Next Article in Journal
Investigation of Wear Behavior in Self-Lubricating ABS Polymer Composites Reinforced with Glass Fiber/ABS and Glass Fiber/Carbon Fiber/ABS Hybrid
Next Article in Special Issue
Effect of a Metal Conditioner on the Physicochemical Properties and Tribological Performance of the Engine Oil SAE 5W-30 API SN
Previous Article in Journal
The Influences of Different Parameters on the Static and Dynamic Performances of the Aerostatic Bearing
Previous Article in Special Issue
Graphene as a Lubricant Additive for Reducing Friction and Wear in Its Liquid-Based Form
 
 
Font Type:
Arial Georgia Verdana
Font Size:
Aa Aa Aa
Line Spacing:
Column Width:
Background:
Article

Tribological Properties of Nanoparticles in the Presence of MoDTC

1
Gongqing Institute of Science and Technology, Gongqing City 332020, China
2
Shanghai Nuclear Engineering Research and Design Institute Co., Ltd., Shanghai 200233, China
3
Ocean School, Yantai University, Yantai 264005, China
4
China Waterborne Transport Research Institute, Beijing 100088, China
*
Author to whom correspondence should be addressed.
These authors contributed equally to this work.
Lubricants 2023, 11(3), 132; https://doi.org/10.3390/lubricants11030132
Submission received: 3 February 2023 / Revised: 1 March 2023 / Accepted: 4 March 2023 / Published: 13 March 2023
(This article belongs to the Special Issue Matching Ability and Anti-Wear Properties of Lubricants)

Abstract

:
Nanoparticles can reduce the friction coefficient and present a self-restorative effect and MoDTC is important as a friction-reducing additive. Both are important for improving lubricating performance. In this study, the tribological performances of nanoparticles in the presence of MoDTC were studied. The chemical synthetic and ball-milled nanoparticles were selected as test samples, and tribological performances were evaluated by a block-ring friction test rig. Experimental results show that the synthetic serpentine particle with a 200–800 nm diameter exhibits the lowest friction coefficient and wear, while the ball-milled kaolin particle shows the highest friction and wear. A synergistic lubricating effect has been shown when mixing the synthetic nano serpentine particle and MoDTC. The friction coefficient of “BD + synthetic serpentine” reduced from 0.011 to 0.055 after the compound with MoDTC. At 150 °C, the “BD + synthetic serpentine + MoDTC” improves the production of MoS2 on the friction surface, which further reduced the friction coefficient and wear, while the ball-milled kaolin reduced the production of MoS2, which leads to a high friction coefficient. The synthetic serpentine shows a round surface without any sharp edge, which shows the minimal ploughing effect on the friction surface. Based on the experimental results, the synthetic nanoparticles have the best antiwear and friction reduction performance when compounded with MoDTC.

Graphical Abstract

1. Introduction

Nanoparticles can reduce the friction coefficient and present a self-restore effect. Nanoserpentine and nanokaolin particles are widely used as self-restore additives [1,2,3]. Both can reduce the friction coefficient and produce a self-restore layer on a friction surface in high friction temperature and high pressure [4]. Nanoserpentine is mainly composed of Mg6[Si4O10](OH)8 and nanokaolin is 2SiO2-Al2O3-2H2O. When added to the lubricant, the nanoparticles will interfere with existing additives in lubricants, such as friction-reducing additives. Molybdenum dithiocarbamates (MoDTC) is the most widely applied friction-reducing additive in lubricants. Therefore, it is important to study the tribological properties of nanoparticles in the presence of MoDTC, which is helpful to determine the best lubricant additive formulations.
Nanoserpentine shows excellent tribological performance both in lubricant and solid layer materials. Studies show that when a 0.5 wt.% concentration of natural serpentine particles was introduced into liquid paraffin, the friction coefficients can be reduced by 22.8%, and the wear spot diameters can be reduced by 34.2% [5].
The synthetic nanoparticle shows excellent dispersion stability and ultrafine particle size. Qin investigated the self-repairing layers produced by oleic acid-modified magnesium silicate hydroxide in an airconditioning compressor [6]. The optimum friction reduction concentration was 1.0 wt.%, which is much higher than the ball-milled particle. This is due to the uniformly dispersed condition and ultrafine particle size. The surface self-repairing layer is composed of a 1.5 μm thick transition layer and a 20 nm amorphous carbon-based film. The transition layer mainly contributes to the self-restore performance, which originates from nanocrystallisation and the mechanical alloying effect. The amorphous carbon-based film can reduce the friction coefficient obviously, which originates from lubricating oil crack deposition.
The mixture of synthetic serpentine together with other nanoparticles improves the tribological performance of the grease. The antiwear and friction reduction properties are mainly attributed to the layered structure of synthetic particles. Furthermore, the tribochemical reaction between the nanoparticles and the metal surface produces an antiwear layer, which further improves the tribological performance [7]. The ball-milled mineral serpentine particle and lamellar graphite nanoparticles can produce a self-restore triboreaction film at high temperatures [8]. The serpentine mainly contributes to the antiwear prosperity, and the lamellar graphite leads to a low friction coefficient.
Theories of the nanoparticle self-repairing mechanism are still under debate. The study shows that in relatively low temperatures and friction load, the bilayer tribofilm was found. The surface layer contains nanoparticles surrounded by lubricants and the lower layer of which nanoparticles compacted onto the friction surface. The tribochemical reaction is not clear. In dry sliding friction, the study of Wang shows the binding between the metal surface and self-restore layer is mainly formed by the unsaturated bonds released from the serpentine [9]. The friction time and hardness of metal also influence the thickness of the self-restore layer. In different friction conditions, the serpentine particles show different influences on the tribological performance. The study shows that the nanoserpentine and the nanoserpentine–potassium acetate (Ser-KAc) organic intercalation compound can improve the antiwear performance and increase the friction coefficient in certain concentrations [10]. At high temperatures, the tribochemical reaction of serpentine nanoparticles will be activated. The self-restore layer was produced more rapidly, not only for nanoscale serpentine but also for heat-treated serpentine powder. The study of Qi demonstrates the isomorphic replacement theory and the tribochemical reaction is the main facilitator to forming the self-restore layer [11].
The serpentine particles can also improve the tribological performance when mixed in the solid coating. The self-restore layer can be produced when the serpentine particle is mixed in solid coatings. The concentration is much higher than that in liquid lubricant. The study shows that 10 wt.% natural serpentines in phosphate coatings can significantly improve antiwear performance [12]. The furrows in the friction surface were repaired gradually during the friction test. The high temperature, which originates from the high friction load and sliding speed, is the key to activating the performance of natural serpentine. The friction experimental results about the NiAl matrix filled with a serpentine show that the serpentine reduced the friction coefficient and the wear of NiAl matrix composites. The best concentration is 8 wt.% serpentine and 2 wt.% TiC. After adding serpentine, the self-restore layer was established on the worn surface [13].
Apart from serpentine, other silicate-based nanoparticle additives, such as kaolin, show antiwear and self-restore capability [14]. Rao investigated the effects of different silicates on the lubricating performance of diesel engine cylinder liners and piston rings [15]. Nanoparticles, including ultrafine serpentine, attapulgite, and kaolin, were prepared. The nanoparticles were surface modified to improve the dispersion property in the lubricant. The optimum concentrations were tested. All the nanoparticles present a self-restore effect. The ultrafine attapulgite powders additive shows the best friction reduction and antiwear performance. For nonmetallic materials, nanoparticles also exhibit obvious antiwear performance. Wang investigated the tribological performance of textile–resin composite liners added with kaolin and attapulgite nanoparticles [16]. During the friction test, the broken particles produced active oxygen atoms and Si-O dangling bonds. These bounds facilitate the tribochemical reaction, which produces a wear-resistant tribo-oxidation layer on the friction surface.
Based on the previous studies, the nanoparticles can be produced by different procedures. The main methods of nanoparticle preparation include ball-milled and chemical synthesis. The ball-milled, by means of the impact between the grinding balls and the mineral particle, produces a lower particle size compared with the raw material. The particles after ball-milled still have a large diameter and a nonuniform particle size distribution [17,18]. The chemical synthesis could obtain nanoscale particles by hydrothermal methods [19]. The advantages of the chemical synthesis method are the smaller particle diameter and the uniform particle size distribution compared with the ball-milled method [20,21,22,23,24].
The mineral nanoparticles prepared by these two methods differ in terms of particle size distribution and shape, which have a significant impact on antiwear and friction reduction properties. Furthermore, friction-reducing additives, such as Molybdenum dithiocarbamates (MoDTC), were widely applied in lubricants. It is important whether the nanoparticles can show a synergistic lubricating effect with existing friction reduction additives.
In this paper, the tribological properties of ball-milled nanoparticles, synthetic nanoparticles, and nanoparticle-MoDTC mixture were compared using a block-ring friction test rig, and the friction reduction mechanisms were analyzed.

2. Materials and Methods

2.1. Materials

The ball-milled nanoparticles are produced from the mineral raw material, which was from the Shijiazhuang Huabang mineral products Co. Ltd., Shijiazhuang, China. The F-VC 200 High Energy Ball Mill is used to pulverize the mineral raw material, with intermittent milling of the mineral particles. Each milling process was composed of 60 s milling and 40 s cooling, and the cumulative ball-milled time is 10 h. The zirconia ball-milled jars with 2 mm diameter zirconia grinding balls are used, and oleic acid is used as the solvent. The mass ratio of grinding balls, mineral raw material, and the solvent is 8:2:1 based on previous studies [25]. The synthetic nanoparticles are provided by Beijing Moshing Technology Co. Ltd., Beijing, China. The shape of the ball-milled and synthetic particles under SEM is shown in Figure 1. The particles of ball-milled serpentine and kaolin are large and unevenly distributed, with a maximum particle diameter of about 1000 nm and a minimum particle diameter of about 200 nm. The sharp edge of the ball-milled serpentine and kaolin is more obvious compared with the synthetic particles. The synthetic serpentine particles are more rounded and have a uniform particle size of around 300–400 nm. Synthetic kaolin has the smallest particle size and some of the particles are agglomerated. The smallest particle size is about 100 nm, and the agglomerated large particles are about 500 nm.
The test base oil is PAO 5. The viscosity is 31.00 mm2/s at 40 °C and 5.88 mm2/s at 100 °C, with a viscosity index of 135. In order to promote the dispersion of the particles in the lubricant, and dispersing agent 155 (CAS: 01211-16-7) with a mass ratio of 2 wt.% is added as a dispersant, the molecular structure was in Figure 2. The dispersant was mixed with base oil and nanoparticles with magnetic stirring for 10 min, then treated with an ultrasonic bath for 20 min vibration to ensure an even distribution of nanoparticles. The treated lubricants had been standing for a long time, which is shown in Figure 3. The nanoparticles keep the dispersion status for 8 days, which ensures stable experimental results.
In lubricant additives, MoDTC is provided by Hangzhou Sturgeon Chemical Co. The ratio of MoDTC added has an important influence on the lubricating performance. In this paper, to ensure its effective antiwear and friction performance, the mass ratio of MoDTC was 0.5 wt.% and the nanoserpentine particles were added at a mass ratio of 0.1 wt.% according to a previous study [26]. The lubricant compositions are shown in Table 1.

2.2. Experimental Apparatus

Tribological performance was tested using a block-ring tribological test rig, as shown in Figure 4. During the test, the friction ring was mounted on the end of a rotating shaft, which was driven by a servo motor. The friction force between the ring and block was detected by a tensile force sensor. The oil bath with a temperature control device was installed at the bottom of the friction ring. The detailed working principle of the test rig can be found in previous studies [27]. During the rotation of the friction ring, the lubricant will entrain into the friction surface. The temperature of the lubricant entrained in the contact surface was difficult to detect. Therefore, the temperature of the oil bath represents the test temperature in this paper.
The friction ring and block are made of bearing steel. The EDS of the bearing steel is shown in Figure 5, which is mainly composed of Fe, Cr, and C. The friction ring has an inner diameter of 45 mm and an outer diameter of 50 mm. The friction block is cylindrical with a diameter of 10 mm and a height of 10 mm. The hardness of the friction ring and the block is 751.0 HV, and the surface roughness of the friction ring and the block is 0.06 mm and 0.02 mm, respectively.

2.3. Experimental Procedures

Before the test, the friction ring and block were installed, and lubricant was added to the oil bath. The test lubricant temperatures were 50 °C, 70 °C, 90 °C, 110 °C, 130 °C, and 150 °C. The speed of the friction ring was controlled at 100 r/min, the test load was 150 N, and the test time was 12 h. Each set of friction experiments was repeated four times. After that, the friction specimens were cleaned ultrasonically with petroleum ether and anhydrous ethanol respectively. After the test, the optical images of the friction surface were observed by a ZEISS Axio Observer optical microscope, and the width of the wear scar was measured. The elemental compositions of the friction surface were analyzed by a JEOL JSM-7610F scanning electron microscope (SEM).

3. Results

The friction coefficients of different lubricants are shown in Figure 6. Figure 6a shows the friction curves of the base oil, “base oil + dispersant (BD)”, “BD + MoDTC” and formulations containing various nanoparticles. Figure 6b shows the influence of MoDTC on nanoparticle-containing lubricants.
The overall pattern in Figure 6a shows that the friction coefficient of BD decreases with the addition of nanoparticles. The highest friction coefficient was found in the base oil, which is around 0.125–0.132 at the test temperature. The friction coefficient of BD is close to that of base oil, which indicates that the dispersant has little influence on the friction reduction property. The lowest friction coefficient exhibits in “BD + MoDTC”.
When MoDTC was added to the base oil, the friction coefficient was around 0.063 from 50 °C to 130 °C and increased to 0.082 at 150 °C. The main reason for the increased friction coefficient is that the lubricant viscosity drops sharply at high temperatures, which reduces the load-carrying capability of the lubricant and leads to a rise in the friction coefficient.
When the BD was compounded with nanoparticles, the mixture of BD and ball-milled serpentine showed the lowest friction coefficient, which was around 0.098 from 50 °C to 110 °C and gradually increased to 0.110 at 150 °C. Followed by the “BD + ball-milled serpentine”, the “BD + ball-milled kaolin” also has obvious friction reduction properties. The friction coefficient of “BD + ball-milled kaolin” was around 0.100–0.105 from 50 °C to 110 °C and gradually increased to 0.125 at 150 °C.
The friction coefficient of BD containing synthetic serpentine and synthetic kaolin was slightly lower than BD. With an increased temperature, synthetic kaolin shows a lower friction coefficient than the synthetic serpentine. The synthetic kaolin and the ball-milled kaolin obtained similar friction coefficients at 130 °C. At 150 °C, the friction coefficient of the ball-milled kaolin reduced to a value similar to the ball-milled serpentine.
In Figure 6b, when the BD was compounded with nanoparticles and MoDTC, the overall friction coefficient reduced to a lower level than the “BD + nanoparticles” formulation. The friction coefficient of “BD + synthetic serpentine + MoDTC” was the lowest among different lubricant formulations, which was around 0.050 to 0.055 over the entire experimental temperature range. While the “BD + synthetic serpentine” in Figure 6a was around 0.011 to 0.013 at the same condition. The friction coefficient of “BD + synthetic serpentine + MoDTC” was even lower than the “BD + MoDTC” formulation in Figure 6a, especially at high temperatures around 150 °C. This may be due to the existence of the synthetic serpentine compensating the load-carrying capability of the lubricant when the viscosity of the base oil decreased greatly. The nanoparticles can perform as microrolling balls in extreme oil-starved friction conditions.
The friction coefficient of “BD + ball-milled serpentine + MoDTC” was the highest from 50 °C to 70 °C, which is about 0.091. As the temperature increased, the friction coefficient decreased sharply to about 0.055 from 90 °C to 110 °C and increased gradually to 0.068 at 150 °C. A similar decrease tendency from 90 °C to 110 °C was also found in “BD + synthetic kaolin + MoDTC”. The friction coefficient of “BD + synthetic kaolin + MoDTC” was about 0.085 at 50 °C, then reduced sharply to 0.055 from 90 °C to 110 °C, and then increased gradually to 0.075 from 130 °C to 150 °C.
The sharp decrease of the friction coefficient from 90 °C to 110 °C was an interesting phenomenon. MoDTC can produce MoS2 on the friction surface, which is an effective friction reduction material. In high temperatures, the tribochemical activity of MoDTC is higher than in low temperatures. Furthermore, the nanoparticle has a ploughing effect on the friction surface during friction. Based on the above condition, the friction coefficient variation of “BD + ball-milled serpentine + MoDTC” and “BD + synthetic kaolin + MoDTC” can be deduced as follows: the formation of MoS2 from MoDTC may be removed by the ploughing effect of nanoparticles in low temperature, which makes the friction coefficient very high, from 50 °C to 70 °C. As the testing temperature increases from 90 °C to 110 °C, the formation of MoS2 becomes rapid at high temperatures, which compensates for the ploughing effect, and reduced the friction coefficient sharply.
The friction coefficient “BD + synthetic serpentine + MoDTC” showed the lowest value, which may due to the minimal ploughing effect of synthetic serpentine nanoparticles, thus the MoS2 was retained on the friction surface. However, the friction coefficient of “BD + ball-milled kaolin + MoDTC” did not show a decreasing tendency from 90 °C to 110 °C. It is believed that the ploughing effect of coarse ball-milled kaolin is more severe than other nanoparticles, which reduced the MoS2 existing on the friction surface, thus the friction coefficient was high.
Figure 7 illustrates the wear scar width of different lubricant formulations. The test lasted for 12 h at 150 °C, 100 r/min, and 150 N. Each test was repeated four times. The base oil has the widest wear width of 2343 μm. The BD had similar wear width as base oil, which was 2296 μm, which indicates that the BD had little influence on the antiwear performance.
When MoDTC was added to the BD, the wear scar reduced to 937.4 μm, which showed obvious antiwear performance. “BD + synthetic serpentine” showed lower wear scar width than “BD + MoDTC”, which was 937.4 μm. The “BD + synthetic serpentine” showed a synergistic antiwear effect with MoDTC. The “BD + synthetic serpentine + MoDTC” reduced the wear scar to 820.2 μm, which was approximately 13% lower than “BD + MoDTC”. The wear scar widths of “BD + synthetic kaolin” were higher than “BD + synthetic serpentine”, which was 1106.2 μm. After adding MoDTC, the wear scar widths of “BD + synthetic kaolin + MoDTC” were reduced to 1005.0 μm.
The ball-milled nanoparticles of “BD + ball-milled serpentine” and “BD + ball-milled kaolin” showed much higher wear width than that of the synthetic nanoparticles, which were 1290.2 μm and 1385.6 μm, respectively. After adding MoDTC to the ball-milled nanoparticles, the wear width of “BD + ball-milled serpentine + MoDTC” and “BD + ball-milled kaolin + MoDTC” reduced to 1039.0 μm and 980.8 μm, respectively.
Based on the wear scar data in Figure 7, it is revealed that the antiwear performance of the synthetic serpentine was better than ball-milled serpentine, ball-milled kaolin, and synthetic kaolin. Furthermore, the synergistic performance of synthetic serpentine further improved the antiwear performance.
Figure 8 illustrates the optical image of the friction surface morphology lubricated with lubricants containing nanoparticles. The friction samples were tested at 150 °C, 100 r/min, and 150 N for 12 h. It was found that the surfaces lubricated by ball-milled serpentine and ball-milled kaolin were wide and clean. After compounding with MoDTC, the wear scar width decreased and the surface appeared gray with a dark blue color. The surface lubricated with “BD + synthetic serpentine” showed abrasion lines of varying lengths, while the surface became smooth and the wear scar width was reduced after compounding with the MoDTC. The surface lubricated with the synthetic kaolin appeared irregularly blue, after compounding with MoDTC the abrasion lines appeared uniform and the width of the wear scar was reduced.
Based on the tribological experimental data above, it can be seen that only the wear scar width of the“base oil + synthetic serpentine” and “base oil + synthetic serpentine + MoDTC” was lower than that of “base oil + MoDTC”. The wear scar widths of ball-milled kaolin and ball-milled serpentine were wider than that of the synthetic kaolin and synthetic serpentine. Synthetic nanoparticles showed a better antiwear performance due to their uniform particle size and nearly circular shape.

4. Discussion

In order to obtain the friction reduction and antiwear mechanism of the different nanoparticles, the chemical elements on the friction surface were detected with SEM, and the tribochemical products were detected with XPS. All the surfaces detected were lubricated with MoDTC and nanoparticle-containing lubricants.
Figure 9 illustrates the friction surface morphology under SEM. Figure 10 shows the energy spectrums of the protrusions on the friction surface. In Figure 9, protrusions with different shapes can be found on the friction surface and the other part of the friction surface was a flat area. For the flat area lubricated with different lubricant formulations, no elements of serpentine and kaolin were found. This means no clear self-restore layer was found under the test temperature and load, although friction reduction and antiwear performance were improved by the addition of nanoparticles. However, the energy spectra of the protrusions showed different information, which is shown in Figure 10.
The friction surface lubricated by “BD + synthetic serpentine + MoDTC” showed aggregated particles. Mg and Si, contained in the serpentine, were detected in the aggregated particles. The surface lubricated by “BD + synthetic kaolinite + MoDTC” also showed aggregated particles and Al and Si elements contained in kaolinite were detected in the aggregated particles. Although the protrusions were found on surfaces lubricated by ball-milled serpentine and ball-milled kaolin, no elements contained in serpentine and kaolin were found in the protrusions. Apart from S and Mo, the elements found in the protrusions were the same as the bearing steel, which means the protrusions were the debris from friction. These show that the synthetic serpentine and the synthetic kaolinite produce aggregated particles on the friction surface, while ball-milled serpentine and kaolin particles mainly played the role of grinding and scraping.
On the flat areas other than the protrusions, the “BD + synthetic serpentine + MoDTC” and “BD + synthetic kaolin + MoDTC” lubricated surfaces were very smooth. However, the bumps and abrasive chips were found on the surfaces lubricated by ball-milled particles. This shows that the synthetic nanoparticles had less of a ploughing effect on the friction surface, which provides better antiwear performance than the ball-milled nanoparticles due to their uniform shape and no sharp edges.
In Figure 11, the chemical products of friction surfaces lubricated with MoDTC and nanoparticle-containing lubricants under 150 °C were analyzed by XPS. The peak in 232.7 eV is MoO3 [28], 229.5 eV is MoS2, and 235.7 eV is MoOX [29]. MoS2 was produced during the friction test by MoDTC, which reduced the friction coefficient. The results show that the amount of MoS2 generated on the friction surface was consistent with the friction coefficient variation of different lubricant formulations. Compared with “BD + MoDTC”, the ball-milled serpentine and synthetic kaolin lubricated surface showed a clear peak of MoS2 when mixed with MoDTC. The MoS2 peak on the friction surface lubricated by “BD + synthetic serpentine + MoDTC” was the most obvious, which is much higher than ”BD + MoDTC”. This indicates that more MoS2 was generated on the friction surface lubricated with “BD + synthetic serpentine + MoDTC”, which coincides with the synergistic lubricating performance in Figure 6, and, therefore, the friction coefficient was the lowest.
The lubricant containing synthetic kaolin and ball-milled serpentine generated a lower MoS2 peak, however, it was close to the lubricant of “BD + MoDTC”. The MoS2 peak of the “base oil + ball-milled kaolin + MoDTC” was the weakest, indicating little MoS2 existed on the friction surface, and thus the friction coefficient was the highest.
Based on the friction coefficient, wear scar width, and surface chemical analysis, the tribological test of synthetic serpentine shows the best friction and antiwear performance. The ball-milled and synthetic kaolin show relatively lower performance than ball-milled and synthetic serpentine. Although the synthetic kaolin reduced the friction coefficient and wear scar width than the base oil, the synergistic lubricating effect was not found when mixed with MoDTC. This means the serpentine was more suitable to be used as an additive in lubricant. The chemical analysis shows that the variation of MoS2 was the key factor to affect friction reduction and antiwear performance. Based on previous studies, the formation of MoS2 was improved when more fresh metal was exposed to the friction surface [30], which facilitates the tribochemical reaction of MoDTC. However, the dynamic formation of MoS2 was disturbed when a nanoparticle was introduced. The synthetic serpentine ploughed the MoS2 layer at a mild rate, which facilitated the formation of MoS2. The ball-milled particles ploughed the MoS2 layer severely, which reduced the friction reduction and antiwear performance. Although the ploughing effect of synthetic kaolin was relatively low, the poor tribological performance reduced the friction reduction and antiwear performance when mixed with MoDTC.

5. Conclusions

Synthetic nanoparticles have a rounded shape and uniform particle size, which shows no sharp edges and little ploughing effect on the friction surface. When mixed with MoDTC, all the nanoparticles obtained a lower friction coefficient than the lubricant without MoDTC. The addition of MoDTC also reduced the wear scar width of the lubricant containing nanoparticles. The synthetic serpentine shows a synergistic lubricating effect with MoDTC, which further reduced the friction coefficient, especially in high friction temperatures.
Compared with “BD + MoDTC”, the addition of nanoparticles influenced the production of MoS2. The MoS2 peak on the friction surface lubricated by “BD + synthetic serpentine + MoDTC” was the most obvious, which is much higher than the ”BD + MoDTC”. This indicated that more MoS2 was generated, which further reduced the friction coefficient and wear of the “BD + synthetic serpentine + MoDTC”. While the MoS2 peak of the “BD + ball-milled kaolin + MoDTC” was the lowest, it made the friction coefficient very high.
Synthetic serpentine and synthetic kaolinite nanoparticles produced aggregated particles on the friction surface, while the protrusions found on surfaces lubricated by ball-milled serpentine and ball-milled kaolin were the debris from friction. The ball-milled particles exhibit more grinding and scraping effects due to their nonuniform size and sharp edges. This shows that the synthetic nanoparticles have a better antiwear performance than the ball-milled nanoparticles. Among the test nanoparticles, the synthetic serpentine shows the best antiwear and friction reduction performance when compounded with MoDTC.

Author Contributions

Methodology, W.W. and M.Y.; Investigation, W.W. and J.M.; Resources, Y.J.; Writing—original draft, M.Y.; Writing—review & editing, J.M.; Visualization, J.M.; Supervision, M.Y. and Y.J.; Project administration, W.W.; Funding acquisition, Y.J. All authors have read and agreed to the published version of the manuscript.

Funding

This research received no external funding.

Data Availability Statement

Data is contained within the article.

Conflicts of Interest

The authors declare no conflict of interest.

References

  1. Yin, Y.L.; Yu, H.L.; Wang, H.M.; Song, Z.Y.; Zhang, Z.; Ji, X.C.; Cui, T.H.; Wei, M.; Zhang, W. Friction and wear behaviors of steel/ bronze tribopairs lubricated by oil with serpentine natural mineral additive. Wear 2020, 456, 203387. [Google Scholar] [CrossRef]
  2. Zhang, J.; Tian, B.; Wang, C.B. Long-term surface restoration effect introduced by advanced silicate based lubricant additive. Tribol. Int. 2013, 57, 31–37. [Google Scholar] [CrossRef]
  3. Albagachiev, Y.; Buyanovskii, I.A.; Dunaev, A.V.; Gvozdev, A.A.; Samusenko, V.D. Serpentines as additives to oils: Efficiency and mechanism of lubrication. J. Mach. Manuf. Reliab. 2021, 50, 459–468. [Google Scholar] [CrossRef]
  4. Zhang, Y.; Yan, Z.J.; Yan, Z.Y.; Han, Y. Comparison of tribological properties of natural serpentine and synthetic chrysotile as additives in lubricating oil. Lubr. Eng. 2018, 43, 40–44. [Google Scholar]
  5. Wang, B.; Zhong, Z.; Qiu, H.; Chen, D.; Li, W.; Li, S.; Tu, X. Nano serpentine powders as lubricant additive: Tribological behaviors and self-repairing performance on worn surface. Nanomaterials 2020, 10, 922. [Google Scholar] [CrossRef] [PubMed]
  6. Qin, Y.; Wang, L.; Yang, G.; Yang, Y.; Wu, M. Characterisation of self-repairing layer formed by oleic acid modified magnesium silicate hydroxide. Lubr. Sci. 2021, 33, 113–122. [Google Scholar] [CrossRef]
  7. Tsiganov, A.; Krivonogova, A.; Nikityuk, T.; Smirnova, O.; Gorokhovsky, A. Synthesis, structure and tribological properties of nanocomposite materials in the system of potassium polytitanate-layered double hydroxide-serpentinite. IOP Conf. Ser. Mater. Sci. Eng. 2019, 560, 012191. [Google Scholar] [CrossRef]
  8. Jia, Z.N.; Yang, Y.Y.; Qi, X.W.; Song, X.M. Influence of nano-serpentine mineral powder as a lubricating additive on the high-temperature tribological properties of metal friction pairs. Bulg. Chem. Commun. 2017, 49, 948–954. [Google Scholar]
  9. Wu, J.; Wang, X.; Zhou, L.; Wei, X.; Wang, W. Formation factors of the surface layer generated from serpentine as lubricant additive and composite reinforcement. Tribol. Lett. 2017, 65, 93. [Google Scholar] [CrossRef]
  10. Yang, Y.; Ma, J.; Qi, X.; Meng, X. Fabrication of nano serpentine-potassium acetate intercalation compound and its effect as additive on tribological properties of the fabric self-lubricating liner. Wear 2014, 318, 202–211. [Google Scholar] [CrossRef]
  11. Qi, X.; Jia, Z.; Yang, Y.; Fan, B. Characterization and auto-restoration mechanism of nanoscale serpentine powder as lubricating oil additive under high temperature. Tribol. Int. 2011, 44, 805–810. [Google Scholar] [CrossRef]
  12. Xi, Z.; Sun, J.; Chen, L.; Cui, H.; Ma, Y.; Zhou, H.; Chen, J. Influence of natural serpentine on tribological performance of phosphate bonded solid coatings. Tribol. Lett. 2022, 70, 42. [Google Scholar] [CrossRef]
  13. Xue, B.; Jing, P.X.; Ma, W.D. Tribological properties of NiAl matrix composites filled with serpentine powders. J. Mater. Eng. Perform. 2017, 26, 5816–5824. [Google Scholar] [CrossRef]
  14. Qin, Y.; Yang, Y.; Yang, Y.; Wu, M.; Yang, G. Formation mechanism of wear-resistant composite film by Span 80-decorated halloysite nanotubes. Ceram. Int. 2022, 48, 23897–23907. [Google Scholar] [CrossRef]
  15. Rao, X.; Sheng, C.; Guo, Z.; Zhang, X.; Yin, H.; Xu, C.; Yuan, C. Anti-friction and self-repairing abilities of ultrafine serpentine, attapulgite and kaolin in oil for the cylinder liner-piston ring tribo-systems. Lubr. Sci. 2022, 34, 210–223. [Google Scholar] [CrossRef]
  16. Wang, Y.L.; Zhang, Z.Z.; Liu, M.; He, Y.H.; Li, P.L.; Yuan, J.Y.; Yang, M.M. Effects of rod-like attapulgite and lamellar kaolin reinforcement on the tribological behavior of PBO textile-resin composite liner. Tribol. Int. 2022, 174, 107689. [Google Scholar] [CrossRef]
  17. Zhang, B.; Xu, Y.; Gao, F.; Shi, P.; Xu, B.; Wu, Y. Sliding friction and wear behaviors of surface-coated natural serpentine mineral powders as lubricant additive. Appl. Surf. Sci. 2011, 257, 2540–2549. [Google Scholar] [CrossRef]
  18. Zhao, F.; Kasrai, M.; Sham, T.K.; Bai, Z. Characterization of tribofilms generated from serpentine and commercial oil using X-ray absorption spectroscopy. Tribol. Lett. 2013, 50, 287–297. [Google Scholar] [CrossRef]
  19. Zhao, F.; Bai, Z.; Fu, Y.; Zhao, D.; Yan, C. Tribological properties of serpentine, La(OH)3 and their composite particles as lubricant additives. Wear 2012, 288, 72–77. [Google Scholar] [CrossRef]
  20. Xiao, Z.; Su, X.J.; Hou, G.L.; Ma, H.L.; Qiao, J. Influence of load and revolving speed on the self-repairing property of serpentine powders by hydrothermal method. Bull. Chin. Ceram. Soc. 2012, 31, 771–774. [Google Scholar]
  21. Gao, K.; Chang, Q.; Wang, B.; Zhou, N.; Qing, T. The tribological performances of modified magnesium silicate hydroxide as lubricant additive. Tribol. Int. 2018, 121, 64–70. [Google Scholar] [CrossRef]
  22. Wang, B.; Chang, Q.Y.; Gao, K.; Fang, H.R.; Qing, T.; Zhou, N.N. The synthesis of magnesium silicate hydroxide with different morphologies and the comparison of their tribological properties. Tribol. Int. 2018, 119, 672–679. [Google Scholar] [CrossRef]
  23. Zhao, F.; Bai, Z.; Zhao, D.; Yan, C. Synthesis and tribological properties of serpentine/La composite powders. J. Chin. Ceram. Soc. 2012, 40, 126–130. [Google Scholar]
  24. Qi, X.; Lu, L.; Jia, Z.; Yang, Y.; Liu, H. Comparative tribological properties of magnesium hexasilicate and serpentine powder as lubricating oil additives under high temperature. Tribol. Int. 2012, 49, 53–57. [Google Scholar] [CrossRef]
  25. Wang, W.; Duan, R.; Jiang, Z.; Zhu, C.; Chang, K.; Ma, J.; Gao, J. Study of synergistic lubricating performance of serpentine powder and diesel engine anti-wear and friction reduction additives. Lubr. Eng. 2021, 46, 86–91. [Google Scholar]
  26. Rudnick, L.R. Lubricant Additives: Chemistry and Applications, 1st ed.; CRC Press: Boca Raton, FL, USA, 2009; pp. 56–57. [Google Scholar]
  27. Wang, W.; Liu, Z.; Song, Q.; Zhang, X.; Jiao, S.; Xu, Y.; Xu, Q.; Sheng, D. Tribological performance of organic molybdenum in the presence of organic friction modifier. PLoS ONE 2021, 16, e0252203. [Google Scholar] [CrossRef] [PubMed]
  28. NIST X-ray Photoelectron Spectroscopy Database. Available online: https://srdata.nist.gov/xps/ (accessed on 20 July 2022).
  29. Xin, F.; Xia, Y.; Sasaki, S.; Murakami, T. Tribological properties of grey cast iron lubricated using organic compounds containing Mo and ZnDTP additives. Lubr. Sci. 2012, 24, 153–164. [Google Scholar]
  30. Wang, W.; Li, C.; Yang, J.; Shen, Y.; Xu, J. Friction performance of MoDTP and ester-containing lubricants between CKS piston ring and cast iron cylinder liner. Lubr. Sci. 2018, 30, 33–43. [Google Scholar] [CrossRef]
Figure 1. Electron micrographs of nanoparticles.
Figure 1. Electron micrographs of nanoparticles.
Lubricants 11 00132 g001
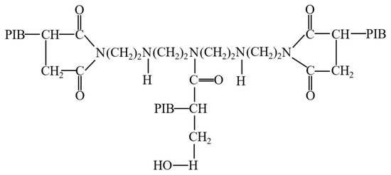
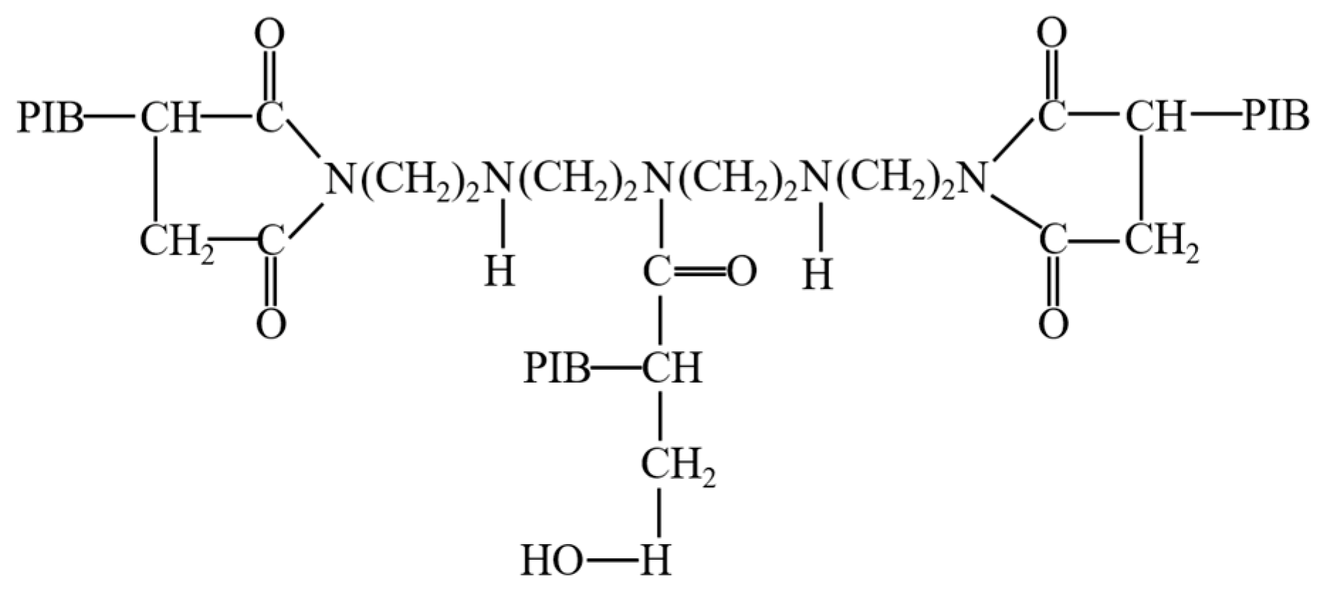
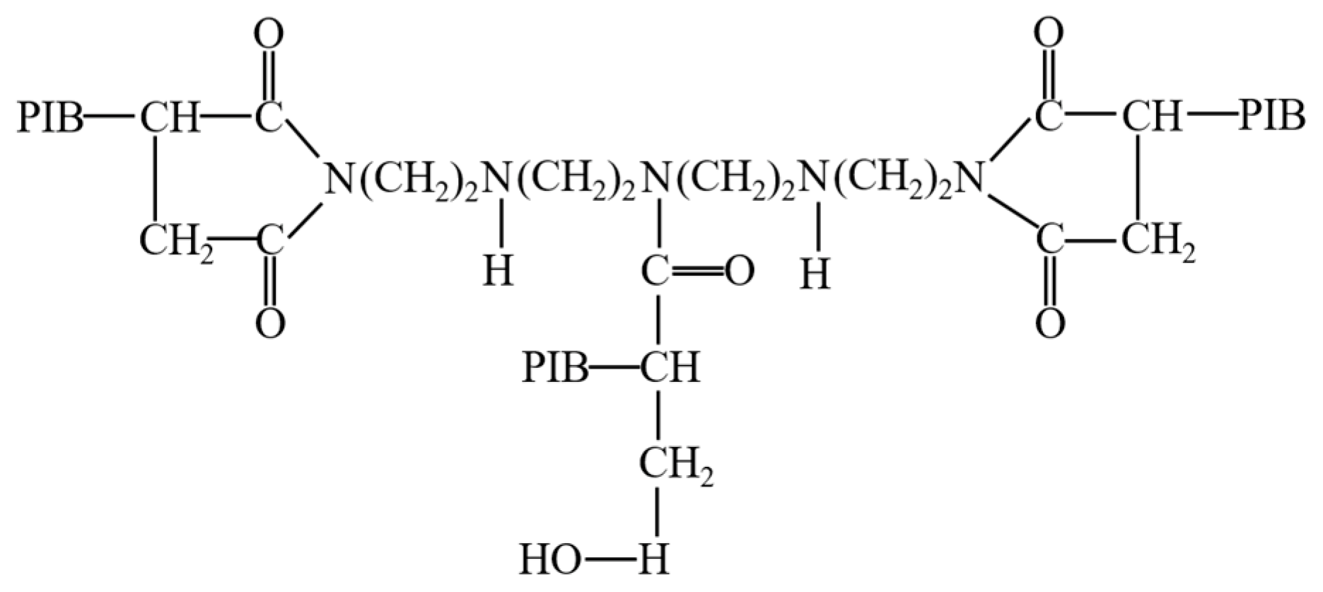
Figure 2. Molecular structure of dispersing agent 155.
Figure 2. Molecular structure of dispersing agent 155.
Lubricants 11 00132 g002
Figure 3. The dispersion stability of nanoparticles.
Figure 3. The dispersion stability of nanoparticles.
Lubricants 11 00132 g003
Figure 4. Ring block friction and wear test rig.
Figure 4. Ring block friction and wear test rig.
Lubricants 11 00132 g004
Figure 5. The EDS of bearing steel.
Figure 5. The EDS of bearing steel.
Lubricants 11 00132 g005
Figure 6. Friction coefficient of different lubricants. (a) the lubricants of base oil, BD, BD + MoDTC and BD + nanoparticles, (b) the lubricants containing both nanoparticles and MoDTC.
Figure 6. Friction coefficient of different lubricants. (a) the lubricants of base oil, BD, BD + MoDTC and BD + nanoparticles, (b) the lubricants containing both nanoparticles and MoDTC.
Lubricants 11 00132 g006
Figure 7. Wear scar width of different lubricant formulations.
Figure 7. Wear scar width of different lubricant formulations.
Lubricants 11 00132 g007
Figure 8. Surface morphology lubricated with different lubricant containing nanoparticles.
Figure 8. Surface morphology lubricated with different lubricant containing nanoparticles.
Lubricants 11 00132 g008
Figure 9. Friction Surface morphology and protrusion under SEM.
Figure 9. Friction Surface morphology and protrusion under SEM.
Lubricants 11 00132 g009
Figure 10. Energy spectrum of protrusions on friction surfaces.
Figure 10. Energy spectrum of protrusions on friction surfaces.
Lubricants 11 00132 g010
Figure 11. XPS of Mo3d on friction surfaces.
Figure 11. XPS of Mo3d on friction surfaces.
Lubricants 11 00132 g011
Table 1. The composition of lubricant samples (wt.%).
Table 1. The composition of lubricant samples (wt.%).
Lubricant FormulationsBase OilMoDTCSynthetic SerpentineBall-Milled SerpentineSynthetic KaolinBall-Milled KaolinDispersant
Base oil100------
Base oil + dispersion (BD)98-----2
BD + Synthetic serpentine97.9-0.1---2
BD + Ball-milled serpentine97.9--0.1--2
BD + Synthetic kaolin97.9---0.1-2
BD + Ball-milled kaolin97.9----0.12
BD + Synthetic serpentine + MoDTC97.40.50.1---2
BD + Ball-milled serpentine + MoDTC97.40.5-0.1--2
BD + Synthetic kaolin + MoDTC97.40.5--0.1-2
BD + Ball-milled kaolin + MoDTC97.40.5---0.12
Disclaimer/Publisher’s Note: The statements, opinions and data contained in all publications are solely those of the individual author(s) and contributor(s) and not of MDPI and/or the editor(s). MDPI and/or the editor(s) disclaim responsibility for any injury to people or property resulting from any ideas, methods, instructions or products referred to in the content.

Share and Cite

MDPI and ACS Style

Wang, W.; Yu, M.; Ma, J.; Jia, Y. Tribological Properties of Nanoparticles in the Presence of MoDTC. Lubricants 2023, 11, 132. https://doi.org/10.3390/lubricants11030132

AMA Style

Wang W, Yu M, Ma J, Jia Y. Tribological Properties of Nanoparticles in the Presence of MoDTC. Lubricants. 2023; 11(3):132. https://doi.org/10.3390/lubricants11030132

Chicago/Turabian Style

Wang, Weiwei, Miao Yu, Jiandong Ma, and Yuanming Jia. 2023. "Tribological Properties of Nanoparticles in the Presence of MoDTC" Lubricants 11, no. 3: 132. https://doi.org/10.3390/lubricants11030132

APA Style

Wang, W., Yu, M., Ma, J., & Jia, Y. (2023). Tribological Properties of Nanoparticles in the Presence of MoDTC. Lubricants, 11(3), 132. https://doi.org/10.3390/lubricants11030132

Note that from the first issue of 2016, this journal uses article numbers instead of page numbers. See further details here.

Article Metrics

Back to TopTop