Lubrication Performance of Misaligned Journal Bearings with Flexible Structure under Shock Load Conditions
Abstract
1. Introduction
2. Numerical Model and Method
- ▪
- Boundary condition for the oil film fracture zone: .
- ▪
- Pressure in the cavitation region:
- ▪
- Pressure at the bearing ends and oil feeding groove .
- ▪
- Displacement at the inner end of the flexible structure: .
- ▪
- Boundary condition for the oil film fracture zone: .
- ▪
- Pressure in the cavitation region:
- ▪
- Pressure at the oil feeding groove and the bearing ends:
- ▪
- Deformation at the inner end of the flexible structure: .
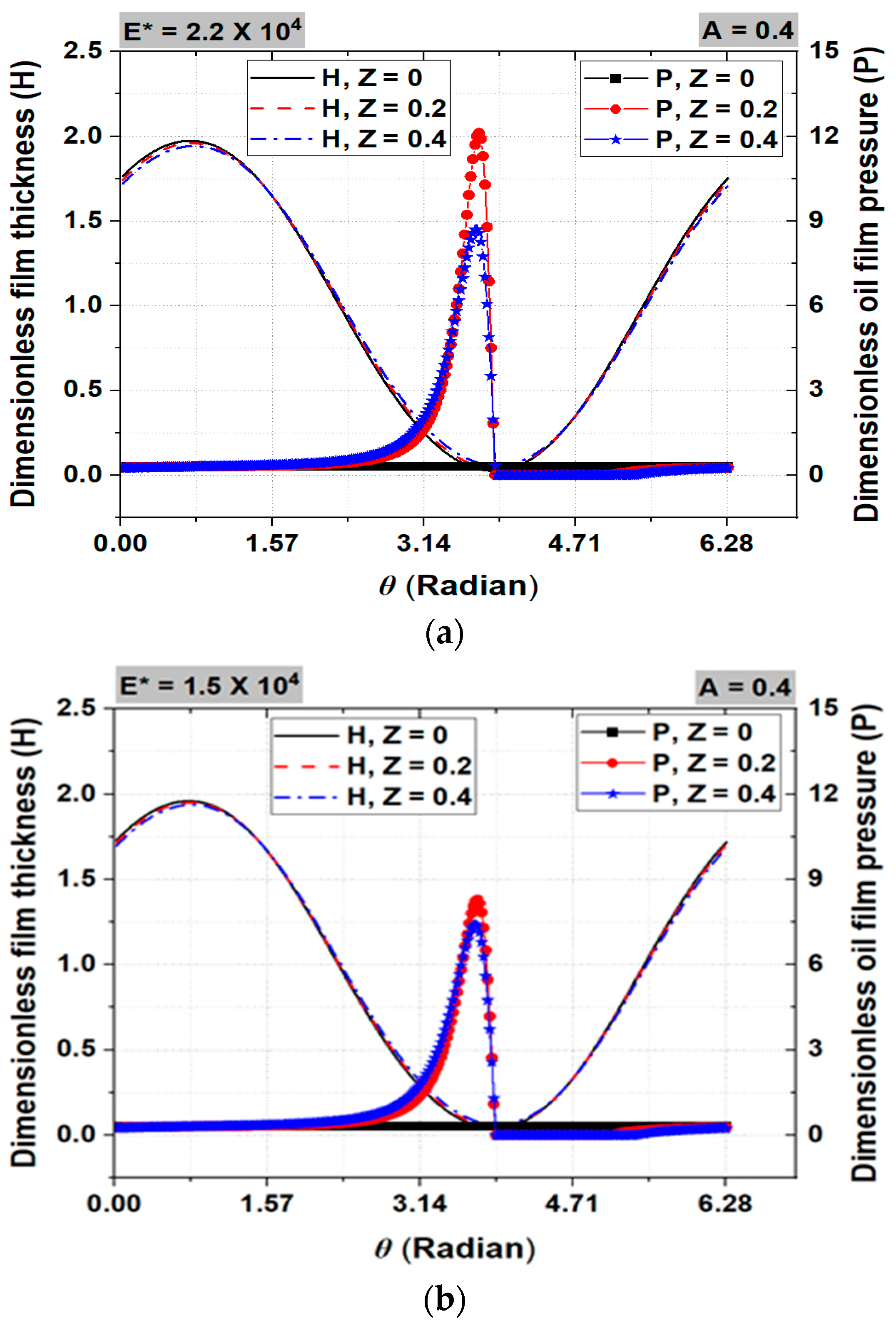
3. Numerical Results and Discussion
4. Conclusions
Author Contributions
Funding
Data Availability Statement
Acknowledgments
Conflicts of Interest
Nomenclature
| A | Dimensionless thickness of the flexible structure (=a/r) |
| E | Modulus of elasticity (GPa) |
| E* | Dimensionless modulus of elasticity (=c2E/(6r2ηω)) |
| F | Dimensionless force (=c2f/(6r4ηω)) |
| FO | Dimensionless oil film force (=c2fo/(6r4ηω)) |
| FX | Dimensionless force in the X direction |
| FY | Dimensionless force in the Y direction |
| FZ | Dimensionless force in the Z direction |
| FOX | Dimensionless oil film force in the X direction |
| FOY | Dimensionless oil film force in the Y direction |
| H | Dimensionless oil film thickness (=h/c) |
| He | Dimensionless oil film thickness variation by elastic deformation (=he/c) |
| Hm | Dimensionless minimum film thickness (=hm/c) |
| L | Ratio of length to radius of the bearing (=l/r) |
| Lf | Dimensionless length of the flexible structure (=lf/l) |
| O | Center of the shaft at the middle of the bearing |
| O1, O2 | Center of the shaft at both ends of the bearing |
| P | Dimensionless oil film pressure (=c2(p − pa)/(6r2 ηω)) |
| Pb | Dimensionless pressure at the bearing ends and oil feeding groove (=c2(pb − pa)/(6r2ηω)) |
| T | Dimensionless time (=ωt) |
| T1, T3 | Time interval in which static load acts |
| T2 | Time interval in which static and impact loads acts together |
| U | Dimensionless displacement in the element (=u/r) |
| W | Dimensionless load acting on the shaft (=c2w/(6r4ηω)) |
| X, Y, Z | Dimensionless rectangular coordinate system (X = x/r, Y = y/r, Z = z/r) |
| a | Thickness at the outer end of the flexible structure (mm) |
| c | Clearance (μm) |
| d | Thickness at the inner end of the flexible structure (mm) |
| e | Tilting amount of the shaft (μm) |
| e′ | Tilting amount of the shaft (μm) |
| f | Force (N) |
| fo | Oil film force (N) |
| fx | Force in the x direction (N) |
| fy | Force in the y direction (N) |
| fz | Force in the z direction (N) |
| fox | Oil film force in the x direction (N) |
| foy | Oil film force in the y direction (N) |
| h | Film thickness (μm) |
| he | Change in film thickness due to elastic deformation (μm) |
| hm | Minimum film thickness (μm) |
| l | Length of the bearing (mm) |
| lf | Length of the flexible structure (mm) |
| p | Oil film pressure (MPa) |
| pa | Atmospheric pressure (MPa) |
| pb | Pressure at bearing ends and oil feeding groove (MPa) |
| r | Radius of the bearing (mm) |
| t | Time (seconds) |
| u | Displacement in the element (mm) |
| w | Load acting on the shaft (N) |
| x, y, z | Rectangular coordinate system (mm) |
| β | Ratio of clearance to bearing radius (=c/r) |
| ε | Eccentricity ratio (=e/c) |
| ε′ | Tilting ratio (=e′/c) |
| γ | Ratio of thickness at both ends of the flexible structure (=d/a) |
| η | Absolute viscosity of the lubricant (Pa∙s) |
| ν | Poisson’s ratio |
| θ | Cylindrical coordinate (rad) |
| θw | Direction of the load in the cylindrical coordinate system (rad) |
| ω | Angular velocity (rad/s) |
References
- Zakharov, S.M. Hydodynamic lubrication research: Current situation and future prospects. J. Frict. Wear 2010, 31, 56–67. [Google Scholar] [CrossRef]
- Huang, Q.; Yan, X. Impact factors on lubricant performance of stern bearing with misaligned angle induced by transverse vibration of shaft. Ocean Eng. 2020, 216, 108051. [Google Scholar] [CrossRef]
- Cabrera, D.L.; Wolley, N.H.; Allanson, D.R.; Tridimas, Y.D. Film pressure distribution in water-lubricated rubber journal bearing. IMechE 2005, 219, 125–132. [Google Scholar] [CrossRef]
- Wang, N.; Meng, Q.; Wang, P.; Geng, T.; Yuan, X. Experimental research on film pressure distribution of water-lubricated rubber bearing with multiaxial grooves. J. Fluids Eng. 2013, 135, 084501. [Google Scholar] [CrossRef]
- Zhang, Z.S.; Dai, X.D.; Zhang, Z.N.; Xie, Y.B. Thermoelastohydrodynamic behavior of misaligned plain journal bearings. Proc. Inst. Mech. Eng. Part C J. Mech. Eng. Sci. 2013, 227, 2582–2599. [Google Scholar] [CrossRef]
- Zheng, L.; Zhu, H.; Zhu, J.; Deng, Y. Effects of oil film thickness and viscosity on the performance of misaligned journal bearings with couple stress lubricants. Tribol. Int. 2020, 146, 106229. [Google Scholar] [CrossRef]
- Das, S.; Guha, S.K.; Chattopadhyay, A.K. On the steady-state performance of misaligned hydrodynamic journal bearings lubricated with micropolar fluids. Tribol. Int. 2002, 35, 201–210. [Google Scholar] [CrossRef]
- Liang, P.; Li, X.; Guo, F.; Cao, Y.; Zhang, X.; Jiang, F. Influence of sea wave shock on transient start-up performance of water-lubricated bearing. Tribol. Int. 2022, 167, 107332. [Google Scholar] [CrossRef]
- Wang, C.; Zhang, C.; Gu, L.; Bi, M.; Hou, P.; Zheng, D.; Wang, L. Analysis on surface damage of M50 steel at impact-sliding contacts. Tribol. Int. 2020, 150, 106384. [Google Scholar] [CrossRef]
- Wang, C.; Zang, C.; Bao, M.; Gu, L.; Wang, L.; Wei, X.; Li, W. Scratch damage on guiding surfaces of high-speed bearings under oil cut-off condition. Eng. Fail. Anal. 2022, 140, 106624. [Google Scholar] [CrossRef]
- Xiang, G.; Han, Y.; Wang, J.; Xiao, K.; Li, J. A transient hydrodynamic lubrication comparative analysis for misaligned micro-grooved bearing considering axial reciprocating movement of shaft. Tribol. Int. 2019, 132, 11–23. [Google Scholar] [CrossRef]
- Wang, Y.; Shi, X.; Zhang, I. Experimental and numerical study on water-lubricated rubber bearings. Ind. Lubric. Tribol. 2014, 66, 282–288. [Google Scholar] [CrossRef]
- Murawski, L. Shaft line alignment analysis taking ship construction flexibility and deformations into consideration. Mar. Struct. 2005, 18, 62–84. [Google Scholar] [CrossRef]
- Bouyer, J.; Fillon, M. An experimental analysis of misalignment effects on hydrohynamic plain journal bearing performances. J. Tribol. 2002, 124, 313–319. [Google Scholar] [CrossRef]
- Sun, J.; Changlin, G. Hydrodyamic lubrication analysis of journal bearing considering misalignment caused by shaft deformation. Tribol. Int. 2004, 37, 841–848. [Google Scholar] [CrossRef]
- Sun, J.; Gui, C.; Li, Z.; Li, Z. Influence of journal misalignment caused by shaft deformation under rotational load on performance of journal bearing. Proc. Inst. Mech. Eng. Part J J. Eng. 2005, 219, 275–283. [Google Scholar] [CrossRef]
- Sun, J.; Gui, C.; Li, Z. An experimental study of journal bearing lubrication effected by journal misalignment as a result of shaft deformation under load. J. Tribol. 2005, 127, 813–819. [Google Scholar] [CrossRef]
- Li, Q.; Liu, S.I.; Pan, X.H.; Zheng, S.Y. A new method for the studying the 3D transient flow of misaligned journal bearings in flexible rotor-bearing systems. J. Zhejiang Univ. Sci. A 2012, 13, 647–664. [Google Scholar] [CrossRef]
- Pierre, I.; Bouyer, J.; Fillon, M. Thermohydrodynamic behavior of misaligned plain journal bearings: Theoretical and experimental approaches. Tribol. Trans. 2004, 47, 594–604. [Google Scholar] [CrossRef]
- Xu, G.; Zhou, J.; Geng, H.; Lu, M.; Yang, I.; Yu, L. Research on the static and dynamic characteristics of misaligned journal bearing considering the turbulent and thermohydrodynamic effects. J. Tribol. 2015, 137, 024504. [Google Scholar] [CrossRef]
- Li, B.; Sun, J.; Zhu, S.; Fu, Y.; Zhao, X.; Wang, H.; Teng, Q.; Ren, Y.; Li, Y.; Zhu, G. Thermohydrodynamic lubrication analysis of misaligned journal bearing considering the axial movement of journal. Tribol. Int. 2019, 135, 397–407. [Google Scholar] [CrossRef]
- Nikolakopoulos, P.G.; Papadopoulos, C.; Kaiktsis, I. Elastohydrodynamic analysis and Pareto optimization of intact, worn and misaligned journal bearings. Meccanica 2011, 46, 577–588. [Google Scholar] [CrossRef]
- Jeon, W.J.; Hong, S.H. A new type of misaligned journal bearing with flexible structure. Lubricants 2023, 11, 256. [Google Scholar] [CrossRef]
- Thomsen, K.; Klit, P. Improvement of journal bearing operation at heavy misalignment using bearing flexibility and compliant liners. Proc. Inst. Mech. Eng. Part J J. Eng. Tribol. 2012, 226, 651–660. [Google Scholar] [CrossRef]
- Sharma, S.C.; Girish, B.M.; Kamath, R.; Satish, B.M. Graphite particles reinforced ZA-27 alloy composite materials for journal applications. Wear 1998, 219, 162–168. [Google Scholar] [CrossRef]
- Kim, S.S.; Park, D.C.; Lee, D.G. Characteristics of carbon fiber phenolic composite for journal bearing materials. Compos. Struct. 2004, 66, 359–366. [Google Scholar] [CrossRef]
- Bouyer, J.; Fillon, M. Improvement of the THD performance of a misaligned plain journal bearing. J. Tribol. 2003, 125, 334–342. [Google Scholar] [CrossRef]
- Hattori, H. EHL analysis of a journal bearing for rotary compressors under dynamic loading: Effect of flexible structure at bearing end. Trans. Jap. Soc. Mech. Eng. 1998, 64, 3171–3178. [Google Scholar] [CrossRef][Green Version]
- Ito, Y.; Hattori, H.; Miura, K. Mixed lubrication analysis of vane sliding surface in rotary compressor mechanisms. Tribol. Online 2009, 4, 96–102. [Google Scholar] [CrossRef]
- Ikeda, A.; Satodate, K.; Aoki, T.; Miura, K. Development of the rotary compressor which is high performance in the wide range, and has high refrigerating capacity. In Proceedings of the JSRAE Annual Conference, Tokyo, Japan, 12–14 September 2012. [Google Scholar]
- Tao, Y.; Zhao, J.; Feng, S.Z. A reliability assessment model for journal bearing based on natural degradation and random shocks. J. Mech. Sci. Technol. 2020, 34, 4641–4648. [Google Scholar] [CrossRef]
- Lee, J.; Jang, G.; Jung, K. Optimal design of fluid dynamic bearings to develop a robust disk-spindle system in a hard disk drive utilizing model analysis. Microsyst. Technol. 2013, 19, 1495–1504. [Google Scholar] [CrossRef]
- Jang, G.H.; Yoon, J.W. Nonlinear dynamic analysis of a hydrodynamic journal bearing considering the effect of a rotating or stationary herringbone groove. J. Tribol. 2002, 124, 297–304. [Google Scholar] [CrossRef]
- Park, K.Y.; Jang, G.H. Dynamic of a hard disk drive spindle system due to its structural design variables and the design variables of fluid dynamic bearings. IEEE Trans. Magn. 2009, 45, 5135–5140. [Google Scholar] [CrossRef]
- Walton, J.F.; Heshmat, H.; Tomaszewski, M.J. Testing of s small turbocharger/turbojet sized simulator rotor supported on foil bearings. J. Eng. Gas Turbines Power 2004, 130, 67–73. [Google Scholar] [CrossRef]
- Zhang, Q.D.; Shan, X.C. Dynamic characteristics of micro air bearings for microsystems. Microsyst. Technol. 2008, 14, 229–234. [Google Scholar] [CrossRef]
- Ren, T.M.; Feng, M. Anti-shock characterictics of water lubricated bearing for fuel cell vehicle air compressor. Tribol. Int. 2017, 107, 56–64. [Google Scholar] [CrossRef]
- Jamali, H.U.; Sultan, H.S.; Abdullah, O.I.; Al-Tamimi, A.N.J.; Abbud, L.H.; Ruggiero, A.; Al-Dujaili, Z.A. Effect of chamfer form and parameters on the characteristics of finite length journal bearing under impact load. Lubricants 2023, 11, 73. [Google Scholar] [CrossRef]
- Jamali, H.U.; Sultan, H.S.; Abdullah, O.I.; Al-Tamimi, A.N.J.; Abbud, L.H.; Ruggiero, A.; Al-Dujaili, Z.A. Analysis of the performance of chamfered finite-length journal bearings under dynamic loads. Mathematics 2023, 11, 587. [Google Scholar] [CrossRef]
- Pai, R.; Majumdar, B.C. Stability of submerged four-lobe oil journal bearings under dynamic load. Wear 1992, 154, 95–108. [Google Scholar] [CrossRef]
- Strzelecki, S. Operating characteristics of heavy loaded cylindrical journal bearing with variable axial profile. Mater. Res. 2005, 8, 481–486. [Google Scholar] [CrossRef]
- Nacy, S.M. Effect of chamfering on side-leakage flow rate of journal bearings. Wear 1997, 212, 95–102. [Google Scholar] [CrossRef]
- Nicoletti, R. Optimization of journal bearing profile for higher dynamic stability limits. J. Tribol. 2012, 135, 011702. [Google Scholar] [CrossRef]
- Ghosh, M.K.; Satish, M.R. Stability of multillobe hybrid bearing with short sills—Part II. Tribol. Int. 2003, 36, 633–636. [Google Scholar] [CrossRef]
- Jiang, L.; Feng, Q.; Coit, D.W. Modeling zoned shock effects on the stochastic degradation in dependent failure processes. IIE Trans. 2015, 47, 460–470. [Google Scholar] [CrossRef]
- Song, S.I.; Coit, D.W.; Feng, Q.M. Reliability analysis of multi-component series systems subject to hard and soft failures with dependent shock effects. IIE Trans. 2016, 48, 720–735. [Google Scholar] [CrossRef]
- Hong, S.H.; Kim, K.W. A new type groove for hydraulic spool valve. Tribol. Int. 2016, 103, 629–640. [Google Scholar] [CrossRef]
- Oh, K.P.; Huebner, K.H. Solution of the elastohydrodynamic finite journal bearing problem. ASME Lubr. Technol. 1973, 95, 342–351. [Google Scholar] [CrossRef]
- Kalin, M.; Kus, M. New strategy for reducing the EHL friction in steel contacts using additive-formed oleophobic boundary film. Friction 2021, 9, 1346–1360. [Google Scholar] [CrossRef]
- Wang, Y.; Wang, Q.J.; Lin, C. A mixed-EHL analysis of effects of misalignments and elastic deformations on the performance of a coupled journal-thrust bearing system. Tribol. Int. 2006, 39, 281–289. [Google Scholar] [CrossRef]
- Cai, J.; Xiang, G.; Li, S.; Guo, J.; Wang, J.; Chen, S.; Yang, T. Mathematical modeling for nonlinear dynamic mixed friction behaviorsof novel coupled bearing lubricated with low viscosity fluid. Phys. Fluids 2022, 34, 093612. [Google Scholar] [CrossRef]
- Zhou, Y.; Wang, Y.; Zhao, J. Influence on journal bearing considering wall-slip in EHL. IOP Conf. Ser. Mater. 2018, 394, 042042. [Google Scholar] [CrossRef]
- Xiang, G.; Yang, T.; Guo, J.; Wang, J.; Liu, B.; Chen, S. Optimization transient wear and contact performances of water-lubricated bearings under fluid-solid-thermal coupling condition using profile modification. Wear 2022, 502–503, 204379. [Google Scholar] [CrossRef]


















| Parameter | Value | Parameter | Value |
|---|---|---|---|
| A | 0.2, 0.4, 0.6, 0.8 | W | Wmax = 1.5 W, 2 W, 3 W |
| E* | 2.2 × 104, 1.5 × 104 | β | 10−3 |
| L | 3.0 | γ | 1.0 |
| Lf | 1/3 | ε′ | 0.2 |
| Pb | 0.3 |
| Parameter | Value | Parameter | Value |
|---|---|---|---|
| A | 0.4 | W | Wmax = 1.5 W, 2 W, 3 W |
| E* | 2.2 × 104, 1.5 × 104 | β | 10−3 |
| L | 3.0 | γ | 1.0 |
| Lf | 0.3, 0.4, 0.5, 0.6 | ε′ | 0.2 |
| Pb | 0.3 |
| Parameter | Value | Parameter | Value |
|---|---|---|---|
| A | 0.4 | W | Wmax = 1.5 W, 2 W, 3 W |
| E* | 2.2 × 104, 1.5 × 104 | β | 10−3 |
| L | 3.0 | γ | 1.0 |
| Lf | 1/3 | ε′ | 0.05, 0.1, 0.15, 0.2 |
| Pb | 0.3 |
Disclaimer/Publisher’s Note: The statements, opinions and data contained in all publications are solely those of the individual author(s) and contributor(s) and not of MDPI and/or the editor(s). MDPI and/or the editor(s) disclaim responsibility for any injury to people or property resulting from any ideas, methods, instructions or products referred to in the content. |
© 2023 by the authors. Licensee MDPI, Basel, Switzerland. This article is an open access article distributed under the terms and conditions of the Creative Commons Attribution (CC BY) license (https://creativecommons.org/licenses/by/4.0/).
Share and Cite
Hong, S.-H.; Jeon, W.-J. Lubrication Performance of Misaligned Journal Bearings with Flexible Structure under Shock Load Conditions. Lubricants 2023, 11, 500. https://doi.org/10.3390/lubricants11120500
Hong S-H, Jeon W-J. Lubrication Performance of Misaligned Journal Bearings with Flexible Structure under Shock Load Conditions. Lubricants. 2023; 11(12):500. https://doi.org/10.3390/lubricants11120500
Chicago/Turabian StyleHong, Sung-Ho, and Woo-Ju Jeon. 2023. "Lubrication Performance of Misaligned Journal Bearings with Flexible Structure under Shock Load Conditions" Lubricants 11, no. 12: 500. https://doi.org/10.3390/lubricants11120500
APA StyleHong, S.-H., & Jeon, W.-J. (2023). Lubrication Performance of Misaligned Journal Bearings with Flexible Structure under Shock Load Conditions. Lubricants, 11(12), 500. https://doi.org/10.3390/lubricants11120500

