GW170817: A Short Review of the First Multimessenger Event in Gravitational Astronomy
Abstract
1. Introduction
2. GW170817: The Gravitational Wave Observations
3. GW170817/GRB 170817A/AT 2017gfo/SSS17a: The Early Electromagnetic and Neutrino Follow-Up
3.1. High Energy Observations
3.2. Ultraviolet, Optical, and Infrared Observations
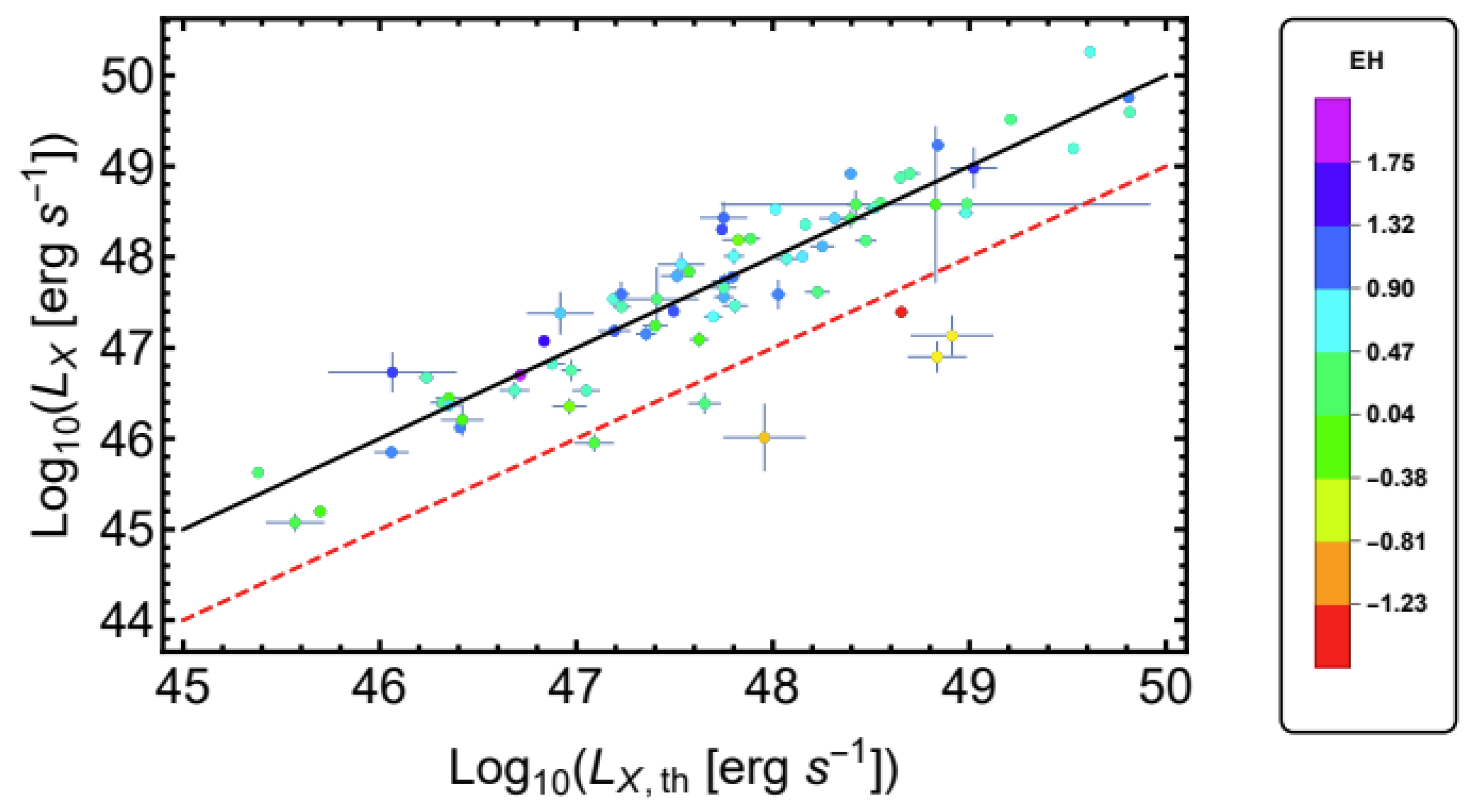
3.3. Radio and X-Ray Observations
3.4. Neutrino Observations
3.5. The Host Galaxy and the Progenitor
4. The Afterglow
5. Impact on Astrophysics and Cosmology
5.1. Neutron Stars Properties
5.2. Cosmology with GW170817/GRB 170817A
5.3. Tests of General Relativity
6. Discussion
7. Conclusions and Future Prospects
- -
- The impact of GW170817 on the EoSs and on the maximum mass of neutron stars has been extensively reviewed by [413,414,415], see also [93,327,416,417,418,419,420,421,422,423,424]. The gravitational observations have also been discussed in combination with X-ray observations by Neutron Star Interior Composition Explorer (NICER) and X-ray Multi-Mirror (XMM-Newton) [425,426,427,428,429,430]. It has been suggested that about 10 joint gravitational and electromagnetic detections can constrain the maximum mass and the characteristic radius to the several percent level [431].
- -
- The first optical detection of AT 2027gfo occurred 10.87 h after the merger [65,75]. Early observations with high cadence can allow exploring the evolution and presence of different components. The relevance of high cadence early optical and ultraviolet observations (in the first hours after the merger) has been discussed by [157], pointing to the possible interpretation of the early blue emission and the decline with different models. The missing constraints on the ultraviolet flux during the first hours after merger are consistent with different cooling mechanisms [157].
- -
- The late afterglow of the event is of great interest, since it can show the presence of excess X-ray radiation. In addition, the sensitivity of present optical and infrared observations does not allow following the related afterglows over long times. The facilities over different electromagnetic bands to monitor the afterglow have been reviewed by [432].
- -
- The merger remnant could be either a black hole or a neutron star, that, when massive, can collapse into a black hole [88,89,433,434,435,436,437,438,439]. The high frequency search for post-merger gravitational emission in GW170817 at short (sub-second) or intermediate (≤500 s) targeting massive neutron stars [90,91] was negative and was consistent with different final scenarios [92]. The nature of the remnant merger produces signatures also in the merger counterpart, involving the properties of the ejecta, the kilonova photometric evolution, and the presence of a jet [21,95,199]. While a hypermassive neutron star collapsing into a black hole within one second is favored compared to the prompt collapse to a black hole [93,94,95,96,97,98,99,100], the direct collapse into a black hole cannot be ruled out, since the expected black hole ringdown is below the sensitivity threshold of present interferometers [90].
- -
- The GW170817 detection has established binary neutron star mergers as sites for r-process and contributors to Galactic nucleosynthesis [188]. The role of binary neutron star mergers will be refined with additional detections. Collapsars have been suggested as a source of r-process elements; although these systems are less common than binary neutron star mergers, the lower rate could be compensated by the larger amount of material ejected per event [440].
- -
- Searches for neutrinos associated with GW170817 were performed by different observatories from MeV to EeV by ANTARES, IceCube, AUGER, SuperKamiokande, Baikal-GVD, LVD, and Baksan [207,208,209,210,211] with a time window of ±500 s around the merger epoch and in the 14 days after the merger: all searches were negative. The observation of long-lasting emission of energetic neutrinos could shed light on the nature of the remnant, either a long-lived remnant or a stable remnant, such a magnetar [212]. In addition to the single events, populations of binary neutron star mergers have been suggested as production sites of high-energy neutrinos contributing to the predicted diffuse neutrino flux, as presented by [441].
Funding
Conflicts of Interest
References
- Aasi, J. et al. [LIGO Scientific Collaboration] Advanced LIGO. Class. Quant. Grav. 2015, 32, 074001. [Google Scholar] [CrossRef]
- Abbott, B.P. et al. [LIGO Scientific and Virgo Collaborations] Observation of Gravitational Waves from a Binary Black Hole Merger. Phys. Rev. Lett. 2016, 116, 061102. [Google Scholar] [CrossRef] [PubMed]
- Abbott, R. et al. [KAGRA and VIRGO and LIGO Scientific Collaborations] GWTC-3: Compact Binary Coalescences Observed by LIGO and Virgo during the Second Part of the Third Observing Run. Phys. Rev. X 2023, 13, 041039. [Google Scholar] [CrossRef]
- Weber, J. Evidence for discovery of gravitational radiation. Phys. Rev. Lett. 1969, 22, 1320–1324. [Google Scholar] [CrossRef]
- Tyson, J.A.; Giffard, R.P. Gravitational wave astronomy. Ann. Rev. Astron. Astrophys. 1978, 16, 521–554. [Google Scholar] [CrossRef]
- Acernese, F.; Agathos, M.; Agatsuma, K.; Aisa, D.; Allemandou, N.; Allocca, A.; Amarni, J.; Astone, P.; Balestri, G.; Ballardin, G.; et al. Advanced Virgo: A second-generation interferometric gravitational wave detector. Class. Quant. Grav. 2015, 32, 024001. [Google Scholar] [CrossRef]
- Abbott, B.P. et al. [LIGO Scientific and Virgo Collaborations] GW170814: A Three-Detector Observation of Gravitational Waves from a Binary Black Hole Coalescence. Phys. Rev. Lett. 2017, 119, 141101. [Google Scholar] [CrossRef]
- Abbott, B.P. et al. [LIGO Scientific and Virgo Collaborations] GW170817: Observation of Gravitational Waves from a Binary Neutron Star Inspiral. Phys. Rev. Lett. 2017, 119, 161101. [Google Scholar] [CrossRef]
- Goldstein, A.; Veres, P.; Burns, E.; Briggs, M.S.; Hamburg, R.; Kocevski, D.; Wilson-Hodge, C.A.; Preece, R.D.; Poolakkil, S.; Roberts, O.J.; et al. An Ordinary Short Gamma-Ray Burst with Extraordinary Implications: Fermi-GBM Detection of GRB 170817A. Astrophys. J. Lett. 2017, 848, L14. [Google Scholar] [CrossRef]
- Savchenko, V.; Ferrigno, G.; Kuulkers, E.; Bazzano, A.; Bozzo, E.; Brandt, S.; Chenevez, J.; Courvoisier, T.J.-L.; Diehl, R.; Domingo, A.; et al. INTEGRAL Detection of the First Prompt Gamma-Ray Signal Coincident with the Gravitational-wave Event GW170817. Astrophys. J. Lett. 2017, 848, L15. [Google Scholar] [CrossRef]
- Abbott, B.P. et al. [LIGO Scientific and Virgo Collaborations] Gravitational Waves and Gamma-rays from a Binary Neutron Star Merger: GW170817 and GRB 170817A. Astrophys. J. Lett. 2017, 848, L13. [Google Scholar] [CrossRef]
- Abbott, B.P. et al. [LIGO Scientific and Virgo and Fermi GBM and INTEGRAL and IceCube and IPN and Insight-Hxmt and ANTARES and Swift and Dark Energy Camera GW-EM and DES and DLT40 and GRAWITA and Fermi-LAT and ATCA and ASKAP and OzGrav and DWF (Deeper Wider Faster Program) and AST3 and CAASTRO and VINROUGE and MASTER and J-GEM and GROWTH and JAGWAR and CaltechNRAO and TTU-NRAO and NuSTAR and Pan-STARRS and KU and Nordic Optical Telescope and ePESSTO and GROND and Texas Tech University and TOROS and BOOTES and MWA and CALET and IKI-GW Follow-up and H.E.S.S. and LOFAR and LWA and HAWC and Pierre Auger and ALMA and Pi of Sky and Chandra Team at McGill University and DFN and ATLAS Telescopes and High Time Resolution Universe Survey and RIMAS and RATIR and SKA South Africa/MeerKAT Collaborations and AstroSat Cadmium Zinc Telluride Imager Team and AGILE Team and 1M2H Team and Las Cumbres Observatory Group and MAXI Team and TZAC Consortium and SALT Group and Euro VLBI Team] Multi-messenger Observations of a Binary Neutron Star Merger. Astrophys. J. Lett. 2017, 848, L12. [Google Scholar] [CrossRef]
- Lattimer, J.M.; Schramm, D.N. Black-hole-neutron-star collisions. Astrophys. J. Lett. 1974, 192, L145. [Google Scholar] [CrossRef]
- Eichler, D.; Livio, M.; Piran, T.; Schramm, D.N. Nucleosynthesis, Neutrino Bursts and Gamma-Rays from Coalescing Neutron Stars. Nature 1989, 340, 126–128. [Google Scholar] [CrossRef]
- Metzger, B.D.; Martinez-Pinedo, G.; Darbha, S.; Quataert, E.; Arcones, A.; Kasen, D.; Thomas, R.; Nugent, P.; Panov, I.V.; Zinner, N.T. Electromagnetic Counterparts of Compact Object Mergers Powered by the Radioactive Decay of R-process Nuclei. Mon. Not. R. Astron. Soc. 2010, 406, 2650. [Google Scholar] [CrossRef]
- Goriely, S.; Bauswein, A.; Janka, H.T. R-Process Nucleosynthesis in Dynamically Ejected Matter of Neutron Star Mergers. Astrophys. J. Lett. 2011, 738, L32. [Google Scholar] [CrossRef]
- Roberts, L.F.; Kasen, D.; Lee, W.H.; Ramirez-Ruiz, E. Electromagnetic Transients Powered by Nuclear Decay in the Tidal Tails of Coalescing Compact Binaries. Astrophys. J. Lett. 2011, 736, L21. [Google Scholar] [CrossRef]
- Symbalisty, E.; Schramm, D.N. Neutron Star Collisions and the r-Process. Astrophys. J. Lett. 1982, 22, 143. [Google Scholar]
- Rosswog, S.; Liebendoerfer, M.; Thielemann, F.K.; Davies, M.B.; Benz, W.; Piran, T. Mass ejection in neutron star mergers. Astron. Astrophys. 1999, 341, 499–526. [Google Scholar]
- Oechslin, R.; Janka, H.T.; Marek, A. Relativistic neutron star merger simulations with non-zero temperature equations of state. 1. Variation of binary parameters and equation of state. Astron. Astrophys. 2007, 467, 395. [Google Scholar] [CrossRef]
- Bauswein, A.; Goriely, S.; Janka, H.T. Systematics of dynamical mass ejection, nucleosynthesis, and radioactively powered electromagnetic signals from neutron-star mergers. Astrophys. J. 2013, 773, 78. [Google Scholar] [CrossRef]
- Hotokezaka, K.; Kiuchi, K.; Kyutoku, K.; Okawa, H.; Sekiguchi, Y.i.; Shibata, M.; Taniguchi, K. Mass ejection from the merger of binary neutron stars. Phys. Rev. D 2013, 87, 024001. [Google Scholar] [CrossRef]
- Sekiguchi, Y.; Kiuchi, K.; Kyutoku, K.; Shibata, M.; Taniguchi, K. Dynamical mass ejection from the merger of asymmetric binary neutron stars: Radiation-hydrodynamics study in general relativity. Phys. Rev. D 2016, 93, 124046. [Google Scholar] [CrossRef]
- Wanajo, S.; Sekiguchi, Y.; Nishimura, N.; Kiuchi, K.; Kyutoku, K.; Shibata, M. Production of all the r-process nuclides in the dynamical ejecta of neutron star mergers. Astrophys. J. Lett. 2014, 789, L39. [Google Scholar] [CrossRef]
- Radice, D.; Perego, A.; Hotokezaka, K.; Fromm, S.A.; Bernuzzi, S.; Roberts, L.F. Binary Neutron Star Mergers: Mass Ejection, Electromagnetic Counterparts and Nucleosynthesis. Astrophys. J. 2018, 869, 130. [Google Scholar] [CrossRef]
- Shibata, M.; Hotokezaka, K. Merger and Mass Ejection of Neutron-Star Binaries. Ann. Rev. Nucl. Part. Sci. 2019, 69, 41–64. [Google Scholar] [CrossRef]
- Radice, D.; Bernuzzi, S.; Perego, A. The Dynamics of Binary Neutron Star Mergers and GW170817. Ann. Rev. Nucl. Part. Sci. 2020, 70, 95–119. [Google Scholar] [CrossRef]
- Narayan, R.; Paczynski, B.; Piran, T. Gamma-ray bursts as the death throes of massive binary stars. Astrophys. J. Lett. 1992, 395, L83–L86. [Google Scholar] [CrossRef]
- Berger, E. Short-Duration Gamma-Ray Bursts. Ann. Rev. Astron. Astrophys. 2014, 52, 43–105. [Google Scholar] [CrossRef]
- Klebesadel, R.W.; Strong, I.B.; Olson, R.A. Observations of Gamma-Ray Bursts of Cosmic Origin. Astrophys. J. Lett. 1973, 182, L85–L88. [Google Scholar] [CrossRef]
- Kouveliotou, C.; Meegan, C.A.; Fishman, G.J.; Bhyat, N.P.; Briggs, M.S.; Koshut, T.M.; Paciesas, W.S.; Pendleton, G.N. Identification of two classes of gamma-ray bursts. Astrophys. J. Lett. 1993, 413, L101–104. [Google Scholar] [CrossRef]
- D’Avanzo, P. Short gamma-ray bursts: A review. J. High Energy Astrophys. 2015, 7, 73–80. [Google Scholar] [CrossRef]
- Dezalay, J.P.; Barat, C.; Talon, R.; Syunyaev, R.; Terekhov, O.; Kuznetsov, A. Short Cosmic Events: A Subset of Classical GRBs? In American Institute of Physics Conference Series; Paciesas, W.S., Fishman, G.J., Eds.; AIP: New York, NY, USA, 1992; Volume 265, p. 304. [Google Scholar]
- Troja, E.; King, A.R.; O’Brien, P.T.; Lyons, N.; Cusumano, G. Different progenitors of short hard gamma-ray bursts. Mon. Not. R. Astron. Soc. 2008, 385, 10. [Google Scholar] [CrossRef]
- Church, R.P.; Levan, A.J.; Davies, M.B.; Tanvir, N. Implications for the origin of short gamma-ray bursts from their observed positions around their host galaxies. Mon. Not. R. Astron. Soc. 2011, 413, 2004. [Google Scholar] [CrossRef]
- Fong, W.; Berger, E.; Chornock, R.; Margutti, R.; Levan, A.J.; Tanvir, N.R.; Tunnicliffe, R.L.; Czekala, I.; Fox, D.B.; Perley, D.A.; et al. Demographics of the Galaxies Hosting Short-duration Gamma-Ray Bursts. Astrophys. J. 2013, 769, 56. [Google Scholar] [CrossRef]
- Fong, W.F.; Berger, E. The Locations of Short Gamma-ray Bursts as Evidence for Compact Object Binary Progenitors. Astrophys. J. 2013, 776, 18. [Google Scholar] [CrossRef]
- Hjorth, J.; Sollerman, J.; Gorosabel, J.; Granot, J.; Klose, S.; Kouveliotou, C.; Melinder, J.; Ramirez-Ruiz, E.; Starling, R.; Thomsen, B.; et al. Constraints on short gamma-ray burst models with optical limits of GRB 050509b. Astrophys. J. Lett. 2005, 630, L117–L120. [Google Scholar] [CrossRef]
- Hjorth, J.; Watson, D.; Fynbo, J.P.U.; Price, P.A.; Jensen, B.L.; Jørgensen, U.G.; Kubas, D.; Gorosabel, J.; Jakobsson, P.; Sollerman, J.; et al. The optical afterglow of the short gamma-ray burst GRB 050709. Nature 2005, 437, 859–861. [Google Scholar] [CrossRef]
- Fox, D.B.; Frail, D.A.; Price, P.A.; Kulkarni, S.R.; Berger, E.; Piran, T.; Soderberg, A.M.; Cenko, S.B.; Cameron, P.B.; Gal-Yam, A.; et al. The afterglow of grb050709 and the nature of the short-hard gamma-ray bursts. Nature 2005, 437, 845–850. [Google Scholar] [CrossRef]
- Bloom, J.S.; Prochaska, J.X.; Pooley, d.; Blake, C.W.; Foley, R.J.; Jha, S.; Ramirez-Ruiz, E.; Granot, J.; Filippenko, A.V.; Sigurdsson, S.; et al. Closing in on a short-hard burst progenitor: Constraints from early-time optical imaging and spectroscopy of a possible host galaxy of GRB 050509b. Astrophys. J. 2006, 638, 354–368. [Google Scholar] [CrossRef]
- Soderberg, A.M.; Berger, E.; Kasliwal, M.; Frail, D.A.; Price, P.A.; Schmidt, B.P.; Kulkarni, S.R.; Fox, D.B.; Cenko, S.B.; Roth, K.C.; et al. The afterglow and host galaxy of the energetic short-hard gamma-ray burst 051221. Astrophys. J. 2006, 650, 261–271. [Google Scholar] [CrossRef]
- D’Avanzo, P.; Malesani, D.; Covino, S.; Piranomonte, S.; Grazian, A.; Fugazza, D.; Margutti, R.; D’Elia, V.; Antonelli, L.A.; Campana, S.; et al. The optical afterglows and host galaxies of three short/hard gamma-ray bursts. AIP Conf. Proc. 2009, 1111, 524–527. [Google Scholar] [CrossRef][Green Version]
- Kocevski, D.; Thone, C.C.; Ramirez-Ruiz, E.; Bloom, J.S.; Granot, J.; Butler, N.R.; Perley, D.A.; Modjaz, M.; Lee, W.H.; Cobb, B.E.; et al. Limits on Radioactive-Powered Emission Associated with a Short-Hard GRB 070724A in a Star-Forming Galaxy. Mon. Not. R. Astron. Soc. 2010, 404, 963. [Google Scholar] [CrossRef]
- Berger, E.; Fong, W.; Chornock, R. An r-process Kilonova Associated with the Short-hard GRB 130603B. Astrophys. J. Lett. 2013, 774, L23. [Google Scholar] [CrossRef]
- Rowlinson, A.; O’Brien, P.T.; Metzger, B.D.; Tanvir, N.R.; Levan, A.J. Signatures of magnetar central engines in short GRB lightcurves. Mon. Not. R. Astron. Soc. 2013, 430, 1061. [Google Scholar] [CrossRef]
- Woosley, S.E. Gamma-ray bursts from stellar mass accretion disks around black holes. Astrophys. J. 1993, 405, 273. [Google Scholar] [CrossRef]
- MacFadyen, A.; Woosley, S.E. Collapsars: Gamma-ray bursts and explosions in ‘failed supernovae’. Astrophys. J. 1999, 524, 262. [Google Scholar] [CrossRef]
- MacFadyen, A.I.; Woosley, S.E.; Heger, A. Supernovae, jets, and collapsars. Astrophys. J. 2001, 550, 410. [Google Scholar] [CrossRef]
- Band, D.; Matteson, J.; Ford, L.; Schaefer, B.; Palmer, D.; Teegarden, B.; Cline, T.; Briggs, M.; Paciesas, W.; Pendleton, G.; et al. BATSE observations of gamma-ray burst spectra. 1. Spectral diversity. Astrophys. J. 1993, 413, 281–292. [Google Scholar] [CrossRef]
- Abdalla, H.; Adam, R.; Aharonian, F.; Ait Benkhali, F.; Angüner, E.O.; Arakawa, M.; Arcaro, C.; Armand, C.; Ashkar, H.; Backes, M.; et al. A very-high-energy component deep in the γ-ray burst afterglow. Nature 2019, 575, 464–467. [Google Scholar] [CrossRef]
- Acciari, V.A.; Ansoldi, S.; Antonelli, L.A.; Arbet Engels, A.; Baack, D.; Babić, A.; Banerjee, B.; Barres de Almeida, U.; Barrio, J.A.; Becerra González, J.; et al. Teraelectronvolt emission from the γ-ray burst GRB 190114C. Nature 2019, 575, 455–458. [Google Scholar] [CrossRef]
- Metzger, B.D.; Berger, E. What is the Most Promising Electromagnetic Counterpart of a Neutron Star Binary Merger? Astrophys. J. 2012, 746, 48. [Google Scholar] [CrossRef]
- Fernández, R.; Metzger, B.D. Electromagnetic Signatures of Neutron Star Mergers in the Advanced LIGO Era. Ann. Rev. Nucl. Part. Sci. 2016, 66, 23–45. [Google Scholar] [CrossRef]
- Freiburghaus, C.; Rembges, J.F.; Rauscher, T.; Kolbe, E.; Thielemann, F.K.; Kratz, K.L.; Pfeiffer, B.; Cowan, J.J. The Astrophysical r-Process: A Comparison of Calculations following Adiabatic Expansion with Classical Calculations Based on Neutron Densities and Temperatures. Astrophys. J. 1999, 516, 381–398. [Google Scholar] [CrossRef]
- Barnes, J.; Kasen, D. Effect of a High Opacity on the Light Curves of Radioactively Powered Transients from Compact Object Mergers. Astrophys. J. 2013, 775, 18. [Google Scholar] [CrossRef]
- Kasen, D.; Badnell, N.R.; Barnes, J. Opacities and Spectra of the r-process Ejecta from Neutron Star Mergers. Astrophys. J. 2013, 774, 25. [Google Scholar] [CrossRef]
- Tanaka, M.; Hotokezaka, K. Radiative Transfer Simulations of Neutron Star Merger Ejecta. Astrophys. J. 2013, 775, 113. [Google Scholar] [CrossRef]
- Metzger, B.D. Kilonovae. Living Rev. Rel. 2020, 23, 1. [Google Scholar] [CrossRef]
- Nagakura, H.; Hotokezaka, K.; Sekiguchi, Y.; Shibata, M.; Ioka, K. Jet Collimation in the Ejecta of Double Neutron Star Mergers: A New Canonical Picture of Short Gamma-Ray Bursts. Astrophys. J. Lett. 2014, 784, L28. [Google Scholar] [CrossRef]
- Duffell, P.C.; Quataert, E.; MacFadyen, A.I. A Narrow Short-Duration GRB Jet from a Wide Central Engine. Astrophys. J. 2015, 813, 64. [Google Scholar] [CrossRef]
- Lazzati, D.; Deich, A.; Morsony, B.J.; Workman, J.C. Off-axis emission of short γ-ray bursts and the detectability of electromagnetic counterparts of gravitational-wave-detected binary mergers. Mon. Not. R. Astron. Soc. 2017, 471, 1652–1661. [Google Scholar] [CrossRef]
- Nakar, E.; Piran, T. The Observable Signatures of GRB Cocoons. Astrophys. J. 2017, 834, 28. [Google Scholar] [CrossRef]
- Gottlieb, O.; Nakar, E.; Piran, T. The cocoon emission—An electromagnetic counterpart to gravitational waves from neutron star mergers. Mon. Not. R. Astron. Soc. 2018, 473, 576–584. [Google Scholar] [CrossRef]
- Coulter, D.A.; Foley, R.J.; Kilpatrick, C.D.; Drout, M.R.; Piro, A.L.; Shappee, B.J.; Siebert, M.R.; Simon, J.D.; Ulloa, N.; Kasen, D.; et al. Swope Supernova Survey 2017a (SSS17a), the Optical Counterpart to a Gravitational Wave Source. Science 2017, 358, 1556. [Google Scholar] [CrossRef]
- Valenti, S.; Sand, D.J.; Yang, S.; Cappellaro, E.; Tartaglia, L.; Corsi, A.; Jha, S.W.; Reichart, D.E.; Haislip, J.; Kouprianov, V. The discovery of the electromagnetic counterpart of GW170817: Kilonova AT 2017gfo/DLT17ck. Astrophys. J. Lett. 2017, 848, L24. [Google Scholar] [CrossRef]
- Kasliwal, M.M.; Nakar, E.; Singer, L.P.; Kaplan, D.L.; Cook, D.O.; Van Sistine, A.; Lau, R.M.; Fremling, C.; Gottlieb, O.; Jencson, J.E.; et al. Illuminating Gravitational Waves: A Concordant Picture of Photons from a Neutron Star Merger. Science 2017, 358, 1559. [Google Scholar] [CrossRef]
- Lipunov, V.M.; Gorbovskoy, E.; Kornilov, V.G.; Tyurina, N.; Balanutsa, P.; Kuznetsov, A.; Vlasenko, D.; Kuvshinov, D.; Gorbunov, I.; Buckley, D.A.H.; et al. MASTER Optical Detection of the First LIGO/Virgo Neutron Star Binary Merger GW170817. Astrophys. J. Lett. 2017, 850, L1. [Google Scholar] [CrossRef]
- Kasen, D.; Metzger, B.; Barnes, J.; Quataert, E.; Ramirez-Ruiz, E. Origin of the heavy elements in binary neutron-star mergers from a gravitational wave event. Nature 2017, 551, 80. [Google Scholar] [CrossRef]
- Freedman, W.L.; Madore, B.F.; Gibson, B.K.; Ferrarese, L.; Kelson, D.D.; Sakai, S.; Mould, J.R.; Kennicutt, R.C., Jr.; Ford, H.C.; Graham, J.A.; et al. Final results from the Hubble Space Telescope key project to measure the Hubble constant. Astrophys. J. 2001, 553, 47–72. [Google Scholar] [CrossRef]
- Cantiello, M.; Jensen, J.B.; Blakeslee, J.P.; Berger, E.; Levan, A.J.; Tanvir, N.R.; Raimondo, G.; Brocato, E.; Alexander, K.D.; Blanchard, P.K.; et al. A Precise Distance to the Host Galaxy of the Binary Neutron Star Merger GW170817 Using Surface Brightness Fluctuations. Astrophys. J. Lett. 2018, 854, L31. [Google Scholar] [CrossRef]
- Hjorth, J.; Levan, A.J.; Tanvir, N.R.; Lyman, J.D.; Wojtak, R.; Schrøder, S.L.; Mandel, I.; Gall, C.; Bruun, S.H. The Distance to NGC 4993: The Host Galaxy of the Gravitational-wave Event GW170817. Astrophys. J. Lett. 2017, 848, L31. [Google Scholar] [CrossRef]
- Im, M.; Yoon, Y.; Lee, S.J.; Lee, H.M.; Kim, J.; Lee, C.; Kim, S.; Troja, E.; Choi, C.; Lim, G.; et al. Distance and Properties of NGC 4993 as the Host Galaxy of the Gravitational-wave Source GW170817. Astrophys. J. Lett. 2017, 849, L16. [Google Scholar] [CrossRef]
- Lee, M.G.; Kang, J.; Im, M. A Globular Cluster Luminosity Function Distance to NGC 4993 Hosting a Binary Neutron Star Merger GW170817/GRB 170817A. Astrophys. J. Lett. 2018, 859, L6. [Google Scholar] [CrossRef]
- Siebert, M.R.; Foley, R.J.; Drout, M.R.; Kilpatrick, C.D.; Shappee, B.J.; Coulter, D.A.; Kasen, D.; Madore, B.F.; Murguia-Berthier, A.; Pan, Y.-C.; et al. The Unprecedented Properties of the First Electromagnetic Counterpart to a Gravitational Wave Source. Astrophys. J. Lett. 2017, 848, L26. [Google Scholar] [CrossRef]
- Tanvir, N.R.; Levan, A.J.; Gonzàlez-Fernàndez, C.; Korobkin, O.; Mandel, I.; Rosswog, S.; Hjorth, J.; D’Avanzo, P.; Fruchter, A.S.; Fryer, C.L.; et al. The Emergence of a Lanthanide-Rich Kilonova Following the Merger of Two Neutron Stars. Astrophys. J. Lett. 2017, 848, L27. [Google Scholar] [CrossRef]
- Soares-Santos, M. et al. [Dark Energy Camera GW-EM Collaboration] The Electromagnetic Counterpart of the Binary Neutron Star Merger LIGO/Virgo GW170817. I. Discovery of the Optical Counterpart Using the Dark Energy Camera. Astrophys. J. Lett. 2017, 848, L16. [Google Scholar] [CrossRef]
- Arcavi, I.; Hosseinzadeh, G.; Howell, D.A.; McCully, C.; Poznanski, D.; Kasen, D.; Barnes, J.; Zaltzman, M.; Vasylyev, S.; Maoz, D.; et al. Optical emission from a kilonova following a gravitational-wave-detected neutron-star merger. Nature 2017, 551, 64. [Google Scholar] [CrossRef]
- Evans, P.A.; Cenko, S.B.; Kennea, J.A.; Emery, S.W.K.; Kuin, N.P.M.; Korobkin, O.; Wollaeger, R.T.; Fryer, C.L.; Madsen, K.K.; Harrison, F.A.; et al. Swift and NuSTAR observations of GW170817: Detection of a blue kilonova. Science 2017, 358, 1565. [Google Scholar] [CrossRef]
- Alexander, K.D.; Berger, E.; Fong, W.; Williams, P.K.G.; Guidorzi, C.; Margutti, R.; Metzger, B.D.; Annis, J.; Blanchard, P.K.; Brout, D.; et al. The Electromagnetic Counterpart of the Binary Neutron Star Merger LIGO/VIRGO GW170817. VI. Radio Constraints on a Relativistic Jet and Predictions for Late-Time Emission from the Kilonova Ejecta. Astrophys. J. Lett. 2017, 848, L21. [Google Scholar] [CrossRef]
- Hallinan, G.; Corsi, A.; Mooley, K.P.; Hotokezaka, K.; Nakar, E.; Kasliwal, M.M.; Kaplan, D.L.; Frail, D.A.; Myers, S.T.; Murphy, T.; et al. A Radio Counterpart to a Neutron Star Merger. Science 2017, 358, 1579. [Google Scholar] [CrossRef]
- Margutti, R.; Berger, E.; Fong, W.; Guidorzi, C.; Alexander, K.D.; Metzger, B.D.; Blanchard, P.K.; Cowperthwaite, P.S.; Chornock, R.; Eftekhari, T.; et al. The Electromagnetic Counterpart of the Binary Neutron Star Merger LIGO/VIRGO GW170817. V. Rising X-ray Emission from an Off-Axis Jet. Astrophys. J. Lett. 2017, 848, L20. [Google Scholar] [CrossRef]
- Sugita, S.; Kawai, N.; Nakahira, S.; Negoro, H.; Serino, M.; Mihara, T.; Yamaoka, K.; Nakajima, M. MAXI upper limits of the electromagnetic counterpart of GW170817. Publ. Astron. Soc. Jap. 2018, 70, 81. [Google Scholar] [CrossRef]
- Troja, E.; Piro, L.; van Eerten, H.; Wollaeger, R.T.; Im, M.; Fox, O.D.; Butler, N.R.; Cenko, S.B.; Sakamoto, T.; Fryer, C.L.; et al. The X-ray counterpart to the gravitational wave event GW 170817. Nature 2017, 551, 71–74. [Google Scholar] [CrossRef]
- Abbott, B.P. et al. [LIGO Scientific and Virgo Collaborations] Properties of the binary neutron star merger GW170817. Phys. Rev. X 2019, 9, 011001. [Google Scholar] [CrossRef]
- Abbott, B.P. et al. [LIGO Scientific and Virgo Collaborations] GWTC-1: A Gravitational-Wave Transient Catalog of Compact Binary Mergers Observed by LIGO and Virgo during the First and Second Observing Runs. Phys. Rev. X 2019, 9, 031040. [Google Scholar] [CrossRef]
- Abbott, B.P. et al. [LIGO Scientific and Virgo Collaborations] GW170817: Implications for the Stochastic Gravitational-Wave Background from Compact Binary Coalescences. Phys. Rev. Lett. 2018, 120, 091101. [Google Scholar] [CrossRef] [PubMed]
- Bernuzzi, S. Neutron star merger remnants. Gen. Rel. Grav. 2020, 52, 108, Correction: Gen. Rel. Grav. 2024, 56, 101. [Google Scholar] [CrossRef] [PubMed]
- Bernuzzi, S.; Magistrelli, F.; Jacobi, M.; Logoteta, D.; Perego, A.; Radice, D. Long-lived neutron-star remnants from asymmetric binary neutron star mergers: Element formation, kilonova signals and gravitational waves. Mon. Not. R. Astron. Soc. 2025, 542, 256–271. [Google Scholar] [CrossRef]
- Abbott, B.P. et al. [LIGO Scientific and Virgo Collaborations] Search for Post-merger Gravitational Waves from the Remnant of the Binary Neutron Star Merger GW170817. Astrophys. J. Lett. 2017, 851, L16. [Google Scholar] [CrossRef]
- Abbott, B.P. et al. [LIGO Scientific and Virgo Collaborations] Estimating the Contribution of Dynamical Ejecta in the Kilonova Associated with GW170817. Astrophys. J. Lett. 2017, 850, L39. [Google Scholar] [CrossRef]
- Abbott, B.P. et al. [LIGO Scientific and Virgo Collaborations] Model comparison from LIGO–Virgo data on GW170817’s binary components and consequences for the merger remnant. Class. Quant. Grav. 2020, 37, 045006. [Google Scholar] [CrossRef]
- Margalit, B.; Metzger, B.D. Constraining the Maximum Mass of Neutron Stars From Multi-Messenger Observations of GW170817. Astrophys. J. Lett. 2017, 850, L19. [Google Scholar] [CrossRef]
- Granot, J.; Guetta, D.; Gill, R. Lessons from the Short GRB 170817A: The First Gravitational-wave Detection of a Binary Neutron Star Merger. Astrophys. J. Lett. 2017, 850, L24. [Google Scholar] [CrossRef]
- Shibata, M.; Fujibayashi, S.; Hotokezaka, K.; Kiuchi, K.; Kyutoku, K.; Sekiguchi, Y.; Tanaka, M. Modeling GW170817 based on numerical relativity and its implications. Phys. Rev. D 2017, 96, 123012. [Google Scholar] [CrossRef]
- Rezzolla, L.; Most, E.R.; Weih, L.R. Using gravitational-wave observations and quasi-universal relations to constrain the maximum mass of neutron stars. Astrophys. J. Lett. 2018, 852, L25. [Google Scholar] [CrossRef]
- Gill, R.; Nathanail, A.; Rezzolla, L. When Did the Remnant of GW170817 Collapse to a Black Hole? Astrophys. J. 2019, 876, 139. [Google Scholar] [CrossRef]
- Metzger, B.D. Lessons from the light of a neutron star merger. Ann. Phys. 2019, 410, 167923. [Google Scholar] [CrossRef]
- Murguia-Berthier, A.; Ramirez-Ruiz, E.; De Colle, F.; Janiuk, A.; Rosswog, S.; Lee, W.H. The Fate of the Merger Remnant in GW170817 and its Imprint on the Jet Structure. Astrophys. J. 2021, 908, 152. [Google Scholar] [CrossRef]
- Ciolfi, R. Collimated outflows from long-lived binary neutron star merger remnants. Mon. Not. R. Astron. Soc. 2020, 495, L66–L70. [Google Scholar] [CrossRef]
- Hajela, A.; Margutti, R.; Alexander, K.D.; Kathirgamaraju, A.; Baldeschi, A.; Guidorzi, C.; Giannios, D.; Fong, W.; Wu, Y.; MacFadyen, A.; et al. Two Years of Nonthermal Emission from the Binary Neutron Star Merger GW170817: Rapid Fading of the Jet Afterglow and First Constraints on the Kilonova Fastest Ejecta. Astrophys. J. Lett. 2019, 886, L17. [Google Scholar] [CrossRef]
- Abbott, B.P. et al. [LIGO Scientific and Virgo Collaborations] GW190425: Observation of a Compact Binary Coalescence with Total Mass ∼3.4M⊙. Astrophys. J. Lett. 2020, 892, L3. [Google Scholar] [CrossRef]
- Abbott, R. et al. [LIGO Scientific and Virgo Collaborations] GWTC-2.1: Deep extended catalog of compact binary coalescences observed by LIGO and Virgo during the first half of the third observing run. Phys. Rev. D 2024, 109, 022001. [Google Scholar] [CrossRef]
- Farrow, N.; Zhu, X.J.; Thrane, E. The mass distribution of Galactic double neutron stars. Astrophys. J. 2019, 876, 18. [Google Scholar] [CrossRef]
- Mueller, H.; Serot, B.D. Relativistic mean field theory and the high density nuclear equation of state. Nucl. Phys. A 1996, 606, 508–537. [Google Scholar] [CrossRef]
- Tews, I.; Schwenk, A. Spin-polarized neutron matter, the maximum mass of neutron stars, and GW170817. Astrophys. J. 2020, 892, 14. [Google Scholar] [CrossRef]
- Roupas, Z. Secondary component of gravitational-wave signal GW190814 as an anisotropic neutron star. Astrophys. Space Sci. 2021, 366, 9. [Google Scholar] [CrossRef]
- Antier, S.; Agayeva, S.; Aivazyan, V.; Alishov, S.; Arbouch, E.; Baransky, A.; Barynova, K.; Bai, J.M.; Basa, S.; Beradze, S.; et al. The first six months of the Advanced LIGO’s and Advanced Virgo’s third observing run with GRANDMA. Mon. Not. R. Astron. Soc. 2020, 492, 3904–3927. [Google Scholar] [CrossRef]
- Gompertz, B.P.; Cutter, R.; Steeghs, D.; Galloway, D.K.; Lyman, J.; Ulaczyk, K.; Dyer, M.J.; Ackley, K.; Dhillon, V.S.; O’Brien, P.T.; et al. Searching for Electromagnetic Counterparts to Gravitational-wave Merger Events with the Prototype Gravitational-wave Optical Transient Observer (GOTO-4). Mon. Not. R. Astron. Soc. 2020, 497, 726–738. [Google Scholar] [CrossRef]
- Becerra, R.L.; Dichiara, S.; Watson, A.M.; Troja, E.; Butler, N.R.; Pereyra, M.; Moreno Méndez, E.; De Colle, F.; Lee, W.H.; Kutyrev, A.S.; et al. DDOTI observations of gravitational-wave sources discovered in O3. Mon. Not. R. Astron. Soc. 2021, 507, 1401–1420. [Google Scholar] [CrossRef]
- Chang, S.W.; Onken, C.A.; Wolf, C.; Luvaul, L.; Möller, A.; Scalzo, R.; Schmidt, B.P.; Scott, S.M.; Sura, N.; Yuan, F. SkyMapper optical follow-up of gravitational wave triggers: Alert science data pipeline and LIGO/Virgo O3 run. Publ. Astron. Soc. Austral. 2021, 38, e024. [Google Scholar] [CrossRef]
- de Jaeger, T.; Shappee, B.J.; Kochanek, C.S.; Stanek, K.Z.; Beacom, J.F.; Holoien, T.W.S.; Thompson, T.A.; Franckowiak, A.; Holmbo, S. ASAS-SN search for optical counterparts of gravitational-wave events from the third observing run of Advanced LIGO/Virgo. Mon. Not. R. Astron. Soc. 2021, 509, 3427–3440. [Google Scholar] [CrossRef]
- Kasliwal, M.M.; Anand, S.; Ahumada, T.; Stein, R.; Carracedo, A.S.; Andreoni, I.; Coughlin, M.W.; Singer, L.P.; Kool, E.C.; De, K.; et al. Kilonova Luminosity Function Constraints Based on Zwicky Transient Facility Searches for 13 Neutron Star Merger Triggers during O3. Astrophys. J. 2020, 905, 145. [Google Scholar] [CrossRef]
- Lundquist, M.J.; Paterson, K.; Fong, W.; Sand, D.J.; Andrews, J.E.; Shivaei, I.; Daly, P.N.; Valenti, S.; Yang, S.; Christensen, E.; et al. Searches after Gravitational Waves Using ARizona Observatories (SAGUARO): System Overview and First Results from Advanced LIGO/Virgo’s Third Observing Run. Astrophys. J. Lett. 2019, 881, L26. [Google Scholar] [CrossRef]
- Sasada, M.; Utsumi, Y.; Itoh, R.; Tominaga, N.; Tanaka, M.; Morokuma, T.; Yanagisawa, K.; Kawabata, K.S.; Ohgami, T.; Yoshida, M.; et al. J-GEM optical and near-infrared follow-up of gravitational wave events during LIGO’s and Virgo’s third observing run. Progr. Theor. Exp. Phys. 2021, 2021, 05A104. [Google Scholar] [CrossRef]
- Boersma, O.; van Leeuwen, J.; Adams, E.A.K.; Adebahr, B.; Kutkin, A.; Oosterloo, T.; de Blok, W.J.G.; van den Brink, R.; Coolen, A.H.W.M.; Connor, L.; et al. A search for radio emission from double-neutron star merger GW190425 using Apertif. Astron. Astrophys. 2021, 650, A131. [Google Scholar] [CrossRef]
- Cai, C.; Xiong, S.L.; Li, C.K.; Liu, C.Z.; Zhang, S.N.; Li, X.B.; Song, L.M.; Li, B.; Xiao, S.; Yi, Q.B.; et al. Search for gamma-ray bursts and gravitational wave electromagnetic counterparts with High Energy X-ray Telescope of Insight-HXMT. Mon. Not. R. Astron. Soc. 2021, 508, 3910–3920. [Google Scholar] [CrossRef]
- Oates, S.R.; Marshall, F.E.; Breeveld, A.A.; Kuin, N.P.M.; Brown, P.J.; De Pasquale, M.; Evans, P.A.; Fenney, A.J.; Gronwall, C.; Kennea, J.A.; et al. Swift/UVOT follow-up of gravitational wave alerts in the O3 era. Mon. Not. R. Astron. Soc. 2021, 507, 1296–1317. [Google Scholar] [CrossRef]
- Page, K.L.; Evans, P.A.; Tohuvavohu, A.; Kennea, J.A.; Klingler, N.J.; Cenko, S.B.; Oates, S.R.; Ambrosi, E.; Barthelmy, S.D.; Beardmore, A.P.; et al. Swift-XRT follow-up of gravitational wave triggers during the third aLIGO/Virgo observing run. Mon. Not. R. Astron. Soc. 2020, 499, 3459–3480. [Google Scholar] [CrossRef]
- Ridnaia, A.; Svinkin, D.; Frederiks, D. A search for gamma-ray counterparts to gravitational wave events in Konus-Wind data. J. Phys. Conf. Ser. 2020, 1697, 012030. [Google Scholar] [CrossRef]
- Hussain, R.; Vandenbroucke, J.; Wood, J. A Search for IceCube Neutrinos from the First 33 Detected Gravitational Wave Events. PoS 2020, 358, 918. [Google Scholar] [CrossRef]
- Abbasi, R. et al. [IceCube Collaboration] Probing neutrino emission at GeV energies from compact binary mergers with the IceCube Neutrino Observatory. arXiv 2021, arXiv:2105.13160. [Google Scholar]
- Abe, K. et al. [Super-Kamiokande Collaboration] Search for neutrinos in coincidence with gravitational wave events from the LIGO-Virgo O3a Observing Run with the Super-Kamiokande detector. Astrophys. J. 2021, 918, 78. [Google Scholar] [CrossRef]
- Abe, S.; Asami, S.; Gando, A.; Gando, Y.; Gima, T.; Goto, A.; Hachiya, T.; Hata, K.; Hayashida, S.; Hosokawa, K.; et al. Search for Low-energy Electron Antineutrinos in KamLAND Associated with Gravitational Wave Events. Astrophys. J. 2021, 909, 116. [Google Scholar] [CrossRef]
- Coughlin, M.W.; Ahumada, T.; Anand, S.; De, K.; Hankins, M.J.; Kasliwal, M.M.; Singer, L.P.; Bellm, E.C.; Andreoni, I.; Cenko, S.B.; et al. GROWTH on S190425z: Searching thousands of square degrees to identify an optical or infrared counterpart to a binary neutron star merger with the Zwicky Transient Facility and Palomar Gattini IR. Astrophys. J. Lett. 2019, 885, L19. [Google Scholar] [CrossRef]
- Hosseinzadeh, G.; Cowperthwaite, P.S.; Gomez, S.; Villar, V.A.; Nicholl, M.; Margutti, R.; Berger, E.; Chornock, R.; Paterson, K.; Fong, W.; et al. Follow-up of the Neutron Star Bearing Gravitational Wave Candidate Events S190425z and S190426c with MMT and SOAR. Astrophys. J. Lett. 2019, 880, L4. [Google Scholar] [CrossRef]
- Smartt, S.J.; Nicholl, M.; Srivastav, S.; Huber, M.E.; Chambers, K.C.; Smith, K.W.; Young, D.R.; Fulton, M.D.; Tonry, J.L.; Stubbs, C.W.; et al. GW190425: Pan-STARRS and ATLAS coverage of the skymap and limits on optical emission associated with FRB 20190425A. Mon. Not. R. Astron. Soc. 2024, 528, 2299–2307. [Google Scholar] [CrossRef]
- Pozanenko, A.S.; Minaev, P.Y.; Grebenev, S.A.; Chelovekov, I.V. Observation of the Second LIGO/Virgo Event Connected with a Binary Neutron Star Merger S190425z in the Gamma-Ray Range. Astron. Lett. 2020, 45, 710–727. [Google Scholar] [CrossRef]
- Fletcher, C. et al. [Fermi-GBM Team and the GBM-LIGO/Virgo group] GCN Circular 24185. 2019. Available online: https://gcn.nasa.gov/circulars/24185 (accessed on 4 September 2025).
- Moroianu, A.; Wen, L.; James, C.W.; Ai, S.; Kovalam, M.; Panther, F.H.; Zhang, B. An assessment of the association between a fast radio burst and binary neutron star merger. Nat. Astron. 2023, 7, 579–589. [Google Scholar] [CrossRef]
- Panther, F.H.; Anderson, G.E.; Bhandari, S.; Goodwin, A.J.; Hurley-Walker, N.; James, C.W.; Kawka, A.; Ai, S.; Kovalam, M.; Moroianu, A.; et al. The most probable host of CHIME FRB 190425A, associated with binary neutron star merger GW190425, and a late-time transient search. Mon. Not. R. Astron. Soc. 2022, 519, 2235–2250. [Google Scholar] [CrossRef]
- Bhardwaj, M.; Palmese, A.; Magaña Hernandez, I.; D’Emilio, V.; Morisaki, S. Challenges for Fast Radio Bursts as Multimessenger Sources from Binary Neutron Star Mergers. Astrophys. J. 2024, 977, 122. [Google Scholar] [CrossRef]
- Abbott, R.; Abbott, T.D.; Abraham, S.; Acernese, F.; Ackley, K.; Adams, A.; Adams, C.; Adhikari, R.X.; Adya, V.B.; Affeldt, C.; et al. Observation of Gravitational Waves from Two Neutron Star–Black Hole Coalescences. Astrophys. J. Lett. 2021, 915, L5. [Google Scholar] [CrossRef]
- Burns, E. Neutron Star Mergers and How to Study Them. Living Rev. Rel. 2020, 23, 4. [Google Scholar] [CrossRef]
- Margutti, R.; Chornock, R. First Multimessenger Observations of a Neutron Star Merger. Ann. Rev. Astron. Astrophys. 2021, 59, 155–202. [Google Scholar] [CrossRef]
- Nakar, E. The electromagnetic counterparts of compact binary mergers. Phys. Rept. 2020, 886, 1–84. [Google Scholar] [CrossRef]
- Pian, E. Mergers of Binary Neutron Star Systems: A Multimessenger Revolution. Front. Astron. Space Sci. 2021, 7, 108. [Google Scholar] [CrossRef]
- Salafia, O.S.; Ghirlanda, G.; Ascenzi, S.; Ghisellini, G. On-axis view of GRB 170817A. Astron. Astrophys. 2019, 628, A18. [Google Scholar] [CrossRef]
- Bloom, J.S.; Frail, D.A.; Sari, R. The prompt energy release of gamma-ray bursts using a cosmological k-correction. Astron. J. 2001, 121, 2879–2888. [Google Scholar] [CrossRef]
- Wanderman, D.; Piran, T. The rate, luminosity function and time delay of non-Collapsar short GRBs. Mon. Not. R. Astron. Soc. 2015, 448, 3026–3037. [Google Scholar] [CrossRef]
- Sun, H.; Zhang, B.; Li, Z. Extragalactic High-energy Transients: Event Rate Densities and Luminosity Functions. Astrophys. J. 2015, 812, 33. [Google Scholar] [CrossRef]
- Ghirlanda, G.; Salafia, O.S.; Pescalli, A.; Ghisellini, G.; Salvaterra, R.; Chassande-Mottin, E.; Colpi, M.; Nappo, F.; D’Avanzo, P.; Melandri, A.; et al. Short gamma-ray bursts at the dawn of the gravitational wave era. Astron. Astrophys. 2016, 594, A84. [Google Scholar] [CrossRef]
- Fong, W.; Berger, E.; Blanchard, P.K.; Margutti, R.; Cowperthwaite, P.S.; Chornock, R.; Alexander, K.D.; Metzger, B.D.; Villar, V.A.; Nicholl, M.; et al. The Electromagnetic Counterpart of the Binary Neutron Star Merger LIGO/VIRGO GW170817. VIII. A Comparison to Cosmological Short-duration Gamma-ray Bursts. Astrophys. J. Lett. 2017, 848, L23. [Google Scholar] [CrossRef]
- Tanvir, N.; Chapman, R.; Levan, A.; Priddey, R. An origin in the local Universe for some short gamma-ray bursts. Nature 2005, 438, 991–993. [Google Scholar] [CrossRef]
- Siellez, K.; Boer, M.; Gendre, B.; Regimbau, T. Evidence for a dual population of neutron star mergers from short Gamma-Ray Burst observations. arXiv 2016, arXiv:1606.03043. [Google Scholar] [CrossRef]
- Zhang, B.-B.; Zhang, B.; Sun, H.; Lei, W.-H.; Gao, H.; Li, Y.; Shao, L.; Zhao, Y.; Hu, Y.-D.; Lü, H.-J.; et al. A peculiar low-luminosity short gamma-ray burst from a double neutron star merger progenitor. Nat. Commun. 2018, 9, 447. [Google Scholar] [CrossRef]
- Tunnicliffe, R.L.; Levan, A.J.; Tanvir, N.R.; Rowlinson, A.; Perley, D.A.; Bloom, J.S.; Cenko, S.B.; O’Brien, P.T.; Cobb, B.E.; Wiersema, K.; et al. On the nature of the ‘hostless’ short GRBs. Mon. Not. R. Astron. Soc. 2014, 437, 1495–1510. [Google Scholar] [CrossRef]
- Giovannelli, F. Gamma-Ray Bursts: The Energy Monsters of the Universe. Galaxies 2025, 13, 16. [Google Scholar] [CrossRef]
- Pe’er, A. Gamma-Ray Bursts: What Do We Know Today That We Did Not Know 10 Years Ago? Galaxies 2025, 13, 2. [Google Scholar] [CrossRef]
- Li, T. et al. [Insight-HXMT Team] Insight-HXMT observations of the first binary neutron star merger GW170817. Sci. China Phys. Mech. Astron. 2018, 61, 031011. [Google Scholar] [CrossRef]
- Verrecchia, F.; Tavani, M.; Donnarumma, I.; Bulgarelli, A.; Evangelista, Y.; Pacciani, L.; Ursi, A.; Piano, G.; Pilia, M.; Cardillo, M.; et al. AGILE Observations of the Gravitational-wave Source GW170817: Constraining Gamma-Ray Emission from a NS-NS Coalescence. Astrophys. J. Lett. 2017, 850, L27. [Google Scholar] [CrossRef]
- Adriani, O.; Akaike, Y.; Asano, K.; Asaoka, Y.; Bagliesi, M.G.; Berti, E.; Bigongiari, G.; Binns, W.R.; Bonechi, S.; Bongi, M.; et al. Search for GeV Gamma-ray Counterparts of Gravitational Wave Events by CALET. Astrophys. J. 2018, 863, 160. [Google Scholar] [CrossRef]
- Ajello, M.; Allafort, A.; Axelsson, M.; Baldini, L.; Barbiellini, G.; Baring, M.G.; Bastieri, D.; Bellazzini, R.; Berenji, B.; Bissaldi, E.; et al. Fermi-LAT Observations of LIGO/Virgo Event GW170817. Astrophys. J. 2018, 861, 85. [Google Scholar] [CrossRef]
- Abdalla, H. et al. [H.E.S.S. Collaboration] TeV gamma-ray observations of the binary neutron star merger GW170817 with H.E.S.S. Astrophys. J. Lett. 2017, 850, L22. [Google Scholar] [CrossRef]
- Villar, V.A.; Guillochon, J.; Berger, E.; Metzger, B.D.; Cowperthwaite, P.S.; Nicholl, M.; Alexander, K.D.; Blanchard, P.K.; Chornock, R.; Eftekhari, T.; et al. The Combined Ultraviolet, Optical, and Near-Infrared Light Curves of the Kilonova Associated with the Binary Neutron Star Merger GW170817: Unified Data Set, Analytic Models, and Physical Implications. Astrophys. J. Lett. 2017, 851, L21. [Google Scholar] [CrossRef]
- Andreoni, I.; Ackley, K.; Cooke, J.; Acharyya, A.; Allison, J.R.; Anderson, G.E.; Ashley, M.C.B.; Baade, D.; Bailes, M.; Bannister, K.; et al. Follow up of GW170817 and its electromagnetic counterpart by Australian-led observing programs. Publ. Astron. Soc. Austral. 2017, 34, e069. [Google Scholar] [CrossRef]
- Arcavi, I. The First Hours of the GW170817 Kilonova and the Importance of Early Optical and Ultraviolet Observations for Constraining Emission Models. Astrophys. J. Lett. 2018, 855, L23. [Google Scholar] [CrossRef]
- Artola, R.; Beroiz, M.; Cabral, J.; Camuccio, R.; Castillo, M.; Chavushyan, V.; Colazo, C.; Cuevas, H.; DePoy, D.L.; Díaz, M.C.; et al. TOROS optical follow-up of the advanced LIGO–VIRGO O2 second observational campaign. Mon. Not. R. Astron. Soc. 2020, 493, 2207–2214. [Google Scholar] [CrossRef]
- Buckley, D.A.H.; Andreoni, I.; Barway, S.; Cooke, J.; Crawford, S.M.; Gorbovskoy, E.; Gromadzki, M.; Lipunov, V.; Mao, J.; Potter, S.B.; et al. A comparison between SALT/SAAO observations and kilonova models for AT 2017gfo: The first electromagnetic counterpart of a gravitational wave transient—GW170817. Mon. Not. R. Astron. Soc. 2018, 474, L71–L75. [Google Scholar] [CrossRef]
- Cowperthwaite, P.S.; Berger, E.; Villar, V.A.; Metzger, B.D.; Nicholl, M.; Chornock, R.; Blanchard, P.K.; Fong, W.; Margutti, R.; Soares-Santos, M.; et al. The Electromagnetic Counterpart of the Binary Neutron Star Merger LIGO/Virgo GW170817. II. UV, Optical, and Near-infrared Light Curves and Comparison to Kilonova Models. Astrophys. J. Lett. 2017, 848, L17. [Google Scholar] [CrossRef]
- Drout, M.R.; Piro, A.L.; Shappee, B.J.; Kilpatrick, C.D.; Simon, J.D.; Contreras, C.; Coulter, D.A.; Foley, R.J.; Siebert, M.R.; Morrell, N.; et al. Light Curves of the Neutron Star Merger GW170817/SSS17a: Implications for R-Process Nucleosynthesis. Science 2017, 358, 1570–1574. [Google Scholar] [CrossRef]
- Hu, L.; Wu, X.; Andreoni, I.; Ashley, M.C.B.; Cooke, J.; Cui, X.; Du, F.; Dai, Z.; Gu, B.; Hu, Y.; et al. Optical observations of LIGO source GW 170817 by the Antarctic Survey Telescopes at Dome A, Antarctica. Sci. Bull. 2017, 62, 1433–1438. [Google Scholar] [CrossRef]
- Utsumi, Y. et al. [J-GEM Collaboration] J-GEM observations of an electromagnetic counterpart to the neutron star merger GW170817. Publ. Astron. Soc. Jap. 2017, 69, 101. [Google Scholar] [CrossRef]
- Pian, E.; D’Avanzo, P.; Benetti, S.; Branchesi, M.; Brocato, E.; Campana, S.; Cappellaro, E.; Covino, S.; D’Elia, V.; Fynbo, J.P.U.; et al. Spectroscopic identification of r-process nucleosynthesis in a double neutron star merger. Nature 2017, 551, 67–70. [Google Scholar] [CrossRef] [PubMed]
- Pozanenko, A.; Barkov, M.V.; Minaev, P.Y.; Volnova, A.A.; Mazaeva, E.D.; Moskvitin, A.S.; Krugov, M.A.; Samodurov, V.A.; Loznikov, V.M.; Lyutikov, M. GRB 170817A Associated with GW170817: Ti-frequency Observations and Modeling of Prompt Gamma-Ray Emission. Astrophys. J. Lett. 2018, 852, L30. [Google Scholar] [CrossRef]
- Smartt, S.J.; Chen, T.-W.; Jerkstrand, A.; Coughlin, M.; Kankare, E.; Sim, S.A.; Fraser, M.; Inserra, C.; Maguire, K.; Chambers, K.C.; et al. A kilonova as the electromagnetic counterpart to a gravitational-wave source. Nature 2017, 551, 75–79. [Google Scholar] [CrossRef] [PubMed]
- Tominaga, N.; Tanaka, M.; Morokuma, T.; Utsumi, Y.; Yamaguchi, M.S.; Yasuda, N.; Tanaka, M.; Yoshida, M.; Fujiyoshi, T.; Furusawa, H.; et al. Subaru Hyper Suprime-Cam Survey for An Optical Counterpart of GW170817. Publ. Astron. Soc. Jap. 2018, 70, 28. [Google Scholar] [CrossRef]
- Díaz, M.C.; Macri, L.M.; Garcia Lambas, D.; Mendes de Oliveira, C.; Nilo Castellón, J.L.; Ribeiro, T.; Sánchez, B.; Schoenell, W.; Abramo, L.R.; Akras, S.; et al. Observations of the first electromagnetic counterpart to a gravitational wave source by the TOROS Collaboration. Astrophys. J. Lett. 2017, 848, L29. [Google Scholar] [CrossRef]
- Zach Golkhou, V.; Butler, N.R.; Strausbaugh, R.; Troja, E.; Kutyrev, A.; Lee, W.H.; Román-Zúñiga, C.G.; Watson, A.M. RATIR Follow-up of LIGO/Virgo Gravitational Wave Events. Astrophys. J. 2018, 857, 81. [Google Scholar] [CrossRef]
- Chornock, R.; Berger, E.; Kasen, D.; Cowperthwaite, P.S.; Nicholl, M.; Villar, V.A.; Alexander, K.D.; Blanchard, P.K.; Eftekhari, T.; Fong, W.; et al. The Electromagnetic Counterpart of the Binary Neutron Star Merger LIGO/VIRGO GW170817. IV. Detection of Near-infrared Signatures of r-process Nucleosynthesis with Gemini-South. Astrophys. J. Lett. 2017, 848, L19. [Google Scholar] [CrossRef]
- Kasliwal, M.M.; Kasen, D.; Lau, R.M.; Perley, D.A.; Rosswog, S.; Ofek, E.O.; Hotokezaka, K.; Chary, R.; Sollerman, J.; Goobar, A.; et al. Spitzer mid-infrared detections of neutron star merger GW170817 suggests synthesis of the heaviest elements. Mon. Not. R. Astron. Soc. 2022, 510, L7–L12. [Google Scholar] [CrossRef]
- Kilpatrick, C.D.; Foley, R.J.; Kasen, D.; Murguia-Berthier, A.; Ramirez-Ruiz, E.; Coulter, D.A.; Drout, M.R.; Piro, A.L.; Shappee, B.J.; Boutsia, K.; et al. Electromagnetic Evidence that SSS17a is the Result of a Binary Neutron Star Merger. Science 2017, 358, 1583–1587. [Google Scholar] [CrossRef]
- Levan, A.J.; Lyman, J.D.; Tanvir, N.R.; Hjorth, J.; Mandel, I.; Stanway, E.R.; Steeghs, D.; Fruchter, A.S.; Troja, E.; Schrøder, S.L.; et al. The environment of the binary neutron star merger GW170817. Astrophys. J. Lett. 2017, 848, L28. [Google Scholar] [CrossRef]
- Lyman, J.D.; Lamb, G.P.; Levan, A.J.; Mandel, I.; Tanvir, N.R.; Kobayashi, S.; Gompertz, B.; Hjorth, J.; Fruchter, A.S.; Kangas, T.; et al. The optical afterglow of the short gamma-ray burst associated with GW170817. Nat. Astron. 2018, 2, 751–754. [Google Scholar] [CrossRef]
- McCully, C.; Hiramatsu, D.; Howell, D.A.; Hosseinzadeh, G.; Arcavi, I.; Kasen, D.; Barnes, J.; Shara, M.M.; Williams, T.B.; Väisänen, P.; et al. The Rapid Reddening and Featureless Optical Spectra of the optical counterpart of GW170817, AT 2017gfo, During the First Four Days. Astrophys. J. Lett. 2017, 848, L32. [Google Scholar] [CrossRef]
- Nicholl, M.; Berger, E.; Kasen, D.; Metzger, B.D.; Elias, J.; Briceño, C.; Alexander, K.D.; Blanchard, P.K.; Chornock, R.; Cowperthwaite, P.S.; et al. The Electromagnetic Counterpart of the Binary Neutron Star Merger LIGO/VIRGO GW170817. III. Optical and UV Spectra of a Blue Kilonova From Fast Polar Ejecta. Astrophys. J. Lett. 2017, 848, L18. [Google Scholar] [CrossRef]
- Shappee, B.J.; Simon, J.D.; Drout, M.R.; Piro, A.L.; Morrell, N.; Prieto, J.L.; Kasen, D.; Holoien, T.W.-S.; Kollmeier, J.A.; Kelson, D.D.; et al. Early Spectra of the Gravitational Wave Source GW170817: Evolution of a Neutron Star Merger. Science 2017, 358, 1574. [Google Scholar] [CrossRef]
- Gall, C.; Hjorth, J.; Rosswog, S.; Tanvir, N.R.; Levan, A.J. Lanthanides or dust in kilonovae: Lessons learned from GW170817. Astrophys. J. Lett. 2017, 849, L19. [Google Scholar] [CrossRef]
- Paczynski, B. Gamma-ray bursters at cosmological distances. Astrophys. J. Lett. 1986, 308, L43–L46. [Google Scholar] [CrossRef]
- Paczynski, B. Cosmological gamma-ray bursts. Acta Astron. 1991, 41, 257–267. [Google Scholar]
- Li, L.; Paczynski, B. Transient events from neutron star mergers. Astrophys. J. Lett. 1998, 507, L59. [Google Scholar] [CrossRef]
- Kulkarni, S.R. Modeling supernova-like explosions associated with gamma-ray bursts with short durations. arXiv 2005, arXiv:astro-ph/0510256. [Google Scholar] [CrossRef]
- Nakar, E. Short-Hard Gamma-Ray Bursts. Phys. Rept. 2007, 442, 166–236. [Google Scholar] [CrossRef]
- Tanvir, N.R.; Levan, A.J.; Fruchter, A.S.; Hjorth, J.; Wiersema, K.; Tunnicliffe, R.; de Ugarte Postigo, A. A ”kilonova” associated with short-duration gamma-ray burst 130603B. Nature 2013, 500, 547. [Google Scholar] [CrossRef] [PubMed]
- Burbidge, M.E.; Burbidge, G.R.; Fowler, W.A.; Hoyle, F. Synthesis of the elements in stars. Rev. Mod. Phys. 1957, 29, 547–650. [Google Scholar] [CrossRef]
- Banerjee, S.; Tanaka, M.; Kawaguchi, K.; Kato, D.; Gaigalas, G. Simulations of early kilonova emission from neutron star mergers. Astrophys. J. 2020, 901, 29. [Google Scholar] [CrossRef]
- Duffell, P.C.; Quataert, E.; Kasen, D.; Klion, H. Jet Dynamics in Compact Object Mergers: GW170817 Likely had a Successful Jet. Astrophys. J. 2018, 866, 3. [Google Scholar] [CrossRef]
- Rosswog, S.; Sollerman, J.; Feindt, U.; Goobar, A.; Korobkin, O.; Wollaeger, R.; Fremling, C.; Kasliwal, M.M. The first direct double neutron star merger detection: Implications for cosmic nucleosynthesis. Astron. Astrophys. 2018, 615, A132. [Google Scholar] [CrossRef]
- Tanaka, M.; Kato, D.; Gaigalas, G.; Kawaguchi, K. Systematic Opacity Calculations for Kilonovae. Mon. Not. R. Astron. Soc. 2020, 496, 1369–1392. [Google Scholar] [CrossRef]
- Banerjee, S.; Tanaka, M.; Kato, D.; Gaigalas, G.; Kawaguchi, K.; Domoto, N. Opacity of the Highly Ionized Lanthanides and the Effect on the Early Kilonova. Astrophys. J. 2022, 934, 117. [Google Scholar] [CrossRef]
- Metzger, B.D.; Fernández, R. Red or blue? A potential kilonova imprint of the delay until black hole formation following a neutron star merger. Mon. Not. R. Astron. Soc. 2014, 441, 3444–3453. [Google Scholar] [CrossRef]
- Grossman, D.; Korobkin, O.; Rosswog, S.; Piran, T. The long-term evolution of neutron star merger remnants – II. Radioactively powered transients. Mon. Not. R. Astron. Soc. 2014, 439, 757–770. [Google Scholar] [CrossRef]
- Rosswog, S.; Korobkin, O.; Arcones, A.; Thielemann, F.K.; Piran, T. The long-term evolution of neutron star merger remnants – I. The impact of r-process nucleosynthesis. Mon. Not. R. Astron. Soc. 2014, 439, 744–756. [Google Scholar] [CrossRef]
- Just, O.; Bauswein, A.; Pulpillo, R.A.; Goriely, S.; Janka, H.T. Comprehensive nucleosynthesis analysis for ejecta of compact binary mergers. Mon. Not. R. Astron. Soc. 2015, 448, 541–567. [Google Scholar] [CrossRef]
- Oechslin, R.; Janka, H.T. Gravitational waves from relativistic neutron star mergers with nonzero-temperature equations of state. Phys. Rev. Lett. 2007, 99, 121102. [Google Scholar] [CrossRef]
- Nakar, E.; Piran, T. Radio Remnants of Compact Binary Mergers—The Electromagnetic Signal that will follow the Gravitational Waves. Nature 2011, 478, 82–84. [Google Scholar] [CrossRef]
- Bromberg, O.; Nakar, E.; Piran, T.; Sari, R. The propagation of relativistic jets in external media. Astrophys. J. 2011, 740, 100. [Google Scholar] [CrossRef]
- Bromberg, O.; Tchekhovskoy, A.; Gottlieb, O.; Nakar, E.; Piran, T. The γ-rays that accompanied GW170817 and the observational signature of a magnetic jet breaking out of NS merger ejecta. Mon. Not. R. Astron. Soc. 2018, 475, 2971–2977. [Google Scholar] [CrossRef]
- Murguia-Berthier, A.; Ramirez-Ruiz, E.; Montes, G.; De Colle, F.; Rezzolla, L.; Rosswog, S.; Takami, K.; Perego, A.; Lee, W.H. The Properties of Short gamma-ray burst Jets Triggered by neutron star mergers. Astrophys. J. Lett. 2017, 835, L34. [Google Scholar] [CrossRef]
- Murguia-Berthier, A.; Ramirez-Ruiz, E.; Kilpatrick, C.D.; Foley, R.J.; Kasen, D.; Lee, W.H.; Piro, A.L.; Coulter, D.A.; Drout, M.R.; Madore, B.F.; et al. A Neutron Star Binary Merger Model for GW170817/GRB 170817A/SSS17a. Astrophys. J. Lett. 2017, 848, L34. [Google Scholar] [CrossRef]
- Covino, S.; Wiersema, K.; Fan, Y.Z.; Toma, K.; Higgins, A.B.; Melandri, A.; D’Avanzo, P.; Mundell, C.G.; Palazzi, E.; Tanvir, N.R.; et al. The unpolarized macronova associated with the gravitational wave event GW170817. Nat. Astron. 2017, 1, 791–794, Erratum in Nature Astron. 2017, 1, 805. [Google Scholar] [CrossRef]
- Bulla, M.; Covino, S.; Kyutoku, K.; Tanaka, M.; Maund, J.R.; Patat, F.; Toma, K.; Wiersema, K.; Bruten, J.; Jin, Z.P.; et al. The origin of polarization in kilonovae and the case of the gravitational-wave counterpart AT 2017gfo. Nat. Astron. 2019, 3, 99–106. [Google Scholar] [CrossRef]
- Piran, T.; Nakar, E.; Rosswog, S. The Electromagnetic Signals of Compact Binary Mergers. Mon. Not. R. Astron. Soc. 2013, 430, 2121–2136. [Google Scholar] [CrossRef]
- Hotokezaka, K.; Piran, T. Mass ejection from neutron star mergers: Different components and expected radio signals. Mon. Not. R. Astron. Soc. 2015, 450, 1430–1440. [Google Scholar] [CrossRef]
- Hotokezaka, K.; Nissanke, S.; Hallinan, G.; Lazio, T.J.W.; Nakar, E.; Piran, T. Radio Counterparts of Compact Binary Mergers detectable in Gravitational Waves: A Simulation for an Optimized Survey. Astrophys. J. 2016, 831, 190. [Google Scholar] [CrossRef]
- Haggard, D.; Nynka, M.; Ruan, J.J.; Kalogera, V.; Bradley Cenko, S.; Evans, P.; Kennea, J.A. A Deep Chandra X-ray Study of Neutron Star Coalescence GW170817. Astrophys. J. Lett. 2017, 848, L25. [Google Scholar] [CrossRef]
- Albert, A.; André, M.; Anghinolfi, M.; Ardid, M.; Aubert, J.-J.; Aublin, J.; Avgitas, T.; Baret, B.; Barrios-Martí, J.; Basa, S.; et al. Search for High-energy Neutrinos from Binary Neutron Star Merger GW170817 with ANTARES, IceCube, and the Pierre Auger Observatory. Astrophys. J. Lett. 2017, 850, L35. [Google Scholar] [CrossRef]
- Hayato, Y.; Bronner, C.; Hayato, Y.; Ikeda, M.; Iyogi, K.; Kameda, J.; Kato, Y.; Kishimoto, Y.; Marti, L.; Miura, M.; et al. Search for Neutrinos in Super-Kamiokande Associated with the GW170817 Neutron-star Merger. Astrophys. J. Lett. 2018, 857, L4. [Google Scholar] [CrossRef]
- Avrorin, A.D.; Avrorin, A.V.; Aynutdinov, V.M.; Bannash, R.; Belolaptikov, I.A.; Brudanin, V.M.; Budnev, N.M.; Doroshenko, A.A.; Domogatsky, G.V.; Dvornický, R.; et al. Search for High-Energy Neutrinos from GW170817 with the Baikal-GVD Neutrino Telescope. JETP Lett. 2018, 108, 787–790. [Google Scholar] [CrossRef]
- Agafonova, N.Y.; Ashikhmin, V.V.; Dobrynina, E.A.; Enikeev, R.; Malgin, A.S.; Ryazhskaya, O.G.; Shaliryanova, I.R.; Yakushev, V.F. Search for events in the LVD detector coinciding with gravitational signals from the collapse of close binary systems. J. Phys. Conf. Ser. 2019, 1390, 012088. [Google Scholar] [CrossRef]
- Petkov, V.B.; Novoseltseva, R.V.; Boliev, M.M.; Dzaparova, I.M.; Kochkarov, M.M.; Kurenya, A.N.; Novoseltsev, Y.F.; Striganov, P.S.; Yanin, A.F. Search for Electron Neutrinos from Gravitational Wave Events at the Baksan Underground Scintillation Telescope. JETP Lett. 2018, 107, 398–401. [Google Scholar] [CrossRef]
- Fang, K.; Metzger, B.D. High-Energy Neutrinos from Millisecond Magnetars formed from the Merger of Binary Neutron Stars. Astrophys. J. 2017, 849, 153. [Google Scholar] [CrossRef]
- Abbott, B.P.; Abbott, R.; Abbott, T.D.; Acernese, F.; Ackley, K.; Adams, C.; Adams, T.; Addesso, P.; Adhikari, R.X.; Adya, V.B.; et al. On the Progenitor of Binary Neutron Star Merger GW170817. Astrophys. J. Lett. 2017, 850, L40. [Google Scholar] [CrossRef]
- Fong, W.f.; Berger, E.; Fox, D.B. Hubble Space Telescope Observations of Short GRB Host Galaxies: Morphologies, Offsets, and Local Environments. Astrophys. J. 2010, 708, 9–25. [Google Scholar] [CrossRef]
- Pan, Y.C.; Kilpatrick, C.D.; Simon, J.D.; Xhakaj, E.; Boutsia, K.; Coulter, D.A.; Drout, M.R.; Foley, R.J.; Kasen, D.; Morrell, N.; et al. The Old Host-Galaxy Environment of SSS17a, the First Electromagnetic Counterpart to a Gravitational Wave Source. Astrophys. J. Lett. 2017, 848, L30. [Google Scholar] [CrossRef]
- Blanchard, P.K.; Berger, E.; Fong, W.; Nicholl, M.; Leja, J.; Conroy, C.; Alexander, K.D.; Margutti, R.; Williams, P.K.G.; Doctor, Z.; et al. The Electromagnetic Counterpart of the Binary Neutron Star Merger LIGO/VIRGO GW170817. VII. Properties of the Host Galaxy and Constraints on the Merger Timescale. Astrophys. J. Lett. 2017, 848, L22. [Google Scholar] [CrossRef]
- Fong, W.; Blanchard, P.K.; Alexander, K.D.; Strader, J.; Margutti, R.; Hajela, A.; Villar, V.A.; Wu, Y.; Ye, C.S.; Berger, E.; et al. The Optical Afterglow of GW170817: An Off-axis Structured Jet and Deep Constraints on a Globular Cluster Origin. Astrophys. J. Lett. 2019, 883, L1. [Google Scholar] [CrossRef]
- Kalogera, V.; Belczynski, K.; Kim, C.; O’Shaughnessy, R.W.; Willems, B. Formation of Double Compact Objects. Phys. Rept. 2007, 442, 75–108. [Google Scholar] [CrossRef]
- Postnov, K.A.; Yungelson, L.R. The Evolution of Compact Binary Star Systems. Living Rev. Rel. 2014, 17, 3. [Google Scholar] [CrossRef]
- Tauris, T.M.; Kramer, M.; Freire, P.C.C.; Wex, N.; Janka, H.-T.; Langer, N.; Podsiadlowski, P.; Bozzo, E.; Chaty, S.; Kruckow, M.U.; et al. Formation of Double Neutron Star Systems. Astrophys. J. 2017, 846, 170. [Google Scholar] [CrossRef]
- Kusenko, A.; Segre, G. Velocities of pulsars and neutrino oscillations. Phys. Rev. Lett. 1996, 77, 4872–4875. [Google Scholar] [CrossRef]
- Janka, H.T.; Langanke, K.; Marek, A.; Martinez-Pinedo, G.; Mueller, B. Theory of Core-Collapse Supernovae. Phys. Rept. 2007, 442, 38–74. [Google Scholar] [CrossRef]
- Janka, H.T. Natal Kicks of Stellar-Mass Black Holes by Asymmetric Mass Ejection in Fallback Supernovae. Mon. Not. R. Astron. Soc. 2013, 434, 1355. [Google Scholar] [CrossRef]
- Lyne, A.G.; Lorimer, D.R. High birth velocities of radio pulsars. Nature 1994, 369, 127. [Google Scholar] [CrossRef]
- Kaspi, V.M.; Bailes, M.; Manchester, R.N.; Stappers, B.W.; Bell, J.F. Evidence from a precessing pulsar orbit for a neutron-star birth kick. Nature 1996, 381, 584–586. [Google Scholar] [CrossRef]
- Arzoumanian, Z.; Chernoffs, D.F.; Cordes, J.M. The Velocity distribution of isolated radio pulsars. Astrophys. J. 2002, 568, 289–301. [Google Scholar] [CrossRef]
- Chatterjee, S.; Vlemmings, W.H.T.; Brisken, W.F.; Lazio, T.J.W.; Cordes, J.M.; Goss, W.M.; Thorsett, S.E.; Fomalont, E.B.; Lyne, A.G.; Kramer, M. Getting its kicks: A vlba parallax for the hyperfast pulsar b1508+55. Astrophys. J. Lett. 2005, 630, L61–L64. [Google Scholar] [CrossRef]
- Hobbs, G.; Lorimer, D.R.; Lyne, A.G.; Kramer, M. A Statistical study of 233 pulsar proper motions. Mon. Not. R. Astron. Soc. 2005, 360, 974–992. [Google Scholar] [CrossRef]
- Verbunt, F.; Igoshev, A.; Cator, E. The observed velocity distribution of young pulsars. Astron. Astrophys. 2017, 608, A57. [Google Scholar] [CrossRef]
- Mandel, I. The Orbit of GW170817 Was Inclined by Less Than 28° to the Line of Sight. Astrophys. J. Lett. 2018, 853, L12. [Google Scholar] [CrossRef]
- Zhang, B. On the duration of gamma-ray bursts. J. High Energy Astrophys. 2025, 45, 325–332. [Google Scholar] [CrossRef]
- Gomboc, A.; Kopac, D. Duration and hardness ratio of Swift GRBs. arXiv 2010, arXiv:1006.5550. [Google Scholar] [CrossRef]
- Bromberg, O.; Nakar, E.; Piran, T.; Sari, R. Short vs Long and Collapsars vs. non-Collapsar: A quantitative classification of GRBs. Astrophys. J. 2013, 764, 179. [Google Scholar] [CrossRef]
- Amati, L.; Frontera, F.; Tavani, M.; in’t Zand, J.J.M.; Antonelli, A.; Costa, E.; Feroci, M.; Guidorzi, C.; Heise, J.; Masetti, N.; et al. Intrinsic spectra and energetics of BeppoSAX gamma-ray bursts with known redshifts. Astron. Astrophys. 2002, 390, 81. [Google Scholar] [CrossRef]
- Dainotti, M.G.; Cardone, V.F.; Capozziello, S. A time—Luminosity correlation for Gamma Ray Bursts in the X-rays. Mon. Not. R. Astron. Soc. 2008, 391, 79. [Google Scholar] [CrossRef]
- Dainotti, M.G.; Willingale, R.; Capozziello, S.; Cardone, V.F.; Ostrowski, M. Discovery of a tight correlation for gamma ray burst afterglows with `canonical’ light curves. Astrophys. J. Lett. 2010, 722, L215. [Google Scholar] [CrossRef]
- Dainotti, M.G.; Cardone, V.F.; Capozziello, S.; Ostrowski, M.; Willingale, R. Study of possible systematics in the L*X - Ta* correlation of Gamma Ray Bursts. Astrophys. J. 2011, 730, 135. [Google Scholar] [CrossRef]
- Dainotti, M.G.; Ostrowski, M.; Willingale, R. Toward a standard Gamma Ray Burst: Tight correlations between the prompt and the afterglow plateau phase emission. Mon. Not. R. Astron. Soc. 2011, 418, 2202. [Google Scholar] [CrossRef]
- Dainotti, M.G.; Cardone, V.F.; Piedipalumbo, E.; Capozziello, S. Slope evolution of GRB correlations and cosmology. Mon. Not. R. Astron. Soc. 2013, 436, 82. [Google Scholar] [CrossRef]
- Dainotti, M.G.; Petrosian, V.; Singal, J.; Ostrowski, M. Determination of the Intrinsic Luminosity Time Correlation in the X-Ray Afterglows of Gamma-Ray Bursts. Astrophys. J. 2013, 774, 157. [Google Scholar] [CrossRef]
- Dainotti, M.G.; Del Vecchio, R.; Shigehiro, N.; Capozziello, S. Selection Effects in Gamma-ray Burst Correlations: Consequences on the Ratio Between Gamma-ray Burst and Star Formation Rates. Astrophys. J. 2015, 800, 31. [Google Scholar] [CrossRef]
- Dainotti, M.G.; Petrosian, V.; Willingale, R.; O’Brien, P.; Ostrowski, M.; Nagataki, S. Luminosity–time and luminosity–luminosity correlations for GRB prompt and afterglow plateau emissions. Mon. Not. R. Astron. Soc. 2015, 451, 3898–3908. [Google Scholar] [CrossRef]
- Dainotti, M.G.; Postnikov, S.; Hernandez, X.; Ostrowski, M. A fundamental plane for long gamma-ray bursts with X-ray plateaus. Astrophys. J. Lett. 2016, 825, L20. [Google Scholar] [CrossRef]
- Dainotti, M.; Del Vecchio, R.; Tarnopolski, M. Gamma Ray Burst Prompt correlations. Adv. Astron. 2018, 2018, 4969503. [Google Scholar] [CrossRef]
- Dainotti, M.G.; Amati, L. Gamma-ray burst prompt correlations: Selection and instrumental effects. Publ. Astron. Soc. Pac. 2018, 130, 051001. [Google Scholar] [CrossRef]
- Dainotti, M.G.; Livermore, S.; Kann, D.A.; Li, L.; Oates, S.; Yi, S.; Zhang, B.; Gendre, B.; Cenko, B.; Fraija, N. The Optical Luminosity–Time Correlation for More than 100 Gamma-Ray Burst Afterglows. Astrophys. J. Lett. 2020, 905, L26. [Google Scholar] [CrossRef]
- Cao, S.; Khadka, N.; Ratra, B. Standardizing Dainotti-correlated gamma-ray bursts, and using them with standardized Amati-correlated gamma-ray bursts to constrain cosmological model parameters. Mon. Not. R. Astron. Soc. 2022, 510, 2928–2947. [Google Scholar] [CrossRef]
- Levine, D.; Dainotti, M.; Zvonarek, K.J.; Fraija, N.; Warren, D.C.; Chandra, P.; Lloyd-Ronning, N. Examining Two-dimensional Luminosity–Time Correlations for Gamma-Ray Burst Radio Afterglows with VLA and ALMA. Astrophys. J. 2022, 925, 15. [Google Scholar] [CrossRef]
- Dainotti, M.G.; Young, S.; Li, L.; Levine, D.; Kalinowski, K.K.; Kann, D.A.; Tran, B.; Zambrano-Tapia, L.; Zambrano-Tapia, A.; Cenko, S.B.; et al. The Optical Two- and Three-dimensional Fundamental Plane Correlations for Nearly 180 Gamma-Ray Burst Afterglows with Swift/UVOT, RATIR, and the Subaru Telescope. Astrophys. J. Supp. 2022, 261, 25. [Google Scholar] [CrossRef]
- Dainotti, M.G.; Lenart, A.Ł.; Chraya, A.; Sarracino, G.; Nagataki, S.; Fraija, N.; Capozziello, S.; Bogdan, M. The gamma-ray bursts fundamental plane correlation as a cosmological tool. Mon. Not. R. Astron. Soc. 2023, 518, 2201–2240. [Google Scholar] [CrossRef]
- Cao, S.; Dainotti, M.; Ratra, B. Standardizing Platinum Dainotti-correlated gamma-ray bursts, and using them with standardized Amati-correlated gamma-ray bursts to constrain cosmological model parameters. Mon. Not. R. Astron. Soc. 2022, 512, 439–454. [Google Scholar] [CrossRef] [PubMed]
- Lenart, A.Ł.; Dainotti, M.G.; Khatiya, N.; Bal, D.; Hartmann, D.H.; Fraija, N.; Zhang, B. The multiwavelength correlations quest for central engines of GRB plateaus: Magnetar vs black hole spin-down. J. High Energy Astrophys. 2025, 47, 100384. [Google Scholar] [CrossRef]
- Zhang, B.; Zhang, B.; Virgili, F.J.; Liang, E.; Kann, D.A.; Wu, X.; Proga, D.; Lv, H.; Toma, K.; Mészáros, P.; et al. Discerning the physical origins of cosmological Gamma-ray bursts based on multiple observational criteria: The cases of z=6.7 GRB 080913, z=8.3 GRB 090423, and some short/hard GRBs. Astrophys. J. 2009, 703, 1696–1724. [Google Scholar] [CrossRef]
- Schaefer, B.E. The Hubble Diagram to Redshift >6 from 69 Gamma-Ray Bursts. Astrophys. J. 2007, 660, 16–46. [Google Scholar] [CrossRef]
- Del Vecchio, R.; Dainotti, M.G.; Ostrowski, M. Study of GRB light curve decay indices in the afterglow phase. Astrophys. J. 2016, 828, 36. [Google Scholar] [CrossRef]
- Minaev, P.Y.; Pozanenko, A.S. The Ep,i–Eiso correlation: Type I gamma-ray bursts and the new classification method. Mon. Not. R. Astron. Soc. 2020, 492, 1919–1936, Erratum in Mon. Not. R. Astron. Soc. 2021, 504, 926–927. [Google Scholar] [CrossRef]
- Dainotti, M.G.; Lenart, A.Ł.; Fraija, N.; Nagataki, S.; Warren, D.C.; De Simone, B.; Srinivasaragavan, G.; Mata, A. Closure relations during the plateau emission of Swift GRBs and the fundamental plane. Publ. Astron. Soc. Jap. 2021, 73, 970–1000. [Google Scholar] [CrossRef]
- Blandford, R.D.; Znajek, R.L. Electromagnetic extractions of energy from Kerr black holes. Mon. Not. R. Astron. Soc. 1977, 179, 433–456. [Google Scholar] [CrossRef]
- Zhang, B.; Meszaros, P. Gamma-ray burst afterglow with continuous energy injection: Signature of a highly magnetized millisecond pulsar. Astrophys. J. Lett. 2001, 552, L35–L38. [Google Scholar] [CrossRef]
- van Putten, M.H.P.M. The Central Engine of GRB170817A and the Energy Budget Issue: Kerr Black Hole versus Neutron Star in a Multi-Messenger Analysis. Universe 2023, 9, 279. [Google Scholar] [CrossRef]
- Alexander, K.D.; Margutti, R.; Blanchard, P.K.; Fong, W.; Berger, E.; Hajela, A.; Eftekhari, T.; Chornock, R.; Cowperthwaite, P.S.; Giannios, D.; et al. A Decline in the X-ray through Radio Emission from GW170817 Continues to Support an Off-Axis Structured Jet. Astrophys. J. Lett. 2018, 863, L18. [Google Scholar] [CrossRef]
- Broderick, J.W.; Shimwell, T.W.; Gourdji, K.; Rowlinson, A.; Nissanke, S.; Hotokezaka, K.; Jonker, P.G.; Tasse, C.; Hardcastle, M.J.; Oonk, J.B.R.; et al. LOFAR 144-MHz follow-up observations of GW170817. Mon. Not. R. Astron. Soc. 2020, 494, 5110–5117. [Google Scholar] [CrossRef]
- D’Avanzo, P.; Campana, S.; Salafia, O.S.; Ghirlanda, G.; Ghisellini, G.; Melandri, A.; Bernardini, M.G.; Branchesi, M.; Chassande-Mottin, E.; Covino, S.; et al. The evolution of the X-ray afterglow emission of GW 170817/ GRB 170817A in XMM-Newton observations. Astron. Astrophys. 2018, 613, L1. [Google Scholar] [CrossRef]
- Dobie, D.; Kaplan, D.L.; Murphy, T.; Lenc, E.; Mooley, K.P.; Lynch, C.; Corsi, A.; Frail, D.; Kasliwal, M.; Hallinan, G. A turnover in the radio light curve of GW170817. Astrophys. J. Lett. 2018, 858, L15. [Google Scholar] [CrossRef]
- Ghirlanda, G.; Salafia, O.S.; Paragi, Z.; Giroletti, M.; Yang, J.; Marcote, B.; Blanchard, J.; Agudo, I.; An, T.; Bernardini, M.G.; et al. Compact radio emission indicates a structured jet was produced by a binary neutron star merger. Science 2019, 363, 968. [Google Scholar] [CrossRef]
- Lamb, G.P.; Lyman, J.D.; Levan, A.J.; Tanvir, N.R.; Kangas, T.; Fruchter, A.S.; Gompertz, B.; Hjorth, J.; Mandel, I.; Oates, S.R.; et al. The optical afterglow of GW170817 at one year post-merger. Astrophys. J. Lett. 2019, 870, L15. [Google Scholar] [CrossRef]
- Kim, S.; Schulze, S.; Resmi, L.; González-López, J.; Higgins, A.B.; Ishwara-Chandra, C.H.; Bauer, F.E.; de Gregorio-Monsalvo, I.; De Pasquale, M.; de Ugarte Postigo, A.; et al. ALMA and GMRT constraints on the off-axis gamma-ray burst 170817A from the binary neutron star merger GW170817. Astrophys. J. Lett. 2017, 850, L21. [Google Scholar] [CrossRef]
- Mooley, K.P.; Nakar, E.; Hotokezaka, K.; Hallinan, G.; Corsi, A.; Frail, D.A.; Horesh, A.; Murphy, T.; Lenc, E.; Kaplan, D.L.; et al. A mildly relativistic wide-angle outflow in the neutron star merger GW170817. Nature 2018, 554, 207. [Google Scholar] [CrossRef]
- Mooley, K.P.; Frail, D.A.; Dobie, D.; Lenc, E.; Corsi, A.; De, K.; Nayana, A.J.; Makhathini, S.; Heywood, I.; Murphy, T.; et al. A Strong Jet Signature in the Late-time Light Curve of GW170817. Astrophys. J. Lett. 2018, 868, L11. [Google Scholar] [CrossRef]
- Mooley, K.P.; Deller, A.T.; Gottlieb, O.; Nakar, E.; Hallinan, G.; Bourke, S.; Frail, D.A.; Horesh, A.; Corsi, A.; Hotokezaka, K. Superluminal motion of a relativistic jet in the neutron-star merger GW170817. Nature 2018, 561, 355–359. [Google Scholar] [CrossRef]
- Nynka, M.; Ruan, J.J.; Haggard, D.; Evans, P.A. Fading of the X-Ray Afterglow of Neutron Star Merger GW170817/GRB 170817A at 260 Days. Astrophys. J. Lett. 2018, 862, L19. [Google Scholar] [CrossRef]
- Piro, A.L.; Kollmeier, J.A. Evidence for Cocoon Emission from the Early Light Curve of SSS17a. Astrophys. J. 2018, 855, 103. [Google Scholar] [CrossRef]
- Resmi, L.; Schulze, S.; Ishwara-Chandra, C.H.; Misra, K.; Buchner, J.; De Pasquale, M.; Sánchez-Ramírez, R.; Klose, S.; Kim, S.; Tanvir, N.R.; et al. Low-frequency View of GW170817/GRB 170817A with the Giant Metrewave Radio Telescope. Astrophys. J. 2018, 867, 57. [Google Scholar] [CrossRef]
- Ruan, J.J.; Nynka, M.; Haggard, D.; Kalogera, V.; Evans, P. Brightening X-Ray Emission from GW170817/GRB 170817A: Further Evidence for an Outflow. Astrophys. J. Lett. 2018, 853, L4. [Google Scholar] [CrossRef]
- Troja, E.; van Eerten, H.; Ryan, G.; Ricci, R.; Burgess, J.M.; Wieringa, M.H.; Piro, L.; Cenko, S.B.; Sakamoto, T. A year in the life of GW 170817: The rise and fall of a structured jet from a binary neutron star merger. Mon. Not. R. Astron. Soc. 2019, 489, 1919–1926. [Google Scholar] [CrossRef]
- Troja, E.; Piro, L.; Ryan, G.; van Eerten, H.; Ricci, R.; Wieringa, M.; Lotti, S.; Sakamoto, T.; Cenko, S.B. The outflow structure of GW170817 from late-time broad-band observations. Mon. Not. R. Astron. Soc. 2018, 478, L18–L23. [Google Scholar] [CrossRef]
- Troja, E.; van Eerten, H.; Zhang, B.; Ryan, G.; Piro, L.; Ricci, R.; O’Connor, B.; Wieringa, M.H.; Cenko, S.B.; Sakamoto, T. A thousand days after the merger: Continued X-ray emission from GW170817. Mon. Not. R. Astron. Soc. 2020, 498, 5643–5651. [Google Scholar] [CrossRef]
- Troja, E.; O’Connor, B.; Ryan, G.; Piro, L.; Ricci, R.; Zhang, B.; Piran, T.; Bruni, G.; Cenko, S.B.; van Eerten, H. Accurate flux calibration of GW170817: Is the X-ray counterpart on the rise? Mon. Not. R. Astron. Soc. 2022, 510, 1902–1909. [Google Scholar] [CrossRef]
- Balasubramanian, A.; Corsi, A.; Mooley, K.P.; Hotokezaka, K.; Kaplan, D.L.; Frail, D.A.; Hallinan, G.; Lazzati, D.; Murphy, E.J. GW170817 4.5 Yr After Merger: Dynamical Ejecta Afterglow Constraints. Astrophys. J. 2022, 938, 12. [Google Scholar] [CrossRef]
- Ryan, G.; van Eerten, H.; Troja, E.; Piro, L.; O’Connor, B.; Ricci, R. Modeling of Long-term Afterglow Counterparts to Gravitational Wave Events: The Full View of GRB 170817A. Astrophys. J. 2024, 975, 131. [Google Scholar] [CrossRef]
- Makhathini, S.; Mooley, K.P.; Brightman, M.; Hotokezaka, K.; Nayana, A.J.; Intema, H.T.; Dobie, D.; Lenc, E.; Perley, D.A.; Fremling, C.; et al. The Panchromatic Afterglow of GW170817: The Full Uniform Data Set, Modeling, Comparison with Previous Results, and Implications. Astrophys. J. 2021, 922, 154. [Google Scholar] [CrossRef]
- Kilpatrick, C.D.; Fong, W.; Blanchard, P.K.; Leja, J.; Nugent, A.E.; Palmese, A.; Paterson, K.; Starkenburg, T.; Alexander, K.D.; Berger, E.; et al. Hubble Space Telescope Observations of GW170817: Complete Light Curves and the Properties of the Galaxy Merger of NGC 4993. Astrophys. J. 2022, 926, 49. [Google Scholar] [CrossRef]
- Katira, A.; Mooley, K.P.; Hotokezaka, K. The Late-time Afterglow of GW170817 and Implications for Jet Dynamics. Mon. Not. R. Astron. Soc. 2025, 539, 2654–2664. [Google Scholar] [CrossRef]
- Hajela, A.; Margutti, R.; Bright, J.S.; Alexander, K.D.; Metzger, B.D.; Nedora, V.; Kathirgamaraju, A.; Margalit, B.; Radice, D.; Guidorzi, C.; et al. Evidence for X-Ray Emission in Excess to the Jet-afterglow Decay 3.5 yr after the Binary Neutron Star Merger GW 170817: A New Emission Component. Astrophys. J. Lett. 2022, 927, L17. [Google Scholar] [CrossRef]
- Balasubramanian, A.; Corsi, A.; Mooley, K.P.; Brightman, M.; Hallinan, G.; Hotokezaka, K.; Kaplan, D.L.; Lazzati, D.; Murphy, E.J. Continued Radio Observations of GW170817 3.5 yr Post-merger. Astrophys. J. Lett. 2021, 914, L20. [Google Scholar] [CrossRef]
- Dastidar, R.G.; Duffell, P.C. Could the Recent Rebrightening of the GW170817A Afterglow Be Caused by a Counterjet? Astrophys. J. 2024, 976, 252. [Google Scholar] [CrossRef]
- Villar, V.A.; Cowperthwaite, P.S.; Berger, E.; Blanchard, P.K.; Gomez, S.; Alexander, K.D.; Margutti, R.; Chornock, R.; Eftekhari, T.; Fazio, G.G.; et al. Spitzer Space Telescope Infrared Observations of the Binary Neutron Star Merger GW170817. Astrophys. J. Lett. 2018, 862, L11. [Google Scholar] [CrossRef]
- Wu, M.R.; Barnes, J.; Martinez-Pinedo, G.; Metzger, B.D. Fingerprints of heavy element nucleosynthesis in the late-time lightcurves of kilonovae. Phys. Rev. Lett. 2019, 122, 062701. [Google Scholar] [CrossRef]
- Palmese, A.; Kaur, R.; Hajela, A.; Margutti, R.; McDowell, A.; MacFadyen, A. Standard siren measurement of the Hubble constant using GW170817 and the latest observations of the electromagnetic counterpart afterglow. Phys. Rev. D 2024, 109, 063508. [Google Scholar] [CrossRef]
- Lazzati, D.; Perna, R.; Morsony, B.J.; López-Cámara, D.; Cantiello, M.; Ciolfi, R.; Giacomazzo, B.; Workman, J.C. Late time afterglow observations reveal a collimated relativistic jet in the ejecta of the binary neutron star merger GW170817. Phys. Rev. Lett. 2018, 120, 241103. [Google Scholar] [CrossRef]
- Nakar, E.; Gottlieb, O.; Piran, T.; Kasliwal, M.M.; Hallinan, G. From γ to Radio - The Electromagnetic Counterpart of GW 170817. Astrophys. J. 2018, 867, 18. [Google Scholar] [CrossRef]
- Ioka, K.; Nakamura, T. Spectral Puzzle of the Off-Axis Gamma-Ray Burst in GW170817. Mon. Not. R. Astron. Soc. 2019, 487, 4884–4889. [Google Scholar] [CrossRef]
- Cutler, C.; Apostolatos, T.A.; Bildsten, L.; Finn, L.S.; Flanagan, E.E.; Kennefick, D.; Markovic, D.M.; Ori, A.; Poisson, E.; Sussman, G.J.; et al. The Last three minutes: Issues in gravitational wave measurements of coalescing compact binaries. Phys. Rev. Lett. 1993, 70, 2984–2987. [Google Scholar] [CrossRef]
- Damour, T. Gravitational radiation and the motion of compact bodies. In Lecture Notes in Physics; Springer: Berlin, Germany, 1983; Volume 124, pp. 59–144. [Google Scholar]
- Damour, T.; Soffel, M.; Xu, C.m. General relativistic celestial mechanics. 2. Translational equations of motion. Phys. Rev. D 1992, 45, 1017–1044. [Google Scholar] [CrossRef]
- Flanagan, E.E.; Hinderer, T. Constraining neutron star tidal Love numbers with gravitational wave detectors. Phys. Rev. D 2008, 77, 021502. [Google Scholar] [CrossRef]
- Hinderer, T. Tidal Love numbers of neutron stars. Astrophys. J. 2008, 677, 1216–1220, Erratum in Astrophys. J. 2009, 697, 964. [Google Scholar] [CrossRef]
- Binnington, T.; Poisson, E. Relativistic theory of tidal Love numbers. Phys. Rev. D 2009, 80, 084018. [Google Scholar] [CrossRef]
- Damour, T.; Nagar, A. Relativistic tidal properties of neutron stars. Phys. Rev. D 2009, 80, 084035. [Google Scholar] [CrossRef]
- Hinderer, T.; Lackey, B.D.; Lang, R.N.; Read, J.S. Tidal deformability of neutron stars with realistic equations of state and their gravitational wave signatures in binary inspiral. Phys. Rev. D 2010, 81, 123016. [Google Scholar] [CrossRef]
- Postnikov, S.; Prakash, M.; Lattimer, J.M. Tidal Love Numbers of Neutron and Self-Bound Quark Stars. Phys. Rev. D 2010, 82, 024016. [Google Scholar] [CrossRef]
- Kol, B.; Smolkin, M. Black hole stereotyping: Induced gravito-static polarization. JHEP 2012, 02, 10. [Google Scholar] [CrossRef]
- Pani, P.; Gualtieri, L.; Maselli, A.; Ferrari, V. Tidal deformations of a spinning compact object. Phys. Rev. D 2015, 92, 024010. [Google Scholar] [CrossRef]
- Landry, P.; Poisson, E. Tidal deformation of a slowly rotating material body. External metric. Phys. Rev. D 2015, 91, 104018. [Google Scholar] [CrossRef]
- Read, J.S.; Markakis, C.; Shibata, M.; Uryu, K.; Creighton, J.D.E.; Friedman, J.L. Measuring the neutron star equation of state with gravitational wave observations. Phys. Rev. D 2009, 79, 124033. [Google Scholar] [CrossRef]
- Damour, T.; Nagar, A.; Villain, L. Measurability of the tidal polarizability of neutron stars in late-inspiral gravitational-wave signals. Phys. Rev. D 2012, 85, 123007. [Google Scholar] [CrossRef]
- Del Pozzo, W.; Li, T.G.F.; Agathos, M.; Van Den Broeck, C.; Vitale, S. Demonstrating the feasibility of probing the neutron star equation of state with second-generation gravitational wave detectors. Phys. Rev. Lett. 2013, 111, 071101. [Google Scholar] [CrossRef]
- Favata, M. Systematic parameter errors in inspiraling neutron star binaries. Phys. Rev. Lett. 2014, 112, 101101. [Google Scholar] [CrossRef]
- Yagi, K.; Yunes, N. Love can be Tough to Measure. Phys. Rev. D 2014, 89, 021303. [Google Scholar] [CrossRef]
- Bernuzzi, S.; Nagar, A.; Balmelli, S.; Dietrich, T.; Ujevic, M. Quasiuniversal properties of neutron star mergers. Phys. Rev. Lett. 2014, 112, 201101. [Google Scholar] [CrossRef]
- Wade, L.; Creighton, J.D.E.; Ochsner, E.; Lackey, B.D.; Farr, B.F.; Littenberg, T.B.; Raymond, V. Systematic and statistical errors in a bayesian approach to the estimation of the neutron-star equation of state using advanced gravitational wave detectors. Phys. Rev. D 2014, 89, 103012. [Google Scholar] [CrossRef]
- Agathos, M.; Meidam, J.; Del Pozzo, W.; Li, T.G.F.; Tompitak, M.; Veitch, J.; Vitale, S.; Van Den Broeck, C. Constraining the neutron star equation of state with gravitational wave signals from coalescing binary neutron stars. Phys. Rev. D 2015, 92, 023012. [Google Scholar] [CrossRef]
- Hotokezaka, K.; Kyutoku, K.; Sekiguchi, Y.i.; Shibata, M. Measurability of the tidal deformability by gravitational waves from coalescing binary neutron stars. Phys. Rev. D 2016, 93, 064082. [Google Scholar] [CrossRef]
- Cullen, T.; Harry, I.; Read, J.; Flynn, E. Matter Effects on LIGO/Virgo Searches for Gravitational Waves from Merging Neutron Stars. Class. Quant. Grav. 2017, 34, 245003. [Google Scholar] [CrossRef]
- Müther, H.; Prakash, M.; Ainsworth, T.L. The nuclear symmetry energy in relativistic Brueckner-Hartree-Fock calculations. Phys. Lett. B 1987, 199, 469–474. [Google Scholar] [CrossRef]
- Akmal, A.; Pandharipande, V.R.; Ravenhall, D.G. The Equation of state of nucleon matter and neutron star structure. Phys. Rev. C 1998, 58, 1804–1828. [Google Scholar] [CrossRef]
- Douchin, F.; Haensel, P. A unified equation of state of dense matter and neutron star structure. Astron. Astrophys. 2001, 380, 151. [Google Scholar] [CrossRef]
- Lackey, B.D.; Nayyar, M.; Owen, B.J. Observational constraints on hyperons in neutron stars. Phys. Rev. D 2006, 73, 024021. [Google Scholar] [CrossRef]
- Read, J.S.; Lackey, B.D.; Owen, B.J.; Friedman, J.L. Constraints on a phenomenologically parameterized neutron-star equation of state. Phys. Rev. D 2009, 79, 124032. [Google Scholar] [CrossRef]
- Lattimer, J.M.; Prakash, M. The Equation of State of Hot, Dense Matter and Neutron Stars. Phys. Rept. 2016, 621, 127–164. [Google Scholar] [CrossRef]
- Watts, A.L.; Andersson, N.; Chakrabarty, D.; Feroci, M.; Hebeler, K.; Israel, G.; Lamb, F.K.; Miller, M.C.; Morsink, S.; Özel, F.; et al. Colloquium: Measuring the neutron star equation of state using x-ray timing. Rev. Mod. Phys. 2016, 88, 021001. [Google Scholar] [CrossRef]
- Özel, F.; Freire, P. Masses, Radii, and the Equation of State of Neutron Stars. Ann. Rev. Astron. Astrophys. 2016, 54, 401–440. [Google Scholar] [CrossRef]
- Nättilä, J.; Miller, M.C.; Steiner, A.W.; Kajava, J.J.E.; Suleimanov, V.F.; Poutanen, J. Neutron star mass and radius measurements from atmospheric model fits to X-ray burst cooling tail spectra. Astron. Astrophys. 2017, 608, A31. [Google Scholar] [CrossRef]
- Steiner, A.W.; Heinke, C.O.; Bogdanov, S.; Li, C.; Ho, W.C.G.; Bahramian, A.; Han, S. Constraining the Mass and Radius of Neutron Stars in Globular Clusters. Mon. Not. R. Astron. Soc. 2018, 476, 421–435. [Google Scholar] [CrossRef]
- Abbott, B.P.; Abbott, R.; Abbott, T.D.; Acernese, F.; Ackley, K.; Adams, C.; Adams, T.; Addesso, P.; Adhikari, R.X.; Adya, V.B.; et al. GW170817: Measurements of neutron star radii and equation of state. Phys. Rev. Lett. 2018, 121, 161101. [Google Scholar] [CrossRef] [PubMed]
- Radice, D.; Dai, L. Multimessenger Parameter Estimation of GW170817. Eur. Phys. J. A 2019, 55, 50. [Google Scholar] [CrossRef]
- Coughlin, M.W.; Dietrich, T.; Margalit, B.; Metzger, B.D. timessenger Bayesian parameter inference of a binary neutron star merger. Mon. Not. R. Astron. Soc. 2019, 489, L91–L96. [Google Scholar] [CrossRef]
- Antoniadis, J.; Freire, P.C.C.; Wex, N.; Tauris, T.M.; Lynch, R.S.; van Kerkwijk, M.H.; Kramer, M.; Bassa, C.; Dhillon, V.S.; Driebe, T.; et al. A Massive Pulsar in a Compact Relativistic Binary. Science 2013, 340, 6131. [Google Scholar] [CrossRef]
- Cromartie, H.T. et al. [NANOGrav Collaboration] Relativistic Shapiro delay measurements of an extremely massive millisecond pulsar. Nat. Astron. 2019, 4, 72–76. [Google Scholar] [CrossRef]
- Romani, R.W.; Kandel, D.; Filippenko, A.V.; Brink, T.G.; Zheng, W. PSR J0952-0607: The Fastest and Heaviest Known Galactic Neutron Star. Astrophys. J. Lett. 2022, 934, L17. [Google Scholar] [CrossRef]
- Ruiz, M.; Shapiro, S.L.; Tsokaros, A. GW170817, General Relativistic Magnetohydrodynamic Simulations, and the Neutron Star Maximum Mass. Phys. Rev. D 2018, 97, 021501. [Google Scholar] [CrossRef]
- Fan, Y.Z.; Han, M.Z.; Jiang, J.L.; Shao, D.S.; Tang, S.P. Maximum gravitational mass MTOV=2.25-0.07+0.08M⊙ inferred at about 3% precision with multimessenger data of neutron stars. Phys. Rev. D 2024, 109, 043052. [Google Scholar] [CrossRef]
- Ai, S.; Gao, H.; Yuan, Y.; Zhang, B.; Lan, L. What constraints can one pose on the maximum mass of neutron stars from multimessenger observations? Mon. Not. R. Astron. Soc. 2023, 526, 6260–6273. [Google Scholar] [CrossRef]
- Schutz, B.F. Determining the Hubble Constant from Gravitational Wave Observations. Nature 1986, 323, 310–311. [Google Scholar] [CrossRef]
- Aghanim, N. et al. [Planck Collaboration] Planck 2018 results. VI. Cosmological parameters. Astron. Astrophys. 2020, 641, A6, Erratum in Astron. Astrophys. 2021, 652, C4. [Google Scholar] [CrossRef]
- Riess, A.G.; Casertano, S.; Yuan, W.; Macri, L.M.; Scolnic, D. Large Magellanic Cloud Cepheid Standards Provide a 1% Foundation for the Determination of the Hubble Constant and Stronger Evidence for Physics beyond ΛCDM. Astrophys. J. 2019, 876, 85. [Google Scholar] [CrossRef]
- Poggiani, R. Estimating Hubble Constant with Gravitational Observations: A Concise Review. Galaxies 2025, 13, 65. [Google Scholar] [CrossRef]
- Di Valentino, E.; Mena, O.; Pan, S.; Visinelli, L.; Yang, W.; Melchiorri, A.; Mota, D.F.; Riess, A.G.; Silk, J. In the realm of the Hubble tension—A review of solutions. Class. Quant. Grav. 2021, 38, 153001. [Google Scholar] [CrossRef]
- Dainotti, M.G.; Nagataki, S.; Maeda, K.; Postnikov, S.; Pian, E. A study of gamma ray bursts with afterglow plateau phases associated with supernovae. Astron. Astrophys. 2017, 600, A98. [Google Scholar] [CrossRef]
- Dainotti, M.G.; De Simone, B.; Schiavone, T.; Montani, G.; Rinaldi, E.; Lambiase, G. On the Hubble constant tension in the SNe Ia Pantheon sample. Astrophys. J. 2021, 912, 150. [Google Scholar] [CrossRef]
- Dainotti, M.G.; De Simone, B.; Khadir, M.I.; Kawaguchi, K.; Moriya, T.J.; Takiwaki, T.; Tominaga, N.; Gangopadhyay, A. The Quest for New Correlations in the Realm of the Gamma-Ray Burst—Supernova Connection. Astrophys. J. 2022, 938, 41. [Google Scholar] [CrossRef]
- Dainotti, M.G.; Nielson, V.; Sarracino, G.; Rinaldi, E.; Nagataki, S.; Capozziello, S.; Gnedin, O.Y.; Bargiacchi, G. Optical and X-ray GRB Fundamental Planes as cosmological distance indicators. Mon. Not. R. Astron. Soc. 2022, 514, 1828–1856. [Google Scholar] [CrossRef]
- Cao, S.; Dainotti, M.; Ratra, B. Gamma-ray burst data strongly favour the three-parameter fundamental plane (Dainotti) correlation over the two-parameter one. Mon. Not. R. Astron. Soc. 2022, 516, 1386–1405. [Google Scholar] [CrossRef]
- Dainotti, M.G.; De Simone, B.; Schiavone, T.; Montani, G.; Rinaldi, E.; Lambiase, G.; Bogdan, M.; Ugale, S. On the Evolution of the Hubble Constant with the SNe Ia Pantheon Sample and Baryon Acoustic Oscillations: A Feasibility Study for GRB-Cosmology in 2030. Galaxies 2022, 10, 24. [Google Scholar] [CrossRef]
- Shah, P.; Lemos, P.; Lahav, O. A buyer’s guide to the Hubble constant. Astron. Astrophys. Rev. 2021, 29, 9. [Google Scholar] [CrossRef]
- Freedman, W.L.; Madore, B.F. Progress in direct measurements of the Hubble constant. JCAP 2023, 11, 050. [Google Scholar] [CrossRef]
- Verde, L.; Schöneberg, N.; Gil-Marín, H. A Tale of Many H0. Ann. Rev. Astron. Astrophys. 2024, 62, 287–331. [Google Scholar] [CrossRef]
- Bargiacchi, G.; Dainotti, M.G.; Nagataki, S.; Capozziello, S. Gamma-ray bursts, quasars, baryonic acoustic oscillations, and supernovae Ia: New statistical insights and cosmological constraints. Mon. Not. R. Astron. Soc. 2023, 521, 3909–3924. [Google Scholar] [CrossRef]
- Dainotti, M.G.; Bargiacchi, G.; Bogdan, M.; Lenart, A.Ł.; Iwasaki, K.; Capozziello, S.; Zhang, B.; Fraija, N. Reducing the Uncertainty on the Hubble Constant up to 35% with an Improved Statistical Analysis: Different Best-fit Likelihoods for Type Ia Supernovae, Baryon Acoustic Oscillations, Quasars, and Gamma-Ray Bursts. Astrophys. J. 2023, 951, 63. [Google Scholar] [CrossRef]
- Dainotti, M.; De Simone, B.; Montani, G.; Schiavone, T.; Lambiase., G. The Hubble constant tension: Current status and future perspectives through new cosmological probes. PoS 2023, 436, 235. [Google Scholar] [CrossRef]
- Lenart, A.Ł.; Bargiacchi, G.; Dainotti, M.G.; Nagataki, S.; Capozziello, S. A Bias-free Cosmological Analysis with Quasars Alleviating H 0 Tension. Astrophys. J. Suppl. 2023, 264, 46. [Google Scholar] [CrossRef]
- Dainotti, M.G.; Bargiacchi, G.; Bogdan, M.; Capozziello, S.; Nagataki, S. On the statistical assumption on the distance moduli of Supernovae Ia and its impact on the determination of cosmological parameters. JHEAp 2024, 41, 30–41. [Google Scholar] [CrossRef]
- Dainotti, M.G.; Bargiacchi, G.; Lenart, A.Ł.; Capozziello, S. The Scavenger Hunt for Quasar Samples to Be Used as Cosmological Tools. Galaxies 2024, 12, 4. [Google Scholar] [CrossRef]
- Adil, S.A.; Dainotti, M.G.; Sen, A.A. Revisiting the concordance ΛCDM model using Gamma-Ray Bursts together with supernovae Ia and Planck data. JCAP 2024, 8, 015. [Google Scholar] [CrossRef]
- Dainotti, M.G.; Narendra, A.; Pollo, A.; Petrosian, V.; Bogdan, M.; Iwasaki, K.; Prochaska, J.X.; Rinaldi, E.; Zhou, D. Gamma-Ray Bursts as Distance Indicators by a Statistical Learning Approach. Astrophys. J. Lett. 2024, 967, L30. [Google Scholar] [CrossRef]
- Dainotti, M.G.; De Simone, B.; Montani, G.; Rinaldi, E.; Bogdan, M.; Mohammed Islam, K.; Gangopadhyay, A. Supernovae Ia and Gamma-Ray Bursts together shed new lights on the Hubble constant tension and cosmology. PoS 2023, 444, 1367. [Google Scholar] [CrossRef]
- De Simone, B.; van Putten, M.H.P.M.; Dainotti, M.G.; Lambiase, G. A doublet of cosmological models to challenge the H0 tension in the Pantheon Supernovae Ia catalog. JHEAp 2025, 45, 290–298. [Google Scholar] [CrossRef]
- Bargiacchi, G.; Dainotti, M.G.; Capozziello, S. High-redshift cosmology by Gamma-Ray Bursts: An overview. New Astron. Rev. 2025, 100, 101712. [Google Scholar] [CrossRef]
- Dainotti, M.G.; De Simone, B.; Garg, A.; Kohri, K.; Bashyal, A.; Aich, A.; Mondal, A.; Nagataki, S.; Montani, G.; Jareen, T.; et al. A New Master Supernovae Ia sample and the investigation of the Hubble tension. JHEAp 2025, 48, 100405. [Google Scholar] [CrossRef]
- Dainotti, M.G.; De Simone, B. Supernovae Ia, high-redshift probes, and the Hubble tension: Current status and future perspectives. arXiv 2025, arXiv:2501.14944. [Google Scholar] [CrossRef]
- Fazzari, E.; Dainotti, M.G.; Montani, G.; Melchiorri, A. The effective running Hubble constant in SNe Ia as a marker for the dark energy nature. arXiv 2025, arXiv:2506.04162. [Google Scholar] [CrossRef]
- Abbott, B.P.; Abbott, R.; Abbott, T.D.; Acernese, F.; Ackley, K.; Adams, C.; Adams, T.; Addesso, P.; Adhikari, R.X.; Adya, V.B.; et al. A gravitational-wave standard siren measurement of the Hubble constant. Nature 2017, 551, 85–88. [Google Scholar] [CrossRef]
- Aghanim, N. et al. [Planck Collaboration] Planck 2015 results. XXII. A map of the thermal Sunyaev-Zeldovich effect. Astron. Astrophys. 2016, 594, A22. [Google Scholar] [CrossRef]
- Riess, A.G.; Macri, L.M.; Hoffmann, S.L.; Scolnic, D.; Casertano, S.; Filippenko, A.V.; Tucker, B.E.; Reid, M.J.; Jones, D.O.; Silverman, J.M.; et al. A 2.4% Determination of the Local Value of the Hubble Constant. Astrophys. J. 2016, 826, 56. [Google Scholar] [CrossRef]
- Chen, H.Y.; Vitale, S.; Narayan, R. Viewing angle of binary neutron star mergers. Phys. Rev. X 2019, 9, 031028. [Google Scholar] [CrossRef]
- Abbott, B.P.; Abbott, R.; Abbott, T.D.; Acernese, F.; Ackley, K.; Adams, C.; Adams, T.; Addesso, P.; Adhikari, R.X.; Adya, V.B.; et al. Tests of General Relativity with GW170817. Phys. Rev. Lett. 2019, 123, 011102. [Google Scholar] [CrossRef] [PubMed]
- Jin, Z.P.; Hotokezaka, K.; Li, X.; Tanaka, M.; D’Avanzo, P.; Fan, Y.Z.; Covino, S.; Wei, D.M.; Piran, T. The Macronova in GRB 050709 and the GRB/macronova connection. Nat. Commun. 2016, 7, 12898. [Google Scholar] [CrossRef]
- Yang, B.; Jin, Z.P.; Li, X.; Covino, S.; Zheng, X.Z.; Hotokezaka, K.; Fan, Y.Z.; Piran, T.; Wei, D.M. A possible Macronova in the late afterglow of the `long-short’ burst GRB 060614. Nat. Commun. 2015, 6, 7323. [Google Scholar] [CrossRef]
- Jin, Z.P.; Li, X.; Cano, Z.; Covino, S.; Fan, Y.Z.; Wei, D.M. The Light Curve of the Macronova Associated with the Long–short Burst GRB 060614. Astrophys. J. Lett. 2015, 811, L22. [Google Scholar] [CrossRef]
- Zhu, Y.M.; Zhou, H.; Wang, Y.; Liao, N.H.; Jin, Z.P.; Wei, D.M. The afterglow of GRB 070707 and a possible kilonova component. Mon. Not. R. Astron. Soc. 2023, 521, 269–277. [Google Scholar] [CrossRef]
- Gao, H.; Ding, X.; Wu, X.F.; Dai, Z.G.; Zhang, B. GRB 080503 late afterglow re-brightening: Signature of a magnetar powered merger-nova. Astrophys. J. 2015, 807, 163. [Google Scholar] [CrossRef]
- Zhou, H.; Jin, Z.P.; Covino, S.; Lei, L.; An, Y.; Gong, H.Y.; Fan, Y.Z.; Wei, D.M. GRB 080503: A Very Early Blue Kilonova and an Adjacent Nonthermal Radiation Component. Astrophys. J. 2023, 943, 104. [Google Scholar] [CrossRef]
- Troja, E.; Ryan, G.; Piro, L.; van Eerten, H.; Cenko, S.B.; Yoon, Y.; Lee, S.-K.; Im, M.; Sakamoto, T.; Gatkine, P.; et al. A luminous blue kilonova and an off-axis jet from a compact binary merger at z=0.1341. Nat. Commun. 2018, 9, 4089. [Google Scholar] [CrossRef]
- Stratta, G.; Nicuesa Guelbenzu, A.M.; Klose, S.; Rossi, A.; Singh, P.; Palazzi, E.; Guidorzi, C.; Camisasca, A.; Bernuzzi, S.; Rau, A.; et al. The Puzzling Long GRB 191019A: Evidence for Kilonova Light. Astrophys. J. 2025, 979, 159. [Google Scholar] [CrossRef]
- Rastinejad, J.C.; Gompertz, B.P.; Levan, A.J.; Fong, W.; Nicholl, M.; Lamb, G.P.; Malesani, D.B.; Nugent, A.E.; Oates, S.R.; Tanvir, N.R.; et al. A kilonova following a long-duration gamma-ray burst at 350 Mpc. Nature 2022, 612, 223–227. [Google Scholar] [CrossRef] [PubMed]
- Levan, A.J.; Gompertz, B.P.; Salafia, O.S.; Bulla, M.; Burns, E.; Hotokezaka, K.; Izzo, L.; Lamb, G.P.; Malesani, D.B.; Oates, S.R.; et al. Heavy-element production in a compact object merger observed by JWST. Nature 2024, 626, 737–741. [Google Scholar] [CrossRef]
- Gillanders, J.H.; Troja, E.; Fryer, C.L.; Ristic, M.; O’Connor, B.; Fontes, C.J.; Yang, Y.-H.; Domoto, N.; Rahmouni, S.; Tanaka, M.; et al. Heavy element nucleosynthesis associated with a gamma-ray burst. arXiv 2023, arXiv:2308.00633. [Google Scholar] [CrossRef]
- Norris, J.P.; Bonnell, J.T. Short gamma-ray bursts with extended emission. Astrophys. J. 2006, 643, 266–275. [Google Scholar] [CrossRef]
- Escorial, A.R.; Fong, W.; Berger, E.; Laskar, T.; Margutti, R.; Schroeder, G.; Rastinejad, J.C.; Cornish, D.; Popp, S.; Lally, M.; et al. The Jet Opening Angle and Event Rate Distributions of Short Gamma-Ray Bursts from Late-time X-Ray Afterglows. Astrophys. J. 2023, 959, 13. [Google Scholar] [CrossRef]
- Abbott, R.; Abbott, T.D.; Acernese, F.; Ackley, K.; Adams, C.; Adhikari, N.; Adhikari, R.X.; Adya, V.B.; Affeldt, C.; Agarwal, D.; et al. Population of Merging Compact Binaries Inferred Using Gravitational Waves through GWTC-3. Phys. Rev. X 2023, 13, 011048. [Google Scholar] [CrossRef]
- O’Shaughnessy, R.; Kim, C. Pulsar Binary Birthrates with Spin-Opening Angle Correlations. Astrophys. J. 2010, 715, 230–241. [Google Scholar] [CrossRef]
- Grunthal, K.; Kramer, M.; Desvignes, G. Revisiting the Galactic Double Neutron Star merger and LIGO detection rates. Mon. Not. R. Astron. Soc. 2021, 507, 5658–5670. [Google Scholar] [CrossRef]
- Petrosian, V.; Dainotti, M.G. Progenitors of Low-redshift Gamma-Ray Bursts. Astrophys. J. Lett. 2024, 963, L12. [Google Scholar] [CrossRef]
- Doctor, Z. et al. [DES Collaboration] A Search for Kilonovae in the Dark Energy Survey. Astrophys. J. 2017, 837, 57. [Google Scholar] [CrossRef]
- Andreoni, I.; Kool, E.C.; Sagués Carracedo, A.; Kasliwal, M.M.; Bulla, M.; Ahumada, T.; Coughlin, M.W.; Anand, S.; Sollerman, J.; Goobar, A.; et al. Constraining the Kilonova Rate with Zwicky Transient Facility Searches Independent of Gravitational Wave and Short Gamma-ray Burst Triggers. Astrophys. J. 2020, 904, 155. [Google Scholar] [CrossRef]
- Frostig, D.; Biscoveanu, S.; Mo, G.; Karambelkar, V.; Dal Canton, T.; Chen, H.-Y.; Kasliwal, M.; Katsavounidis, E.; Lourie, N.P.; Simcoe, R.A.; et al. An Infrared Search for Kilonovae with the WINTER Telescope. I. Binary Neutron Star Mergers. Astrophys. J. 2022, 926, 152. [Google Scholar] [CrossRef]
- McBrien, O.R.; Smartt, S.J.; Huber, M.E.; Rest, A.; Chambers, K.C.; Barbieri, C.; Bulla, M.; Jha, S.; Gromadzki, M.; Srivastav, S.; et al. PS15cey and PS17cke: Prospective candidates from the Pan-STARRS Search for Kilonovae. Mon. Not. R. Astron. Soc. 2020, 500, 4213–4228. [Google Scholar] [CrossRef]
- Van Bemmel, N.; Zhang, J.; Cooke, J.; Rest, A.; Möller, A.; Andreoni, I.; Auchettl, K.; Dobie, D.; Gendre, B.; Goode, S.; et al. An optically led search for kilonovae to z∼0.3 with the Kilonova and Transients Programme (KNTraP). Mon. Not. R. Astron. Soc. 2025, 537, 3332–3348. [Google Scholar] [CrossRef]
- Rueda, J.A.; Ruffini, R.; Wang, Y.; Aimuratov, Y.; Barres de Almeida, U.; Bianco, C.L.; Chen, Y.C.; Lobato, R.V.; Maia, C.; Primorac, D.; et al. GRB 170817A-GW170817-AT 2017gfo and the observations of NS-NS, NS-WD and WD-WD mergers. JCAP 2018, 10, 006. [Google Scholar] [CrossRef]
- Beniamini, P.; Duran, R.B.; Petropoulou, M.; Giannios, D. Ready, Set, Launch: Time Interval between a Binary Neutron Star Merger and Short Gamma-Ray Burst Jet Formation. Astrophys. J. Lett. 2020, 895, L33. [Google Scholar] [CrossRef]
- Salafia, O.S.; Ghisellini, G.; Ghirlanda, G.; Colpi, M. Interpreting GRB170817A as a giant flare from a jet-less double neutron-star merger. Astron. Astrophys. 2018, 619, A18. [Google Scholar] [CrossRef]
- Wang, H.; Zhang, F.; Wang, Y.; Shen, Z.; Liang, Y.; Li, X.; Liao, N.; Jin, Z.; Yuan, Q.; Zou, Y.; et al. The GW170817/GRB 170817A/AT 2017gfo Association: Some Implications for Physics and Astrophysics. Astrophys. J. Lett. 2017, 851, L18. [Google Scholar] [CrossRef]
- Boran, S.; Desai, S.; Kahya, E.O.; Woodard, R.P. GW170817 Falsifies Dark Matter Emulators. Phys. Rev. D 2018, 97, 041501. [Google Scholar] [CrossRef]
- Rezzolla, L.; Kumar, P. A novel paradigm for short gamma-ray bursts with extended X-ray emission. Astrophys. J. 2015, 802, 95. [Google Scholar] [CrossRef]
- Ciolfi, R.; Siegel, D.M. Short gamma-ray bursts in the ”time-reversal” scenario. Astrophys. J. Lett. 2015, 798, L36. [Google Scholar] [CrossRef]
- Tsang, D.; Read, J.S.; Hinderer, T.; Piro, A.L.; Bondarescu, R. Resonant Shattering of Neutron Star Crusts. Phys. Rev. Lett. 2012, 108, 011102. [Google Scholar] [CrossRef] [PubMed]
- Kostelecky, V.A.; Russell, N. Data Tables for Lorentz and CPT Violation. Rev. Mod. Phys. 2011, 83, 11–31. [Google Scholar] [CrossRef]
- Cornish, N.; Blas, D.; Nardini, G. Bounding the speed of gravity with gravitational wave observations. Phys. Rev. Lett. 2017, 119, 161102. [Google Scholar] [CrossRef]
- Clifton, T.; Ferreira, P.G.; Padilla, A.; Skordis, C. Modified Gravity and Cosmology. Phys. Rept. 2012, 513, 1–189. [Google Scholar] [CrossRef]
- Joyce, A.; Jain, B.; Khoury, J.; Trodden, M. Beyond the Cosmological Standard Model. Phys. Rept. 2015, 568, 1–98. [Google Scholar] [CrossRef]
- Kahya, E.O.; Woodard, R.P. A generic test of modified gravity models which emulate dark matter. Phys. Lett. B 2007, 652, 213–216. [Google Scholar] [CrossRef]
- Desai, S.; Kahya, E.O.; Woodard, R.P. Reduced time delay for gravitational waves with dark matter emulators. Phys. Rev. D 2008, 77, 124041. [Google Scholar] [CrossRef]
- Horndeski, G.W. Second-order scalar-tensor field equations in a four-dimensional space. Int. J. Theor. Phys. 1974, 10, 363–384. [Google Scholar] [CrossRef]
- Green, M.A.; Moffat, J.W.; Toth, V.T. Modified Gravity (MOG), the speed of gravitational radiation and the event GW170817/GRB170817A. Phys. Lett. B 2018, 780, 300–302. [Google Scholar] [CrossRef]
- Oikonomou, V.K. Revisiting Einstein-Gauss-Bonnet theories after GW170817. Phys. Lett. B 2024, 856, 138890. [Google Scholar] [CrossRef]
- Sakstein, J.; Jain, B. Implications of the Neutron Star Merger GW170817 for Cosmological Scalar-Tensor Theories. Phys. Rev. Lett. 2017, 119, 251303. [Google Scholar] [CrossRef]
- Kase, R.; Tsujikawa, S. Dark energy in Horndeski theories after GW170817: A review. Int. J. Mod. Phys. D 2019, 28, 1942005. [Google Scholar] [CrossRef]
- Creminelli, P.; Vernizzi, F. Dark Energy after GW170817 and GRB170817A. Phys. Rev. Lett. 2017, 119, 251302. [Google Scholar] [CrossRef] [PubMed]
- Ezquiaga, J.M.; Zumalacárregui, M. Dark Energy After GW170817: Dead Ends and the Road Ahead. Phys. Rev. Lett. 2017, 119, 251304. [Google Scholar] [CrossRef] [PubMed]
- Colombo, A.; Salafia, O.S.; Gabrielli, F.; Ghirlanda, G.; Giacomazzo, B.; Perego, A.; Colpi, M. Multi-messenger Observations of Binary Neutron Star Mergers in the O4 Run. Astrophys. J. 2022, 937, 79. [Google Scholar] [CrossRef]
- Punturo, M.; Abernathy, M.; Acernese, F.; Allen, B.; Andersson, N.; Arun, K.; Barone, F.; Barr, B.; Barsuglia, M.; Beker, M.; et al. The Einstein Telescope: A third-generation gravitational wave observatory. Class. Quant. Grav. 2010, 27, 194002. [Google Scholar] [CrossRef]
- Reitze, D.; Adhikari, R.X.; Ballmer, S.; Barish, B.; Barsotti, L.; Billingsley, G.; Brown, D.A.; Chen, Y.; Coyne, D.; Eisenstein, R.; et al. Cosmic Explorer: The U.S. Contribution to Gravitational-Wave Astronomy beyond LIGO. Bull. Am. Astron. Soc. 2019, 51, 035. [Google Scholar]
- Baiotti, L. Gravitational waves from neutron star mergers and their relation to the nuclear equation of state. Prog. Part. Nucl. Phys. 2019, 109, 103714. [Google Scholar] [CrossRef]
- Lattimer, J.M. Neutron Stars and the Nuclear Matter Equation of State. Ann. Rev. Nucl. Part. Sci. 2021, 71, 433–464. [Google Scholar] [CrossRef]
- Burgio, G.F.; Schulze, H.J.; Vidana, I.; Wei, J.B. Neutron stars and the nuclear equation of state. Prog. Part. Nucl. Phys. 2021, 120, 103879. [Google Scholar] [CrossRef]
- Raithel, C.; Özel, F.; Psaltis, D. Tidal deformability from GW170817 as a direct probe of the neutron star radius. Astrophys. J. Lett. 2018, 857, L23. [Google Scholar] [CrossRef]
- Malik, T.; Alam, N.; Fortin, M.; Providência, C.; Agrawal, B.K.; Jha, T.K.; Kumar, B.; Patra, S.K. GW170817: Constraining the nuclear matter equation of state from the neutron star tidal deformability. Phys. Rev. C 2018, 98, 035804. [Google Scholar] [CrossRef]
- Shibata, M.; Zhou, E.; Kiuchi, K.; Fujibayashi, S. Constraint on the maximum mass of neutron stars using GW170817 event. Phys. Rev. D 2019, 100, 023015. [Google Scholar] [CrossRef]
- Landry, P.; Essick, R.; Chatziioannou, K. Nonparametric constraints on neutron star matter with existing and upcoming gravitational wave and pulsar observations. Phys. Rev. D 2020, 101, 123007. [Google Scholar] [CrossRef]
- Radice, D.; Perego, A.; Zappa, F.; Bernuzzi, S. GW170817: Joint Constraint on the Neutron Star Equation of State from Multimessenger Observations. Astrophys. J. Lett. 2018, 852, L29. [Google Scholar] [CrossRef]
- Most, E.R.; Weih, L.R.; Rezzolla, L.; Schaffner-Bielich, J. New constraints on radii and tidal deformabilities of neutron stars from GW170817. Phys. Rev. Lett. 2018, 120, 261103. [Google Scholar] [CrossRef]
- De, S.; Finstad, D.; Lattimer, J.M.; Brown, D.A.; Berger, E.; Biwer, C.M. Tidal Deformabilities and Radii of Neutron Stars from the Observation of GW170817. Phys. Rev. Lett. 2018, 121, 091102, Erratum in Phys. Rev. Lett. 2018, 121, 259902. [Google Scholar] [CrossRef]
- Annala, E.; Gorda, T.; Kurkela, A.; Vuorinen, A. Gravitational-wave constraints on the neutron-star-matter Equation of State. Phys. Rev. Lett. 2018, 120, 172703. [Google Scholar] [CrossRef]
- Tews, I.; Margueron, J.; Reddy, S. Critical examination of constraints on the equation of state of dense matter obtained from GW170817. Phys. Rev. C 2018, 98, 045804. [Google Scholar] [CrossRef]
- Raaijmakers, G.; Greif, S.K.; Riley, T.E.; Hinderer, T.; Hebeler, K.; Schwenk, A.; Watts, A.L.; Nissanke, S.; Guillot, S.; Lattimer, J.M.; et al. Constraining the dense matter equation of state with joint analysis of NICER and LIGO/Virgo measurements. Astrophys. J. Lett. 2020, 893, L21. [Google Scholar] [CrossRef]
- Raaijmakers, G.; Greif, S.K.; Hebeler, K.; Hinderer, T.; Nissanke, S.; Schwenk, A.; Riley, T.E.; Watts, A.L.; Lattimer, J.M.; Ho, W.C.G. Constraints on the Dense Matter Equation of State and Neutron Star Properties from NICER’s Mass–Radius Estimate of PSR J0740+6620 and Multimessenger Observations. Astrophys. J. Lett. 2021, 918, L29. [Google Scholar] [CrossRef]
- Zhu, Z.; Li, A.; Liu, T. A Bayesian Inference of a Relativistic Mean-field Model of Neutron Star Matter from Observations of NICER and GW170817/AT2017gfo. Astrophys. J. 2023, 943, 163. [Google Scholar] [CrossRef]
- Miao, Z.; Li, A.; Dai, Z.G. On the moment of inertia of PSR J0737-3039 A from LIGO/Virgo and NICER. Mon. Not. R. Astron. Soc. 2022, 515, 5071–5080. [Google Scholar] [CrossRef]
- Pang, P.T.H.; Tews, I.; Coughlin, M.W.; Bulla, M.; Van Den Broeck, C.; Dietrich, T. Nuclear Physics Multimessenger Astrophysics Constraints on the Neutron Star Equation of State: Adding NICER’s PSR J0740+6620 Measurement. Astrophys. J. 2021, 922, 14. [Google Scholar] [CrossRef]
- Li, A.; Miao, Z.; Han, S.; Zhang, B. Constraints on the maximum mass of neutron stars with a quark core from GW170817 and NICER PSR J0030+0451 data. Astrophys. J. 2021, 913, 27. [Google Scholar] [CrossRef]
- Margalit, B.; Metzger, B.D. The Multi-Messenger Matrix: The Future of Neutron Star Merger Constraints on the Nuclear Equation of State. Astrophys. J. Lett. 2019, 880, L15. [Google Scholar] [CrossRef]
- Morsony, B.J.; Santos, R.D.L.; Hernandez, R.; Bustamante, J.; Yassuiae, B.; Astorga, G.; Parra, J.; Workman, J.C. The afterglow of GW170817 from every angle: Prospects for detecting the afterglows of binary neutron star mergers. Mon. Not. R. Astron. Soc. 2024, 533, 510–524. [Google Scholar] [CrossRef]
- Shibata, M.; Uryu, K. Simulation of merging binary neutron stars in full general relativity: Gamma = two case. Phys. Rev. D 2000, 61, 064001. [Google Scholar] [CrossRef]
- Andersson, N. Gravitational waves from instabilities in relativistic stars. Class. Quant. Grav. 2003, 20, R105. [Google Scholar] [CrossRef]
- Clark, J.A.; Bauswein, A.; Stergioulas, N.; Shoemaker, D. Observing Gravitational Waves From The Post-Merger Phase Of Binary Neutron Star Coalescence. Class. Quant. Grav. 2016, 33, 085003. [Google Scholar] [CrossRef]
- Lasky, P.D.; Glampedakis, K. Observationally constraining gravitational wave emission from short gamma-ray burst remnants. Mon. Not. R. Astron. Soc. 2016, 458, 1660–1670. [Google Scholar] [CrossRef]
- Baiotti, L.; Rezzolla, L. Binary neutron star mergers: A review of Einstein’s richest laboratory. Rept. Prog. Phys. 2017, 80, 096901. [Google Scholar] [CrossRef]
- Piro, A.L.; Giacomazzo, B.; Perna, R. The Fate of Neutron Star Binary Mergers. Astrophys. J. Lett. 2017, 844, L19. [Google Scholar] [CrossRef]
- Bose, S.; Chakravarti, K.; Rezzolla, L.; Sathyaprakash, B.S.; Takami, K. Neutron-star Radius from a Population of Binary Neutron Star Mergers. Phys. Rev. Lett. 2018, 120, 031102. [Google Scholar] [CrossRef]
- Siegel, D.M.; Barnes, J.; Metzger, B.D. Collapsars as a major source of r-process elements. Nature 2019, 569, 241. [Google Scholar] [CrossRef]
- Rossoni, S.; Boncioli, D.; Sigl, G. Investigating binary-neutron-star mergers as production sites of high-energy neutrinos. JCAP 2025, 01, 009. [Google Scholar] [CrossRef]
- Dálya, G.; Díaz, R.; Bouchet, F.R.; Frei, Z.; Jasche, J.; Lavaux, G.; Macas, R.; Mukherjee, S.; Pálfi, M.; de Souza, R.S.; et al. GLADE+: An Extended Galaxy Catalogue for timessenger Searches with Advanced Gravitational-wave Detectors. arXiv 2021, arXiv:2110.06184. [Google Scholar] [CrossRef]
- Dey, A. et al. [DESI Collaboration] Overview of the DESI Legacy Imaging Surveys. Astron. J. 2019, 157, 168. [Google Scholar] [CrossRef]
- Flewelling, H.A.; Magnier, E.A.; Chambers, K.C.; Heasley, J.N.; Holmberg, C.; Huber, M.E.; Sweeney, W.; Waters, C.Z.; Calamida, A.; Casertano, S.; et al. The Pan-STARRS1 Database and Data Products. Astrophys. J. Suppl. 2020, 251, 7. [Google Scholar] [CrossRef]
- Ivezić, V. et al. [LSST Collaboration] LSST: From Science Drivers to Reference Design and Anticipated Data Products. Astrophys. J. 2019, 873, 111. [Google Scholar] [CrossRef]
- Andreoni, I.; Coughlin, M.W.; Kool, E.C.; Kasliwal, M.M.; Kumar, H.; Bhalerao, V.; Carracedo, A.S.; Ho, A.Y.Q.; Pang, P.T.H.; Saraogi, D.; et al. Fast-transient Searches in Real Time with ZTFReST: Identification of Three Optically Discovered Gamma-Ray Burst Afterglows and New Constraints on the Kilonova Rate. Astrophys. J. 2021, 918, 63. [Google Scholar] [CrossRef]







Disclaimer/Publisher’s Note: The statements, opinions and data contained in all publications are solely those of the individual author(s) and contributor(s) and not of MDPI and/or the editor(s). MDPI and/or the editor(s) disclaim responsibility for any injury to people or property resulting from any ideas, methods, instructions or products referred to in the content. |
© 2025 by the author. Licensee MDPI, Basel, Switzerland. This article is an open access article distributed under the terms and conditions of the Creative Commons Attribution (CC BY) license (https://creativecommons.org/licenses/by/4.0/).
Share and Cite
Poggiani, R. GW170817: A Short Review of the First Multimessenger Event in Gravitational Astronomy. Galaxies 2025, 13, 112. https://doi.org/10.3390/galaxies13050112
Poggiani R. GW170817: A Short Review of the First Multimessenger Event in Gravitational Astronomy. Galaxies. 2025; 13(5):112. https://doi.org/10.3390/galaxies13050112
Chicago/Turabian StylePoggiani, Rosa. 2025. "GW170817: A Short Review of the First Multimessenger Event in Gravitational Astronomy" Galaxies 13, no. 5: 112. https://doi.org/10.3390/galaxies13050112
APA StylePoggiani, R. (2025). GW170817: A Short Review of the First Multimessenger Event in Gravitational Astronomy. Galaxies, 13(5), 112. https://doi.org/10.3390/galaxies13050112
