deng, D.; Wang, P.; Qu, F. A study of the dynamic mechanical properties of CRTS I type CA mortar. Constr. Build. Mater. 2016, 112, 93–99. [Google Scholar] [CrossRef]
- Gautier, P.-E. Slab track: Review of existing systems and optimization potentials including very high speed. Constr. Build. Mater. 2015, 92, 9–15. [Google Scholar] [CrossRef]
- Wang, J.; Chen, Y.; Fan, X.; Li, J. Effects of strain rate and confining pressure on compressive behavior of cement asphalt mortar. Mater. Des. (1980–2015) 2015, 65, 772–779. [Google Scholar] [CrossRef]
- Zhao, G.; Zhao, L.; Liu, Y. Incompatible thermal deformation of interlayers and corresponding damage mechanism of high-speed railway track structure. High-Speed Railw. 2023, 1, 37–46. [Google Scholar] [CrossRef]
- Fang, L.; Huang, J.; Chen, Z.; Zhang, B.; Xu, S.; Lu, J. Frequency Dependency and Constitutive Model of Dynamical Mechanical Properties of Cement Asphalt Binders. J. Mater. Civ. Eng. 2024, 36, 04024129. [Google Scholar] [CrossRef]
- Xie, Y.; Fu, Q.; Long, G.; Zheng, K.; Song, H. Creep properties of cement and asphalt mortar. Constr. Build. Mater. 2014, 70, 9–16. [Google Scholar] [CrossRef]
- Fu, Q.; Xie, Y.; Long, G.; Meng, F.; Song, H. Temperature sensitivity and model of stress relaxation properties of cement and asphalt mortar. Constr. Build. Mater. 2015, 84, 1–11. [Google Scholar] [CrossRef]
- Wang, J.; Wu, X.; Fan, X.; Chen, Y. Stress–strain model of cement asphalt mortar subjected to temperature and loading rate. Constr. Build. Mater. 2016, 111, 164–174. [Google Scholar] [CrossRef]
- Zhu, H.; Zeng, X.; Lan, X.; Song, H.; Long, G.; Xie, Y. Effects of High Temperature on Creep Properties of Cement and Emulsified Asphalt Mortar. J. Mater. Civ. Eng. 2022, 34, 04022128. [Google Scholar] [CrossRef]
- Yuan, Q.; Liu, W.; Pan, Y.; Deng, D.; Liu, Z. Characterization of Cement Asphalt Mortar for Slab Track by Dynamic Mechanical Thermoanalysis. J. Mater. Civ. Eng. 2016, 28, 04015154. [Google Scholar] [CrossRef]
- You, Q.; Wei, B.; Ma, J.; Sesay, T.; Wan, H. Interpreting the creep behavior of asphalt mortar at high temperature through experimental and numerical methods. Constr. Build. Mater. 2020, 258, 120317. [Google Scholar] [CrossRef]
- Xu, Y.; Xu, Z.; Guo, Y.; Jia, H.; Huang, X.; Wen, Y. Mathematical modeling and test verification of viscoelastic materials considering microstructures and ambient temperature influence. Mech. Adv. Mater. Struct. 2022, 29, 7063–7074. [Google Scholar] [CrossRef]
- Zhao, L.; Dai, X. Dynamic Response Analysis of Slab Ballast Track Considering Viscoelastic Characteristics of CA Mortar. J. Railw. Sci. Eng. 2018, 15, 8. (In Chinese) [Google Scholar]
- Liu, D.; Liu, Y.; Ren, J.; Yang, R.; Liu, X. Contact Loss beneath Track Slab Caused by Deteriorated Cement Emulsified Asphalt Mortar: Dynamic Characteristics of Vehicle-Slab Track System and Prototype Experiment. Math. Probl. Eng. 2016, 2016, 3073784. [Google Scholar] [CrossRef]
- Ren, J.; Li, H.; Cai, X.; Deng, S.; Wang, J.; Du, W. Viscoelastic deformation behavior of cement and emulsified asphalt mortar in China railway track system I prefabricated slab track. J. Zhejiang Univ.-Sci. A 2020, 21, 304–316. [Google Scholar] [CrossRef]
- Deng, S.; Ren, J.; Wei, K.; Ye, W.; Du, W.; Zhang, K. Fatigue damage evolution analysis of the CA mortar of ballastless tracks via damage mechanics-finite element full-couple method. Constr. Build. Mater. 2021, 295, 123679. [Google Scholar] [CrossRef]
- Chen, H.; Li, W.; Jiang, Y.; Xiao, L. Fatigue life prediction for CA mortar in CRTS II railway slab track subjected to combined thermal action and vehicle load by mesoscale numerical modelling. Constr. Build. Mater. 2024, 437, 136987. [Google Scholar] [CrossRef]
- Zhai, W. Vehicle–Track Coupled Dynamics Models; Springer: Berlin/Heidelberg, Germany, 2020. [Google Scholar]
- Wu, B.; Wen, Z.; Wu, T.; Jin, X. Analysis on thermal effect on high-speed wheel/rail adhesion under interfacial contamination using a three-dimensional model with surface roughness. Wear 2016, 366–367, 95–104. [Google Scholar] [CrossRef]
- Wu, B.; Yang, Y.; Xiao, G. A transient three-dimensional wheel-rail adhesion model under wet condition considering starvation and surface roughness. Wear 2024, 540–541, 205263. [Google Scholar] [CrossRef]
- Hajikarimi, P.; Nejad, F.M. Applications of Viscoelasticity: Bituminous Materials Characterization and Modeling; Elsevier: Amsterdam, The Netherlands, 2021. [Google Scholar]
- Zhao, R.; Jing, F.; Wang, R.; Cai, J.; Zhang, J.; Wang, Q.; Xie, H. Influence of oligomer content on viscosity and dynamic mechanical properties of epoxy asphalt binders. Constr. Build. Mater. 2022, 338, 127524. [Google Scholar] [CrossRef]
- Cai, S.M.; Chen, Y.M.; Liu, Q.X. Development and validation of fractional constitutive models for viscoelastic-plastic creep in time-dependent materials: Rapid experimental data fitting. Appl. Math. Model. 2024, 132, 645–678. [Google Scholar] [CrossRef]
- Su, X.; Chen, Y.; Li, J.; Wu, B. Viscoelastic study of cement and emulsified asphalt mortar under temperature variations based on a novel variable-order fractional Maxwell model. Constr. Build. Mater. 2024, 451, 138828. [Google Scholar] [CrossRef]
- Podlubny, I. An introduction to fractional derivatives, fractional differential equations, to methods of their solution and some of their applications. Math. Sci. Eng. 1999, 198, 0924.34008. [Google Scholar]
- Su, X.; Yao, D.; Xu, W. A new method for formulating linear viscoelastic models. Int. J. Eng. Sci. 2020, 156, 103375. [Google Scholar] [CrossRef]
- Su, X.; Yao, D.; Xu, W. Processing of viscoelastic data via a generalized fractional model. Int. J. Eng. Sci. 2021, 161, 103465. [Google Scholar] [CrossRef]
- Wang, L. Study on the Viscoelastic and Thermomechanical Properties of CA Mortar; Dalian Jiaotong University: Dalian, China, 2023. [Google Scholar]
- Li, J.H.; Farquharson, C.G.; Hu, X.Y. Three effective inverse Laplace transform algorithms for computing time-domain electromagnetic responses. Geophysics 2016, 81, E113–E128. [Google Scholar] [CrossRef]
- Chen, M.; Sun, Y.; Zhu, S.; Zhai, W. Dynamic performance comparison of different types of ballastless tracks using vehicle-track-subgrade coupled dynamics model. Eng. Struct. 2021, 249, 113390. [Google Scholar] [CrossRef]
- Li, L.; Nimbalkar, S.; Zhong, R. Finite element model of ballasted railway with infinite boundaries considering effects of moving train loads and Rayleigh waves. Soil Dyn. Earthq. Eng. 2018, 114, 147–153. [Google Scholar] [CrossRef]
- Yu, Y.; Zhao, L.; Zhou, C. Vertical Coupling Mechanism between the Sitting Human Body and the Vehicle-track System. J. Mech. Eng. 2022, 58, 290–300. [Google Scholar] [CrossRef]
- Nan, H. Analysis of Dynamic Characteristics and Parameter Study of CRTSII Type Slab Ballast Track on Roadbed; Lanzhou Jiaotong University: Lanzhou, China, 2012. [Google Scholar]
- Zhai, W.; Wei, K.; Song, X.; Shao, M. Experimental investigation into ground vibrations induced by very high speed trains on a non-ballasted track. Soil Dyn. Earthq. Eng. 2015, 72, 24–36. [Google Scholar] [CrossRef]
- Wang, M.Z.; Cai, C.B.; Zhu, S.Y.; Zhai, W.M. Experimental study on dynamic performance of typical nonballasted track systems using a full-scale test rig. Proc. Inst. Mech. Eng. Part F-J. Rail Rapid Transit 2017, 231, 470–481. [Google Scholar] [CrossRef]
- Xu, H. CRTS I Type Plate Rail CA Mortar Dynamic Mechanical Properties Test and Theoretical Research; Southwest Jiaotong University: Chengdu, China, 2015. [Google Scholar]
- Zhang, S. Beijing-Tianjin Intercity High-Speed Railway System Commissioning Technology; China Railway Press: Beijing, China, 2008. [Google Scholar]
- Zhang, X.; Chai, Y.; Liu, J. Experimental study on the effect of temperature on the mechanical properties of cement-asphalt mortar. Bull. Chin. Ceram. Soc. 2015, 34, 538–543. (In Chinese) [Google Scholar] [CrossRef]





















| Component | Transfer Function T(s) |
|---|---|
| Hooke’s spring | E |
| Newtonian dashpot | λs |
| Abel dashpot | ηsα |
| T/°C | FM Model | Zener Model | ||||||
|---|---|---|---|---|---|---|---|---|
| E/Mpa | η/Mpa·sα | α | R2 | E1/Mpa | E2/Mpa | λ/Mpa·s | R2 | |
| −20 | 46.477 | 268.708 | 0.253 | 0.977 | 34.191 | 45.280 | 245.191 | 0.970 |
| 0 | 27.892 | 477.358 | 0.320 | 0.995 | 23.453 | 42.088 | 399.271 | 0.977 |
| 20 | 23.132 | 146.751 | 0.219 | 0.992 | 17.201 | 36.594 | 264.657 | 0.962 |
| 40 | 10.984 | 140.754 | 0.190 | 0.957 | 10.077 | 41.962 | 103.763 | 0.907 |
| No. | τi/s | gi | |||
|---|---|---|---|---|---|
| T/°C | |||||
| −20 | 0 | 20 | 40 | ||
| 1 | 1 × 10−2 | 6.160 × 10−2 | 1.662 × 10−2 | 6.395 × 10−2 | 4.072 × 10−2 |
| 2 | 1 × 10−1 | 4.530 × 10−2 | 1.721 × 10−2 | 3.912 × 10−2 | 1.942 × 10−2 |
| 3 | 1 × 100 | 7.066 × 10−2 | 3.402 × 10−2 | 5.758 × 10−2 | 2.814 × 10−2 |
| 4 | 1 × 101 | 1.060 × 10−1 | 6.541 × 10−2 | 8.264 × 10−2 | 4.082 × 10−2 |
| 5 | 1 × 102 | 1.381 × 10−1 | 1.184 × 10−1 | 1.078 × 10−1 | 5.697 × 10−2 |
| 6 | 1 × 103 | 1.600 × 10−1 | 1.800 × 10−1 | 1.314 × 10−1 | 7.752 × 10−2 |
| 7 | 1 × 104 | 1.210 × 10−1 | 1.991 × 10−1 | 1.223 × 10−1 | 9.925 × 10−2 |
| G0/MPa | 46.563 | 27.931 | 23.156 | 11.036 | |
| Symbol | Component | Meaning |
|---|---|---|
| Mv, Jv | Vehicle | Mass and pitch rotational inertia |
| Zv, βv | Vertical displacement and pitch nodal displacement | |
| lv | Half of the length | |
| Mb, Jb | Bogie | Mass and pitch rotational inertia |
| Zb, βb | Vertical displacement and pitch nodal displacement | |
| lb | Half of the length | |
| Mw | Wheelset | Mass |
| Kvb, Cvb | Primary suspension | Stiffness and damping |
| Kbw, Cbw | Secondary suspension | Stiffness and damping |
| Frw,k | The k-th wheelset | Wheel–rail force |
| Track Grade | Av/(cm2·m/rad) | ϕc/(rad/m) |
|---|---|---|
| 1 | 1.2107 | 0.8245 |
| 2 | 1.0181 | 0.8245 |
| 3 | 0.6816 | 0.8245 |
| 4 | 0.5376 | 0.8245 |
| 5 | 0.2059 | 0.8245 |
| 6 | 0.0339 | 0.8245 |
| Parameter | Value |
|---|---|
| Vehicle body mass/t | 42.400 |
| Bogie mass/t | 3.400 |
| Wheelset mass/t | 2.200 |
| Nodding moment of inertia of the vehicle body/(kg·m2) | 2.74 × 106 |
| Nodding moment of inertia of the bogie/(kg·m2) | 7.2 × 103 |
| Primary suspension stiffness/(N/m) | 1.04 × 107 |
| Primary suspension damping/(N·s/m) | 5 × 104 |
| Secondary suspension stiffness/(N/m) | 4 × 105 |
| Secondary suspension damping/(N·s/m) | 5 × 104 |
| Fastener stiffness/(N/m) | 5 × 107 |
| Structural | Density/(kg/m3) | Elastic Modulus/MPa | Poisson’s Ratio |
|---|---|---|---|
| Rail | 7850 | 2.06 × 105 | 0.3 |
| Slab | 2500 | 3.65 × 104 | 0.2 |
| Lug boss | 2440 | 3.4 × 104 | 0.2 |
| Base | 2500 | 3.6 × 104 | 0.2 |
| Subgrade surface | 2250 | 2.5 × 102 | 0.27 |
| Subgrade bottom | 2130 | 1.6 × 102 | 0.32 |
| Subgrade body | 2000 | 1.2 × 102 | 0.35 |
| CA mortar | 1800 | —— | 0.45 |
| Parameter | Result in This Paper | Results in the Literature [36] | Measured Value [36] | Measured Value [37] |
|---|---|---|---|---|
| Rail dis/mm | 1.392 | 1.537 | 0.3–0.88 | 0.66–1.32 |
| Slab dis/mm | 0.331 | 0.367 | 0.27–0.39 | 0.16–0.37 |
| CA mortar stress/KPa | 46.583 | 125.501 | 25.63–38.48 | ≤45 |
| Fastener force/kN | 52.413 | 60.450 | 14.4–65.8 | 24.4–46.3 |
Disclaimer/Publisher’s Note: The statements, opinions and data contained in all publications are solely those of the individual author(s) and contributor(s) and not of MDPI and/or the editor(s). MDPI and/or the editor(s) disclaim responsibility for any injury to people or property resulting from any ideas, methods, instructions or products referred to in the content. |
© 2025 by the authors. Licensee MDPI, Basel, Switzerland. This article is an open access article distributed under the terms and conditions of the Creative Commons Attribution (CC BY) license (https://creativecommons.org/licenses/by/4.0/).
Share and Cite
Chen, Y.; Wu, B.; Yao, L.; Su, X. Dynamic Response Analysis of Ballastless Tracks Considering the Temperature-Dependent Viscoelasticity of Cement-Emulsified Asphalt Mortar Based on a Vehicle–Track–Subgrade Coupled Model. Lubricants 2025, 13, 58. https://doi.org/10.3390/lubricants13020058
Chen Y, Wu B, Yao L, Su X. Dynamic Response Analysis of Ballastless Tracks Considering the Temperature-Dependent Viscoelasticity of Cement-Emulsified Asphalt Mortar Based on a Vehicle–Track–Subgrade Coupled Model. Lubricants. 2025; 13(2):58. https://doi.org/10.3390/lubricants13020058
Chicago/Turabian StyleChen, Yunqing, Bing Wu, Linquan Yao, and Xianglong Su. 2025. "Dynamic Response Analysis of Ballastless Tracks Considering the Temperature-Dependent Viscoelasticity of Cement-Emulsified Asphalt Mortar Based on a Vehicle–Track–Subgrade Coupled Model" Lubricants 13, no. 2: 58. https://doi.org/10.3390/lubricants13020058
APA StyleChen, Y., Wu, B., Yao, L., & Su, X. (2025). Dynamic Response Analysis of Ballastless Tracks Considering the Temperature-Dependent Viscoelasticity of Cement-Emulsified Asphalt Mortar Based on a Vehicle–Track–Subgrade Coupled Model. Lubricants, 13(2), 58. https://doi.org/10.3390/lubricants13020058
