Simulating the Enrichment of Fossil Radio Electrons by Multiple Radio Galaxies
Abstract
1. Introduction
- Under which conditions can radio galaxies fill the ICM with relativistic electrons to a significant degree?
- Is the predicted distribution of re-accelerated fossil relativistic electrons suitable to produce diffuse radio emission, and is this compatible with radio observations?
2. Methods & Material
2.1. Cosmological Simulations & Feedback from Active Galactic Nuclei
2.2. Injection, Tracking and Energy Evolution of Relativistic Electrons from Radio Galaxies
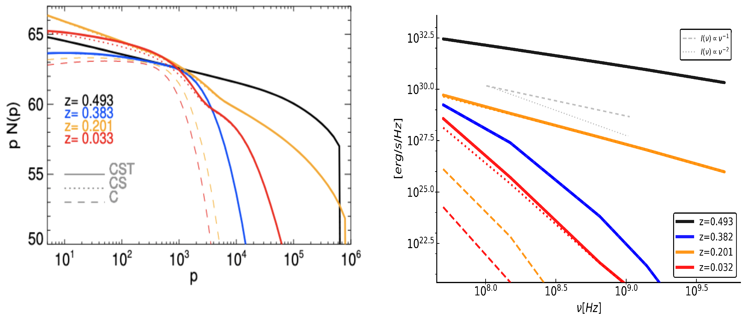
- Electrons seeded by radio jets: we followed the evolution of electrons injected by our radio galaxies at , solely under the influence of loss processes (e.g., radiative processes, Coulomb collision, ionisation losses, and adiabatic changes, model “C”), by including the additional injection of new electrons by diffusive shock acceleration, as well the re-acceleration by DSA on the previously injected population of electrons (model “CS”), or by additionally including also the Fermi II re-acceleration by solenoidal turbulence (model “CST”). This set of models followed tracers, all initially placed within the jet launching regions of our five radio galaxies.
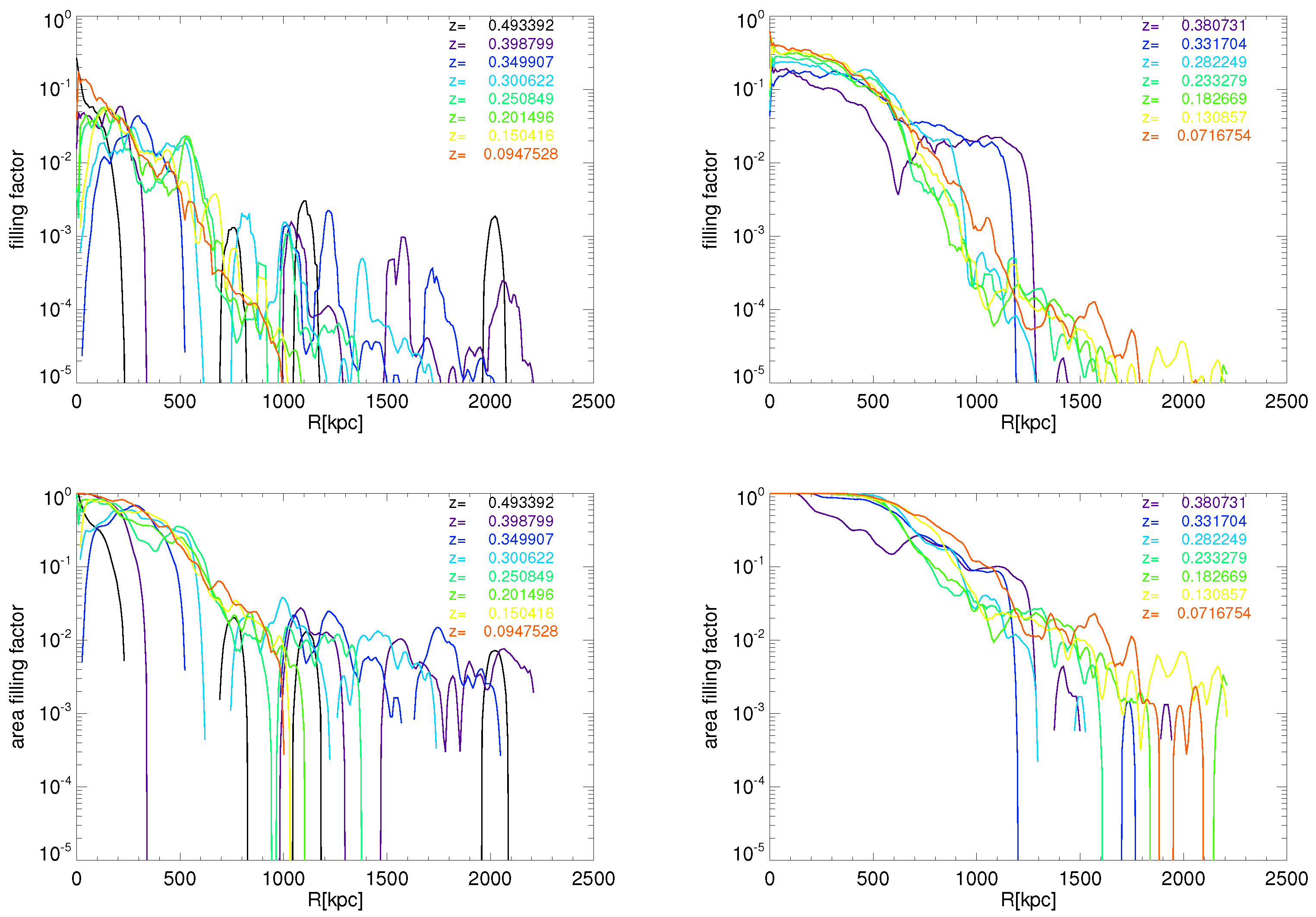
- Electrons seeded by merger shocks: we initialised pools of tracers in the simulation at (i.e., well after the jet activity has ended for all considered radio sources), assigning them according to the gas density profile and giving them an initially negligible content of relativistic electrons. We let them evolve according to all loss processes, shock injection, and shock/turbulent re-acceleration. This is similar to the previous “CST” physical model, with the important difference that the electrons are only seeded by merger/accretion shock waves after the short active stage of jets. This model is meant to check the effectiveness of the multiple-shock scenario explored in Inchingolo et al. [57], in which a large fraction of the radio power from relics comes from shock re-acceleration of electrons previously injected by older structure formation shocks. In other words, this second model is meant to quantify the relative importance of fossil electrons injected by shocks, compared to fossil electrons injected by radio galaxies on longer timescales. This second set of models followed tracers, placed in the cluster at following the cluster density profile and only limited to regions.
- Prompt injection of electrons by shocks: we included a simplistic scenario in which we only compute the prompt injection of electrons, and their radio emission, at a single time-step and based on the DSA model outlined above, i.e., with injection efficiency scaling with the Mach number and normalisation depending on the shock kinetic energy flux. Otherwise, the electron spectra are deleted from one-time step to the next. This last model is just meant to compare with the standard approach to predict radio emission from shocks in the simulated ICM, in which single snapshots of simulations are used, assuming quasi-stationary shock conditions and neglecting the presence of fossil electrons, e.g., [58,59,60]. This last scenario was run on top of the same distribution of tracers used for the previous model.
3. Results
3.1. The Evolution of Electrons Seeded by Radio Jets
3.2. Shock Injection of Electrons vs. the Injection by Radio Jets
4. Discussion & Conclusions
- The seeding of electrons from sources other than the central powerful radio galaxy has a significant role in enriching the ICM with an additional amount of fossil electrons. During the evolution, powerful enough radio emission features can be produced from populations of electrons seeded by peripheral galaxies, which also blend and mix over time.
- Right after the active stage of radio jets, the remnant radio plasma typically dominates the radio emission at a ≤ Mpc distance from sources, even up to ∼0.5–1 Gyr since its first injection, but only if quasi-continuous re-acceleration events (e.g., frequent weak shocks or turbulence) are active on particles. The emission from re-accelerated electrons seeded by radio galaxies can produce detectable emission at any time, in presence of re-acceleration events, but only leading to small (≤100 kpc in our test) and often filamentary radio features with steep radio spectra ( 1.5–2). This makes it hard for radio galaxies alone to fuel giant radio relics on scales of ∼1–2 Mpc, with the required uniform population of fossil electrons, while they appear a sufficiently viable channel to fuel the regions of central radio halos.
- If merger shocks (here limited to those forming in gas, for computational limitations) also contribute seeds of cosmic rays, then the volume filling factor of fossil electrons in the central region increases from 0.1–1% (in the case of CR electrons only injected by radio galaxies) to 3–30% if also shock-injected CR electrons are included. The injection by shocks occurs on much larger scales than an injection by radio galaxies. It can also naturally lead to large and correlated populations of fossil electrons that subsequent re-acceleration events can illuminate on ∼ scales and with flatter spectra than the one from radio galaxies, owing to the shorter time elapsed between re-acceleration events.
Author Contributions
Funding
Institutional Review Board Statement
Informed Consent Statement
Data Availability Statement
Acknowledgments
Conflicts of Interest
Abbreviations
| AGN | Active Galactic Nucleus |
| AMR | Adaptive Mesh Refinement |
| ASA | Adiabatic Stochastic Acceleration |
| ASKAP | Australian Square Kilometre Array Pathfinder |
| BCG | Brightest Central Galaxy |
| CR | Cosmic Rays |
| DM | Dark Matter |
| DSA | Diffusive Shock Acceleration |
| HBA | High Band Antenna |
| HLL | Harten-Lax van Leer |
| ICM | Intra Cluster Medium |
| LBA | Low Band Antenna |
| LOFAR | Low Frequency Array |
| MAGOCW | The Magnetised Cosmic Web |
| MHD | Magneto Hydro Dynamics |
| MWA | Murchison Widefield Array |
| PLM | Piecewise Linear Method |
| RK | Runge-Kutta |
| SMBH | Super Massive Black Hole |
| SPH | Smoothed Particle Hydrodynamics |
| CDM | Lambda Cold Dark Matter |
| 1 | Unlike in most cosmological simulations, we do not start from seed SMBH particles with a very low mass at high redshift and monitor its growth in time, e.g., [39], but instead we place them a late redshift, and assign them already a mass compatible with the prediction of the range of masses of SMBH in fully formed and massive galaxies. |
| 2 | https://github.com/FrancoVazza/JULIA/tree/master/ROGER (accessed on 17 February 2023) |
References
- Oei, M.S.S.L.; van Weeren, R.J.; Hardcastle, M.J.; Botteon, A.; Shimwell, T.W.; Dabhade, P.; Gast, A.R.D.J.G.I.B.; Röttgering, H.J.A.; Brüggen, M.; Tasse, C.; et al. The discovery of a radio galaxy of at least 5 Mpc. Astron. Astrophys. 2022, 660, A2. [Google Scholar] [CrossRef]
- Völk, H.J.; Atoyan, A.M. Early Starbursts and Magnetic Field Generation in Galaxy Clusters. Astrophys. J. 2000, 541, 88–94. [Google Scholar] [CrossRef]
- Hardcastle, M.J.; Croston, J.H. Radio galaxies and feedback from AGN jets. New Astron. Rev. 2020, 88, 101539. [Google Scholar] [CrossRef]
- van Weeren, R.J.; de Gasperin, F.; Akamatsu, H.; Brüggen, M.; Feretti, L.; Kang, H.; Stroe, A.; Zandanel, F. Diffuse Radio Emission from Galaxy Clusters. Sci. Space Rev. 2019, 215, 16. [Google Scholar] [CrossRef]
- Kang, H.; Ryu, D.; Jones, T.W. Diffusive Shock Acceleration Simulations of Radio Relics. Astrophys. J. 2012, 756, 97. [Google Scholar] [CrossRef]
- Pinzke, A.; Oh, S.P.; Pfrommer, C. Giant radio relics in galaxy clusters: Reacceleration of fossil relativistic electrons? Mon. Not. R. Astron. Soc. 2013, 435, 1061–1082. [Google Scholar] [CrossRef]
- Botteon, A.; Brunetti, G.; Ryu, D.; Roh, S. Shock acceleration efficiency in radio relics. Astron. Astrophys. 2020, 634, A64. [Google Scholar] [CrossRef]
- ZuHone, J.A.; Markevitch, M.; Weinberger, R.; Nulsen, P.; Ehlert, K. How Merger-driven Gas Motions in Galaxy Clusters Can Turn AGN Bubbles into Radio Relics. Astrophys. J. 2021, 914, 73. [Google Scholar] [CrossRef]
- Brunetti, G.; Jones, T.W. Cosmic Rays in Galaxy Clusters and Their Nonthermal Emission. Int. J. Mod. Phys. D 2014, 23, 1430007. [Google Scholar] [CrossRef]
- Govoni, F.; Orrù, E.; Bonafede, A.; Iacobelli, M.; Paladino, R.; Vazza, F.; Murgia, M.; Vacca, V.; Giovannini, G.; Feretti, L.; et al. A radio ridge connecting two galaxy clusters in a filament of the cosmic web. Science 2019, 364, 981–984. [Google Scholar] [CrossRef]
- Brunetti, G.; Vazza, F. Second-order Fermi Reacceleration Mechanisms and Large-Scale Synchrotron Radio Emission in Intracluster Bridges. Phys. Rev. Lett. 2020, 124, 051101. [Google Scholar] [CrossRef] [PubMed]
- Cuciti, V.; de Gasperin, F.; Brüggen, M.; Vazza, F.; Brunetti, G.; Shimwell, T.W.; Edler, H.W.; van Weeren, R.J.; Botteon, A.; Cassano, R.; et al. Galaxy clusters enveloped by vast volumes of relativistic electrons. Nature 2022, 609, 911–914. [Google Scholar] [CrossRef] [PubMed]
- Botteon, A.; van Weeren, R.J.; Brunetti, G.; Vazza, F.; Shimwell, T.W.; Brüggen, M.; Röttgering, H.J.A.; de Gasperin, F.; Akamatsu, H.; Bonafede, A.; et al. Magnetic fields and relativistic electrons fill entire galaxy cluster. Sci. Adv. 2022, 8, eabq7623. [Google Scholar] [CrossRef]
- Jones, T.W.; Nolting, C.; O’Neill, B.J.; Mendygral, P.J. Using collisions of AGN outflows with ICM shocks as dynamical probes. Phys. Plasmas 2017, 24, 041402. [Google Scholar] [CrossRef]
- Nolting, C.; Jones, T.W.; O’Neill, B.J.; Mendygral, P.J. Interactions between Radio Galaxies and Cluster Shocks. I. Jet Axes Aligned with Shock Normals. Astrophys. J. 2019, 876, 154. [Google Scholar] [CrossRef]
- de Gasperin, F.; Intema, H.T.; Shimwell, T.W.; Brunetti, G.; Brüggen, M.; Enßlin, T.A.; van Weeren, R.J.; Bonafede, A.; Röttgering, H.J.A. Gentle reenergization of electrons in merging galaxy clusters. Sci. Adv. 2017, 3, e1701634. [Google Scholar] [CrossRef]
- Wilber, A.; Brüggen, M.; Bonafede, A.; Savini, F.; Shimwell, T.; van Weeren, R.J.; Rafferty, D.; Mechev, A.P.; Intema, H.; Andrade-Santos, F.; et al. LOFAR discovery of an ultra-steep radio halo and giant head-tail radio galaxy in Abell 1132. Mon. Not. R. Astron. Soc. 2018, 473, 3536–3546. [Google Scholar] [CrossRef]
- Mandal, S.; Intema, H.T.; van Weeren, R.J.; Shimwell, T.W.; Botteon, A.; Brunetti, G.; de Gasperin, F.; Brüggen, M.; Di Gennaro, G.; Kraft, R.; et al. Revived fossil plasma sources in galaxy clusters. Astron. Astrophys. 2020, 634, A4. [Google Scholar] [CrossRef]
- Quici, B.; Turner, R.J.; Seymour, N.; Hurley-Walker, N.; Shabala, S.S.; Ishwara-Chandra, C.H. Selecting and modelling remnant AGNs with limited spectral coverage. Mon. Not. R. Astron. Soc. 2022, 514, 3466–3484. [Google Scholar] [CrossRef]
- Brienza, M.; Lovisari, L.; Rajpurohit, K.; Bonafede, A.; Gastaldello, F.; Murgia, M.; Vazza, F.; Bonnassieux, E.; Botteon, A.; Brunetti, G.; et al. The galaxy group NGC 507: Newly detected AGN remnant plasma transported by sloshing. Astron. Astrophys. 2022, 661, A92. [Google Scholar] [CrossRef]
- Xu, H.; Li, H.; Collins, D.C.; Li, S.; Norman, M.L. Turbulence and Dynamo in Galaxy Cluster Medium: Implications on the Origin of Cluster Magnetic Fields. ApJ Lett. 2009, 698, L14–L17. [Google Scholar] [CrossRef]
- Xu, H.; Li, H.; Collins, D.C.; Li, S.; Norman, M.L. Evolution and Distribution of Magnetic Fields from Active Galactic Nuclei in Galaxy Clusters. II. The Effects of Cluster Size and Dynamical State. Astrophys. J. 2011, 739, 77. [Google Scholar] [CrossRef]
- Mendygral, P.J.; Jones, T.W.; Dolag, K. MHD Simulations of Active Galactic Nucleus Jets in a Dynamic Galaxy Cluster Medium. Astrophys. J. 2012, 750, 166. [Google Scholar] [CrossRef]
- Bourne, M.A.; Sijacki, D. AGN jet feedback on a moving mesh: Gentle cluster heating by weak shocks and lobe disruption. Mon. Not. R. Astron. Soc. 2021, 506, 488–513. [Google Scholar] [CrossRef]
- Turner, R.J.; Yates-Jones, P.M.; Shabala, S.S.; Quici, B.; Stewart, G.S.C. RAiSE: Simulation-based analytical model of AGN jets and lobes. Mon. Not. R. Astron. Soc. 2023, 518, 945–964. [Google Scholar] [CrossRef]
- Yates-Jones, P.M.; Shabala, S.S.; Power, C.; Krause, M.G.H.; Hardcastle, M.J.; Noh Velastín, E.A.N.M. CosmoDRAGoN simulations—I. Dynamics and observable signatures of radio jets in cosmological environments. arXiv 2022, arXiv:2212.10059. [Google Scholar]
- Vazza, F.; Wittor, D.; Brunetti, G.; Brüggen, M. Simulating the transport of relativistic electrons and magnetic fields injected by radio galaxies in the intracluster medium. Astron. Astrophys. 2021, 653, A23. [Google Scholar] [CrossRef]
- Vazza, F.; Wittor, D.; Di Federico, L.; Brüggen, M.; Brienza, M.; Brunetti, G.; Brighenti, F.; Pasini, T. Life cycle of cosmic-ray electrons in the intracluster medium. Astron. Astrophys. 2023, 669, A50. [Google Scholar] [CrossRef]
- Hodgson, T.; Bartalucci, I.; Johnston-Hollitt, M.; McKinley, B.; Vazza, F.; Wittor, D. Ultra-steep-spectrum Radio “Jellyfish” Uncovered in A2877. Astrophys. J. 2021, 909, 198. [Google Scholar] [CrossRef]
- Vardoulaki, E.; Vazza, F.; Jiménez-Andrade, E.F.; Gozaliasl, G.; Finoguenov, A.; Wittor, D. Bent It Like FRs: Extended Radio AGN in the COSMOS Field and Their Large-Scale Environment. Galaxies 2021, 9, 93. [Google Scholar] [CrossRef]
- Planck Collaboration; Ade, P.A.R.; Aghanim, N.; Arnaud, M.; Ashdown, M.; Aumont, J.; Baccigalupi, C.; Banday, A.J.; Barreiro, R.B.; Bartlett, J.G.; et al. Planck 2015 results. XIII. Cosmological parameters. Astron. Astrophys. 2016, 594, A13. [Google Scholar] [CrossRef]
- Bryan, G.L.; Norman, M.L.; O’Shea, B.W.; Abel, T.; Wise, J.H.; Turk, M.J.; Reynolds, D.R.; Collins, D.C.; Wang, P.; Skillman, S.W.; et al. ENZO: An Adaptive Mesh Refinement Code for Astrophysics. Astrophys. J. Suppl. Ser. 2014, 211, 19. [Google Scholar] [CrossRef]
- Dedner, A.; Kemm, F.; Kröner, D.; Munz, C.D.; Schnitzer, T.; Wesenberg, M. Hyperbolic Divergence Cleaning for the MHD Equations. J. Comput. Phys. 2002, 175, 645–673. [Google Scholar] [CrossRef]
- Wang, P.; Abel, T. Magnetohydrodynamic Simulations of Disk Galaxy Formation: The Magnetization of the Cold and Warm Medium. Astrophys. J. 2009, 696, 96–109. [Google Scholar] [CrossRef]
- Vazza, F.; Locatelli, N.; Rajpurohit, K.; Banfi, S.; Domínguez-Fernández, P.; Wittor, D.; Angelinelli, M.; Inchingolo, G.; Brienza, M.; Hackstein, S.; et al. Magnetogenesis and the Cosmic Web: A Joint Challenge for Radio Observations and Numerical Simulations. Galaxies 2021, 9, 109. [Google Scholar] [CrossRef]
- Dolag, K.; Bartelmann, M.; Lesch, H. SPH simulations of magnetic fields in galaxy clusters. Astron. Astrophys. 1999, 348, 351–363. [Google Scholar]
- Donnert, J.; Vazza, F.; Brüggen, M.; ZuHone, J. Magnetic Field Amplification in Galaxy Clusters and Its Simulation. Sci. Space Rev. 2018, 214, 122. [Google Scholar] [CrossRef]
- Vazza, F.; Paoletti, D.; Banfi, S.; Finelli, F.; Gheller, C.; O’Sullivan, S.P.; Brüggen, M. Simulations and observational tests of primordial magnetic fields from Cosmic Microwave Background constraintsok. Mon. Not. R. Astron. Soc. 2021, 500, 5350–5368. [Google Scholar] [CrossRef]
- Kim, J.h.; Wise, J.H.; Alvarez, M.A.; Abel, T. Galaxy Formation with Self-consistently Modeled Stars and Massive Black Holes. I. Feedback-regulated Star Formation and Black Hole Growth. Astrophys. J. 2011, 738, 54. [Google Scholar] [CrossRef]
- Booth, C.M.; Schaye, J. Cosmological simulations of the growth of supermassive black holes and feedback from active galactic nuclei: Method and tests. Mon. Not. R. Astron. Soc. 2009, 398, 53–74. [Google Scholar] [CrossRef]
- Gaspari, M.; Ruszkowski, M.; Sharma, P. Cause and Effect of Feedback: Multiphase Gas in Cluster Cores Heated by AGN Jets. Astrophys. J. 2012, 746, 94. [Google Scholar] [CrossRef]
- Tremblay, G.R.; Oonk, J.B.R.; Combes, F.; Salomé, P.; O’Dea, C.P.; Baum, S.A.; Voit, G.M.; Donahue, M.; McNamara, B.R.; Davis, T.A.; et al. Cold, clumpy accretion onto an active supermassive black hole. Nature 2016, 534, 218–221. [Google Scholar] [CrossRef]
- Li, H.; Lapenta, G.; Finn, J.M.; Li, S.; Colgate, S.A. Modeling the Large-Scale Structures of Astrophysical Jets in the Magnetically Dominated Limit. Astrophys. J. 2006, 643, 92–100. [Google Scholar] [CrossRef]
- Pasini, T.; Brüggen, M.; Hoang, D.N.; Ghirardini, V.; Bulbul, E.; Klein, M.; Liu, A.; Shimwell, T.W.; Hardcastle, M.J.; Williams, W.L.; et al. The eROSITA Final Equatorial-Depth Survey (eFEDS). LOFAR view of brightest cluster galaxies and AGN feedback. Astron. Astrophys. 2022, 661, A13. [Google Scholar] [CrossRef]
- Seth, R.; O’Sullivan, E.; Sebastian, B.; Raychaudhury, S.; Schellenberger, G.; Haines, C.P. The contribution of non-central radio galaxies to AGN feedback in rich galaxy clusters. Mon. Not. R. Astron. Soc. 2022, 513, 3273–3288. [Google Scholar] [CrossRef]
- Wittor, D.; Vazza, F.; Brüggen, M. Studying the Effect of Shock Obliquity on the γ-ray and Diffuse Radio Emission in Galaxy Clusters. Galaxies 2016, 4, 71. [Google Scholar] [CrossRef]
- Komissarov, S.S.; Gubanov, A.G. Relic radio galaxies: Evolution of synchrotron spectrum. Astron. Astrophys. 1994, 285, 27–43. [Google Scholar]
- Kang, H.; Jones, T.W. Self-similar evolution of cosmic-ray-modified quasi-parallel plane shocks. Astropart. Phys. 2007, 28, 232–246. [Google Scholar] [CrossRef]
- Böss, L.M.; Steinwandel, U.P.; Dolag, K.; Lesch, H. CRESCENDO: An on-the-fly Fokker-Planck solver for spectral cosmic rays in cosmological simulations. Mon. Not. R. Astron. Soc. 2023, 519, 548–572. [Google Scholar] [CrossRef]
- Wittor, D.; Vazza, F.; Ryu, D.; Kang, H. Limiting the shock acceleration of cosmic ray protons in the ICM. Mon. Not. R. Astron. Soc. 2020, 495, L112–L117. [Google Scholar] [CrossRef]
- Banfi, S.; Vazza, F.; Wittor, D. Shock waves in the magnetized cosmic web: The role of obliquity and cosmic ray acceleration. Mon. Not. R. Astron. Soc. 2020, 496, 3648–3667. [Google Scholar] [CrossRef]
- Sarazin, C.L. The Energy Spectrum of Primary Cosmic-Ray Electrons in Clusters of Galaxies and Inverse Compton Emission. Astrophys. J. 1999, 520, 529–547. [Google Scholar] [CrossRef]
- Markevitch, M.; Govoni, F.; Brunetti, G.; Jerius, D. Bow Shock and Radio Halo in the Merging Cluster A520. Astrophys. J. 2005, 627, 733–738. [Google Scholar] [CrossRef]
- Kang, H.; Ryu, D. Re-acceleration of Non-thermal Particles at Weak Cosmological Shock Waves. Astrophys. J. 2011, 734, 18. [Google Scholar] [CrossRef]
- Brunetti, G.; Lazarian, A. Stochastic reacceleration of relativistic electrons by turbulent reconnection: A mechanism for clusterscale radio emission? Mon. Not. R. Astron. Soc. 2016, 458, 2584–2595. [Google Scholar] [CrossRef]
- Chatterjee, K.; Markoff, S.; Neilsen, J.; Younsi, Z.; Witzel, G.; Tchekhovskoy, A.; Yoon, D.; Ingram, A.; van der Klis, M.; Boyce, H.; et al. General relativistic MHD simulations of non-thermal flaring in Sagittarius A*. Mon. Not. R. Astron. Soc. 2021, 507, 5281–5302. [Google Scholar] [CrossRef]
- Inchingolo, G.; Wittor, D.; Rajpurohit, K.; Vazza, F. Radio relics radio emission from multishock scenario. Mon. Not. R. Astron. Soc. 2022, 509, 1160–1174. [Google Scholar] [CrossRef]
- Skillman, S.W.; O’Shea, B.W.; Hallman, E.J.; Burns, J.O.; Norman, M.L. Cosmological Shocks in Adaptive Mesh Refinement Simulations and the Acceleration of Cosmic Rays. Astrophys. J. 2008, 689, 1063–1077. [Google Scholar] [CrossRef]
- Hoeft, M.; Brüggen, M.; Yepes, G.; Gottlöber, S.; Schwope, A. Diffuse radio emission from clusters in the MareNostrum Universe simulation. Mon. Not. R. Astron. Soc. 2008, 391, 1511–1526. [Google Scholar] [CrossRef]
- Vazza, F.; Brüggen, M. Do radio relics challenge diffusive shock acceleration? Mon. Not. R. Astron. Soc. 2014, 437, 2291–2296. [Google Scholar] [CrossRef]
- O’Neill, S.M.; Jones, T.W. Three-Dimensional Simulations of Bi-Directed Magnetohydrodynamic Jets Interacting with Cluster Environments. Astrophys. J. 2010, 710, 180–196. [Google Scholar] [CrossRef]
- van Weeren, R.J.; Röttgering, H.J.A.; Brüggen, M.; Hoeft, M. Particle Acceleration on Megaparsec Scales in a Merging Galaxy Cluster. Science 2010, 330, 347. [Google Scholar] [CrossRef] [PubMed]
- Rajpurohit, K.; Hoeft, M.; Vazza, F.; Rudnick, L.; van Weeren, R.J.; Wittor, D.; Drabent, A.; Brienza, M.; Bonnassieux, E.; Locatelli, N.; et al. New mysteries and challenges from the Toothbrush relic: Wideband observations from 550 MHz to 8 GHz. Astron. Astrophys. 2020, 636, A30. [Google Scholar] [CrossRef]
- Botteon, A.; Brunetti, G.; van Weeren, R.J.; Shimwell, T.W.; Pizzo, R.F.; Cassano, R.; Iacobelli, M.; Gastaldello, F.; Bîrzan, L.; Bonafede, A.; et al. The Beautiful Mess in Abell 2255. Astrophys. J. 2020, 897, 93. [Google Scholar] [CrossRef]
- Vazza, F.; Brüggen, M.; Wittor, D.; Gheller, C.; Eckert, D.; Stubbe, M. Constraining the efficiency of cosmic ray acceleration by cluster shocks. Mon. Not. R. Astron. Soc. 2016, 459, 70–83. [Google Scholar] [CrossRef]
- Pinzke, A.; Pfrommer, C. Simulating the γ-ray emission from galaxy clusters: A universal cosmic ray spectrum and spatial distribution. Mon. Not. R. Astron. Soc. 2010, 409, 449–480. [Google Scholar] [CrossRef]
- Stuardi, C.; Bonafede, A.; Wittor, D.; Vazza, F.; Botteon, A.; Locatelli, N.; Dallacasa, D.; Golovich, N.; Hoeft, M.; van Weeren, R.J.; et al. Particle re-acceleration and Faraday-complex structures in the RXC J1314.4-2515 galaxy cluster. Mon. Not. R. Astron. Soc. 2019, 489, 3905–3926. [Google Scholar] [CrossRef]
- Rajpurohit, K.; Wittor, D.; van Weeren, R.J.; Vazza, F.; Hoeft, M.; Rudnick, L.; Locatelli, N.; Eilek, J.; Forman, W.R.; Bonafede, A.; et al. Understanding the radio relic emission in the galaxy cluster MACS J0717.5+3745: Spectral analysis. Astron. Astrophys. 2021, 646, A56. [Google Scholar] [CrossRef]
- Locatelli, N.T.; Rajpurohit, K.; Vazza, F.; Gastaldello, F.; Dallacasa, D.; Bonafede, A.; Rossetti, M.; Stuardi, C.; Bonassieux, E.; Brunetti, G.; et al. Discovering the most elusive radio relic in the sky: Diffuse shock acceleration caught in the act? Mon. Not. R. Astron. Soc. 2020, 496, L48–L53. [Google Scholar] [CrossRef]
- Sabater, J.; Best, P.N.; Hardcastle, M.J.; Shimwell, T.W.; Tasse, C.; Williams, W.L.; Brüggen, M.; Cochrane, R.K.; Croston, J.H.; de Gasperin, F.; et al. The LoTSS view of radio AGN in the local Universe. The most massive galaxies are always switched on. Astron. Astrophys. 2019, 622, A17. [Google Scholar] [CrossRef]
- Vazza, F.; Gheller, C.; Brunetti, G. The mixing and transport properties of the intra cluster medium: A numerical study using tracers particles. Astron. Astrophys. 2010, 513, A32. [Google Scholar] [CrossRef]
- Wittor, D.; Jones, T.; Vazza, F.; Brüggen, M. Evolution of vorticity and enstrophy in the intracluster medium. Mon. Not. R. Astron. Soc. 2017, 471, 3212–3225. [Google Scholar] [CrossRef]
- Breitschwerdt, D.; McKenzie, J.F.; Voelk, H.J. Galactic winds. I. Cosmic ray and wave-driven winds from the galaxy. Astron. Astrophys. 1991, 245, 79. [Google Scholar]
- Farber, R.; Ruszkowski, M.; Yang, H.Y.K.; Zweibel, E.G. Impact of Cosmic-Ray Transport on Galactic Winds. Astrophys. J. 2018, 856, 112. [Google Scholar] [CrossRef]
- Butsky, I.S.; Nakum, S.; Ponnada, S.B.; Hummels, C.B.; Ji, S.; Hopkins, P.F. Constraining Cosmic-ray Transport with Observations of the Circumgalactic Medium. arXiv 2022, arXiv:2210.14232. [Google Scholar] [CrossRef]
- Heesen, V. The radio continuum perspective on cosmic-ray transport in external galaxies. Astrophys. Space Sci. 2021, 366, 117. [Google Scholar] [CrossRef]









| ID | ||||
|---|---|---|---|---|
| [] | [erg/s] | [erg/s/Hz ] | ||
| A | 0.0026 | |||
| B | 0.0004 | |||
| C | 0.00004 | |||
| D | 0.00007 | |||
| E | 0.00004 |
Disclaimer/Publisher’s Note: The statements, opinions and data contained in all publications are solely those of the individual author(s) and contributor(s) and not of MDPI and/or the editor(s). MDPI and/or the editor(s) disclaim responsibility for any injury to people or property resulting from any ideas, methods, instructions or products referred to in the content. |
© 2023 by the authors. Licensee MDPI, Basel, Switzerland. This article is an open access article distributed under the terms and conditions of the Creative Commons Attribution (CC BY) license (https://creativecommons.org/licenses/by/4.0/).
Share and Cite
Vazza, F.; Wittor, D.; Brüggen, M.; Brunetti, G. Simulating the Enrichment of Fossil Radio Electrons by Multiple Radio Galaxies. Galaxies 2023, 11, 45. https://doi.org/10.3390/galaxies11020045
Vazza F, Wittor D, Brüggen M, Brunetti G. Simulating the Enrichment of Fossil Radio Electrons by Multiple Radio Galaxies. Galaxies. 2023; 11(2):45. https://doi.org/10.3390/galaxies11020045
Chicago/Turabian StyleVazza, Franco, Denis Wittor, Marcus Brüggen, and Gianfranco Brunetti. 2023. "Simulating the Enrichment of Fossil Radio Electrons by Multiple Radio Galaxies" Galaxies 11, no. 2: 45. https://doi.org/10.3390/galaxies11020045
APA StyleVazza, F., Wittor, D., Brüggen, M., & Brunetti, G. (2023). Simulating the Enrichment of Fossil Radio Electrons by Multiple Radio Galaxies. Galaxies, 11(2), 45. https://doi.org/10.3390/galaxies11020045

