Electrical Field Strength in Rough Infinite Line Contact Elastohydrodynamic Conjunctions
Abstract
:1. Introduction
2. Methodology
2.1. Contact Geometry and Mechanics
2.2. Hydrodynamics
2.3. Lubricant Physical Properties
2.4. Electrostatics
2.5. Solution Procedure
3. Results
3.1. Smooth Surface EHL and Electrical Field Strength Results
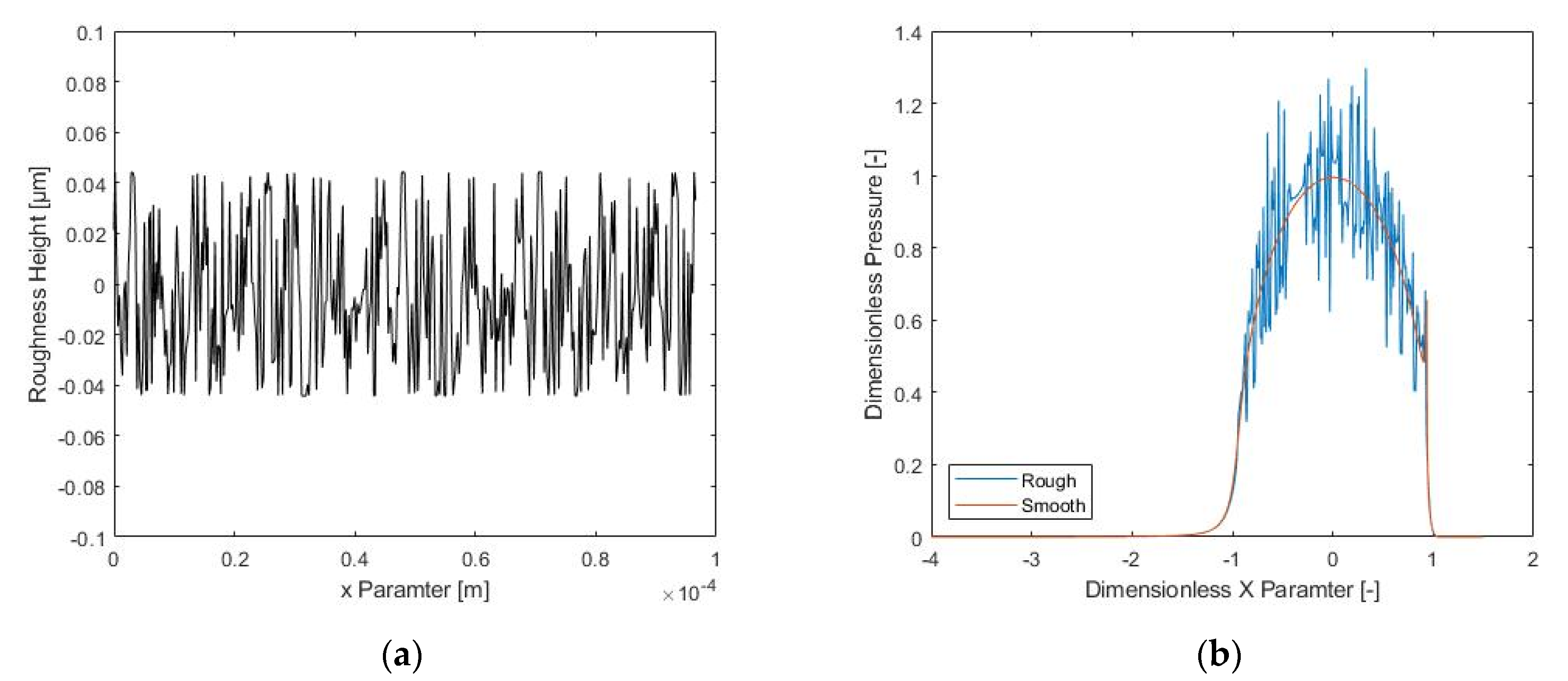
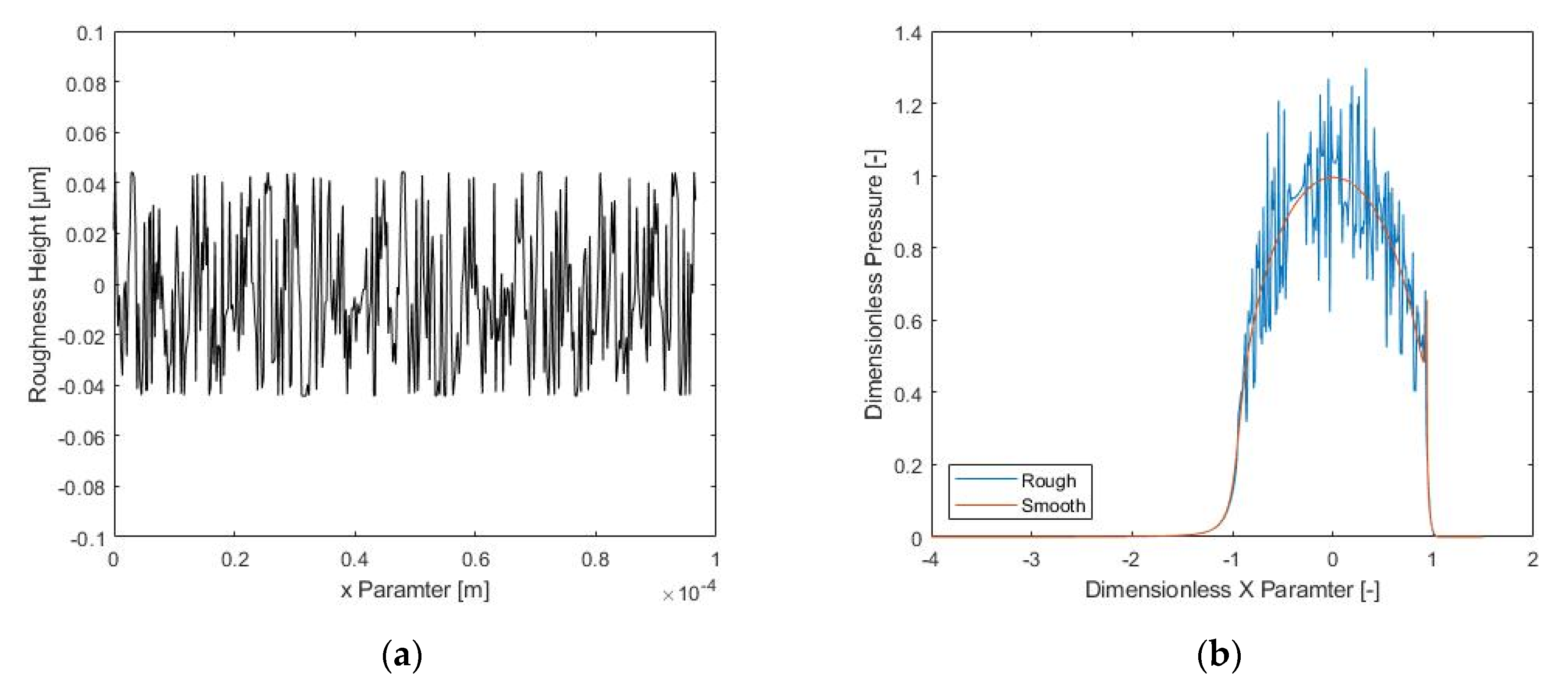
3.2. Rough Surface EHL and Electrical Field Strength Results
4. Conclusions
- For rough, full film, rolling EHL contacts amplitude reduction determines that can still be used to approximate the maximum electric field strength in the contact.
- Dimensionless Moe’s EHL group parameters (M and L) change the width of the high field strength region with implications for current density during arcing events.
- Changes in contact pressure and as result dielectric strength of the lubricant only have a minor effect on the non dimensional electrical field strength in the conjunction.
Author Contributions
Funding
Acknowledgments
Conflicts of Interest
Nomenclature
| Ampere | |
| Coefficients for Electrostatic calculations | |
| Density pressure relation coefficients | |
| Elastic modulus | |
| Dimensionless electric field strength | |
| Composite elastic modulus | |
| Minimum film thickness | |
| Film thickness | |
| Dimensionless film thickness | |
| Integration constant | |
| Grid index for elastohydrodynamic model in x direction | |
| Grid indexing for elastohydrodynamic model in x direction | |
| Grid index for electrostatic model in y direction | |
| Deflection kernel | |
| Grid index for electrostatic model in x direction | |
| Maximum hertzian pressure | |
| Roelands equation constant | |
| pressure | |
| Dimensionless pressure | |
| Local charge | |
| Position vector | |
| Dimensionless surface roughness | |
| sum of surface velocities | |
| Voltage potential | |
| Dielectric strength of fluid | |
| load per unit length | |
| coordinate | |
| Dimensionless coordinate | |
| z | Roelands pressure viscosity parameter |
| Pressure viscosity coefficient | |
| Voltage potential between surface 1 and surface 2 | |
| Reynold’s equation coefficient | |
| Permittivity of free space | |
| Dielectric constant at reference conditions | |
| Dielectric constant | |
| Electrical charge density | |
| dimensionless lubricant density | |
| velocity parameter | |
| viscosity at reference pressure and temperature | |
| Poisson’s ratio | |
| Numerical damping factor | |
| Subscript | |
| 1,2 denotes a property of Surface 1 and surface 2 respectively | |
Appendix A
References
- He, F.; Xie, G.; Luo, J. Electrical bearing failures in electric vehicles. Friction 2020, 8, 4–28. [Google Scholar] [CrossRef] [Green Version]
- Becker, A.; Abanteriba, S. Electric discharge damage in aircraft propulsion bearings. Proc. Inst. Mech. Eng. Part J J. Eng. Tribol. 2013, 228, 104–113. [Google Scholar] [CrossRef]
- Budinski, M.K. Failure analysis of a bearing in a helicopter turbine engine due to electrical discharge damage. Case Stud. Eng. Fail. Anal. 2014, 2, 127–137. [Google Scholar] [CrossRef] [Green Version]
- Symonds, N.; Corni, I.; Wood, R.; Wasenczuk, A.; Vincent, D. Observing early stage rail axle bearing damage. Eng. Fail. Anal. 2015, 56, 216–232. [Google Scholar] [CrossRef] [Green Version]
- Zhang, P.; Neti, P.; Salem, S. Electrical Discharge and Its Impact on Drivetrains of Wind Turbines. IEEE Trans. Ind. Appl. 2015, 51, 5352–5357. [Google Scholar] [CrossRef]
- Bialke, W. A discussion of friction anomaly signatures in response to electrical discharge in ball bearings. Aerosp. Mech. Symp. 2018, 44, 55–68. [Google Scholar]
- Prashad, H. Investigations of corrugated pattern on the surfaces of roller bearings operated under the influence of electrical fields. Lubr. Eng. 1988, 44, 710–717. [Google Scholar]
- ISO 15243:2017, Rolling Bearings—Damage and Failures—Terms, Characteristics and Causes, Int. Org. for Standardization, Standard. March 2017. Available online: https://www.iso.org/standard/59619.htmlBSIS15243:2017 (accessed on 2 April 2021).
- Prashad, H. Appearance of craters on track surface of rolling element bearings by spark erosion. Tribol. Int. 2001, 34, 39–47. [Google Scholar] [CrossRef]
- Joshi, A.; Blennow, J. Investigation of the static breakdown voltage of the lubricating film in a mechanical ball bearing. In Proceedings of the Nordic Insulation Symposium (No. 23), Trondheim, Norway, 9–12 June 2013. [Google Scholar]
- Beshev, D. Characterization of Electrical Lubricant Properties for Modelling of Electrical Drive Systems with Rolling Bearings; Forschungsvereinigung Antriebstechnik e.V. (FVA): Frankfurt, Germany, 2018; Available online: https://www.vdmashop.de/FVA/Bearing-World-Journal---Volume-2---December-2017-Print-1552.html (accessed on 20 April 2021).
- Chen, S.; Lipo, T.; Fitzgerald, D. Modeling of motor bearing currents in PWM inverter drives. IEEE Trans. Ind. Appl. 1996, 32, 1365–1370. [Google Scholar] [CrossRef] [Green Version]
- Erdman, J.; Kerkman, R.; Schlegel, D.; Skibinski, G. Effect of PWM inverters on AC motor bearing currents and shaft voltages. IEEE Trans. Ind. Appl. 1996, 32, 250–259. [Google Scholar] [CrossRef]
- Link, P.J. Minimizing electric bearing currents in ASD systems. IEEE Ind. Appl. Mag. 1999, 5, 55–66. [Google Scholar] [CrossRef]
- Benbouzid, M. Bibliography on induction motors faults detection and diagnosis. IEEE Trans. Energy Convers. 1999, 14, 1065–1074. [Google Scholar] [CrossRef]
- Thorsen, O.; Dalva, M. A survey of faults on induction motors in offshore oil industry, petrochemical industry, gas ter-minals, and oil refineries. IEEE Trans. Ind. Appl. 1995, 31, 1186–1196. Available online: http://www.scopus.com/inward/record.url?eid=2-s2.0-0029374064&partnerID=tZOtx3y1 (accessed on 1 December 2021). [CrossRef]
- Wijanarko, W.; Khanmohammadi, H.; Espallargas, N. Ionic Liquid Additives in Water-Based Lubricants for Bearing Steel—Effect of Electrical Conductivity and pH on Surface Chemistry, Friction and Wear. Front. Mech. Eng. 2022, 7, 756929. [Google Scholar] [CrossRef]
- Schneider, V.; Liu, H.-C.; Bader, N.; Furtmann, A.; Poll, G. Empirical formulae for the influence of real film thickness distribution on the capacitance of an EHL point contact and application to rolling bearings. Tribol. Int. 2021, 154, 106714. [Google Scholar] [CrossRef]
- Petrusevich, A.I. Fundamental conclusions from the contact-hydrodynamic theory of lubrication. Izv. Akad. Nauk. SSSR OTN 1951, 2, 209–223. [Google Scholar]
- Archard, J.F.; Kirk, M.T. Lubrication at point contacts. Proc. R. Soc. Lond. A 1961, 261, 532–550. [Google Scholar]
- Crook, A.W. The lubrication of rollers II. Film thickness with relation to viscosity and speed. Philos. Trans. R. Soc. Lond. Ser. A Math. Phys. Sci. 1961, 254, 223–236. [Google Scholar]
- Sunahara, K.; Ishida, Y.; Yamashita, S.; Yamamoto, M.; Nishikawa, H.; Matsuda, K.; Kaneta, M. Preliminary Measurements of Electrical Micropitting in Grease-Lubricated Point Contacts. Tribol. Trans. 2011, 54, 730–735. [Google Scholar] [CrossRef]
- Gohar, R.; Cameron, A. Optical Measurement of Oil Film Thickness under Elasto-hydrodynamic Lubrication. Nature 1963, 200, 458–459. [Google Scholar] [CrossRef]
- Johns-Rahnejat, P.M.; Gohar, R. Measuring contact pressure distributions under elastohydrodynamic point contacts. Tribotest 1994, 1, 33–53. [Google Scholar] [CrossRef]
- Safa, M.M.A.; Gohar, R. Pressure Distribution Under a Ball Impacting a Thin Lubricant Layer. J. Tribol. 1986, 108, 372–376. [Google Scholar] [CrossRef]
- Venner, C.H.; Napel, W.E.T. Surface Roughness Effects in an EHL Line Contact. J. Tribol. 1992, 114, 616–622. [Google Scholar] [CrossRef]
- Morales-Espejel, G.E.; Quiñonez, A.F. On the complementary function amplitude for film thickness in Mi-cro-EHL. Tribol. Int. 2019, 131, 631–636. [Google Scholar] [CrossRef]
- Gonda, A.; Capan, R.; Bechev, D.; Sauer, B. The Influence of Lubricant Conductivity on Bearing Currents in the Case of Rolling Bearing Greases. Lubricants 2019, 7, 108. [Google Scholar] [CrossRef] [Green Version]
- Tallian, T.E. On Competing Failure Modes in Rolling Contact. ASLE Trans. 1967, 10, 418–439. [Google Scholar] [CrossRef]
- Busse, D.F.; Erdman, J.M.; Kerkman, R.J.; Schlegel, D.W.; Skibinski, G.L. The effects of PWM voltage source inverters on the mechanical performance of rolling bearings. IEEE Trans. Ind. Appl. 1997, 33, 567–576. [Google Scholar] [CrossRef]
- Xu, K.; Chu, N.R.; Jackson, R.L. An investigation of the elastic cylindrical line contact equations for plane strain and stress considering friction. Proc. Inst. Mech. Eng. Part J J. Eng. Tribol. 2021. [Google Scholar] [CrossRef]
- Sharma, A.; Jackson, R.L. A Finite Element Study of an Elasto-Plastic Disk or Cylindrical Contact Against a Rigid Flat in Plane Stress with Bilinear Hardening. Tribol. Lett. 2017, 65, 112. [Google Scholar] [CrossRef]
- Venner, C.H. Multilevel Solution of the EHL Line and Point-Contact Problems. Ph.D. Thesis, University of Twente, Enschede, The Netherlands, December 1991. [Google Scholar]
- Lubrecht, A.A.; Breukink, G.A.C.; Moes, H.; Ten Napel, W.E.; Bosma, R. Solving Reynolds’ equation for EHL line contacts by application of a multigrid method. In Proceedings of the Thirteenth Leeds-Lyon Symposium on Tribology, Leeds, UK, 1 October 1987; pp. 175–182. [Google Scholar]
- Moes, H. Discussion on Paper D1 by D. Dowson. Proc. Inst. Mech. Eng. 1966, 180, 244–245. [Google Scholar]
- Moes, H. Communications. In Proceedings of the Symposium on Elastohydrodynamic Lubrication, London, UK, 21–23 September 1965; pp. 244–245. [Google Scholar]
- Dowson, D.; Higginson, G.R. Elasto-Hydrodynamic Lubrication: The Fundamentals of Roller and Gear Lubrication; Pergamon Press: Oxford, UK, 1966. [Google Scholar]
- Roelands, C.J.A. Correlational Aspects of the Viscosity Temperature-Pressure Relationship of Lubricating Oils. Ph.D. Thesis, Technische Hogeschool Delft, Delft, The Netherlands, 1966. [Google Scholar]
- Bair, S. High Pressure Rheology for Quantitative Elastohydrodynamics; Elsevier: Amsterdam, The Netherlands, 2019. [Google Scholar]
- Bair, S. Roelands’ missing data. Proc. Inst. Mech. Eng. Part J J. Eng. Tribol. 2004, 218, 57–60. [Google Scholar] [CrossRef]
- Liu, H.; Zhang, B.; Bader, N.; Poll, G.; Venner, C. Influences of solid and lubricant thermal conductivity on traction in an EHL circular contact. Tribol. Int. 2020, 146, 106059. [Google Scholar] [CrossRef]
- Bondi, A.A. Physical Chemistry of Lubricating Oils; Book Division, Reinhold Publishing Corporation: New York, NY, USA, 1951. [Google Scholar]
- Jackson, J.D. Classical Electrodynamics, 3rd ed.; Wiley: New York, NY, USA, 1999. [Google Scholar]
- Carey, A.A. The Dielectric Constant of Lubrication Oils; Computational Systems Inc.: Knoxville, TN, USA, 1998. [Google Scholar]
- Busse, D.; Erdman, J.; Kerkman, R.; Schlegel, D.; Skibinski, G. Bearing currents and their relationship to PWM drives. IEEE Trans. Power Electron. 1997, 12, 243–252. [Google Scholar] [CrossRef] [Green Version]
- Plazenet, T.; Boileau, T.; Caironi, C.C.; Nahid-Mobarakeh, B. Influencing Parameters on Discharge Bearing Currents in Inverter-Fed Induction Motors. IEEE Trans. Energy Convers. 2021, 36, 940–949. [Google Scholar] [CrossRef]
- McFadden, C.; Hughes, K.; Raser, L.; Newcomb, T. Electrical Conductivity of New and Used Automatic Transmission Fluids. SAE Int. J. Fuels Lubr. 2016, 9, 519–526. [Google Scholar] [CrossRef]
- Zhang, J.-G.; Mei, C.-H.; Wen, X.-M. Dust effects on various lubricated sliding contacts. In Proceedings of the Thirty Fifth Meeting of the IEEE Holm Conference on Electrical Contacts, Chicago, IL, USA, 18–20 September 1989; pp. 35–42. [Google Scholar]
- Sakidu, M.N.O. Numerical Techniques in Electromagnetics, 2nd ed.; CRC Press: Boca Raton, FL, USA, 2001. [Google Scholar]
- Nagel, J.R. Solving the Generalized Poisson Equation Using the Finite-Difference Method (FDM); Lecture Notes; Department of Electrical and Computer Engineering, University of Utah: Salt Lake City, UT, USA, 2011. [Google Scholar]
- Wijnant, Y.H. Contact Dynamics in the Field of Elastohydrodynamic Lubrication; Universiteit Twente: Enschede, The Netherlands, 2003. [Google Scholar]
- Holm, R. Electric Contacts, Theory and Applications, 4th ed.; Springer: Berlin/Heidelberg, Germany, 1967. [Google Scholar]
- Konchits, V.V.; Korotkevich, S.V.; Kim, C.K. Thermal effects and contact conductivity under boundary lubrication. Lubr. Sci. 2000, 12, 145–168. [Google Scholar] [CrossRef]
- Bell, S.; Cookson, T.J.; Cope, S.A.; Epperly, R.A.; Fischer, A.; Schlegel, D.W.; Skibinski, G.L. Experience with variable-frequency drives and motor bearing reliability. IEEE Trans. Ind. Appl. 2001, 37, 1438–1446. [Google Scholar] [CrossRef]
- Questa, H.; Mohammadpour, M.; Theodossiades, S.; Garner, C.; Bewsher, S.; Offner, G. Tribo-dynamic analysis of high-speed roller bearings for electrified vehicle powertrains. Tribol. Int. 2021, 154, 106675. [Google Scholar] [CrossRef]












| Parameter | Value | Units |
|---|---|---|
| Parameter | Value | Units |
|---|---|---|
| −4 to 2 | ||
| 2GPa | Venner & Napel [26] | Current Model | ||||
|---|---|---|---|---|---|---|
| us [ms−1] | M | L | hmin [μm] | hav [μm] | hmin [μm] | hav [μm] |
| 8 | 49.2 | 15.7 | 0.65 | 0.73 | 0.64 | 0.71 |
| 4 | 69.6 | 13.2 | 0.39 | 0.44 | 0.38 | 0.43 |
| 2 | 98.4 | 11.1 | 0.24 | 0.27 | 0.24 | 0.26 |
| 1 | 139.1 | 9.35 | 0.15 | 0.17 | 0.15 | 0.16 |
Publisher’s Note: MDPI stays neutral with regard to jurisdictional claims in published maps and institutional affiliations. |
© 2022 by the authors. Licensee MDPI, Basel, Switzerland. This article is an open access article distributed under the terms and conditions of the Creative Commons Attribution (CC BY) license (https://creativecommons.org/licenses/by/4.0/).
Share and Cite
Morris, S.A.; Leighton, M.; Morris, N.J. Electrical Field Strength in Rough Infinite Line Contact Elastohydrodynamic Conjunctions. Lubricants 2022, 10, 87. https://doi.org/10.3390/lubricants10050087
Morris SA, Leighton M, Morris NJ. Electrical Field Strength in Rough Infinite Line Contact Elastohydrodynamic Conjunctions. Lubricants. 2022; 10(5):87. https://doi.org/10.3390/lubricants10050087
Chicago/Turabian StyleMorris, Samuel A., Michael Leighton, and Nicholas J. Morris. 2022. "Electrical Field Strength in Rough Infinite Line Contact Elastohydrodynamic Conjunctions" Lubricants 10, no. 5: 87. https://doi.org/10.3390/lubricants10050087
APA StyleMorris, S. A., Leighton, M., & Morris, N. J. (2022). Electrical Field Strength in Rough Infinite Line Contact Elastohydrodynamic Conjunctions. Lubricants, 10(5), 87. https://doi.org/10.3390/lubricants10050087

