Functional, Physical and Psychosocial Impacts of Oral Health-Related Quality of Life in Temporomandibular Disorders—A Comparative Study
Abstract
1. Introduction
- (a)
- No difference in OHRQoL in TMD patients and normal controls.
- (b)
- Demographic variables do not influence the OHRQOL of TMD patients.
- (c)
- All domains of OHIP-TMD will be equally affected in patients with TMD.
2. Materials and Methods
- Z1 = 1.96, i.e., Z score for α error of 5% (95% confidence level);
- Z2 = 0.84, i.e., Z score for estimated study power of 80%;
- S = standard deviation 12.24 [18];
- μ2 − μ1 = expected minimum difference between means of study and control groups = 7;
3. Results
4. Discussion
5. Conclusions
Author Contributions
Funding
Institutional Review Board Statement
Informed Consent Statement
Data Availability Statement
Conflicts of Interest
Abbreviations
| TMDs | Temporomandibular disorders |
| OHRQoL | Oral health-related quality of life |
| OHIP-TMDs | Oral health impact profile for temporomandibular disorders |
| DC/TMDs | Diagnostic Criteria for Temporomandibular Disorders |
| TMJ(s) | Temporomandibular joint(s) |
| DDs | Disc displacements |
| OSA | Obstructive sleep apnea |
| PTSD | Post-Traumatic Stress Disorder |
| NSAIDs | Non-Steroidal Anti-Inflammatory Drugs |
| SSRIs | Selective Serotonin Reuptake Inhibitors |
| PI | Plaque Index |
| GI | Gingival Index |
| IRB | Institutional Review Board |
| SPSS | Statistical Package for the Social Sciences (IBM SPSS Statistics) |
| CI | Confidence interval |
| OR | Odds ratio |
References
- De Leeuw, R.; Klasser, G. Orofacial pain: Guidelines for assessment, diagnosis, and management. Am. J. Orthod. Dentofacial Orthop. 2008, 134, 171. [Google Scholar] [CrossRef]
- d’Apuzzo, F.; Rotolo, R.P.; Nucci, L.; Simeon, V.; Minervini, G.; Grassia, V. Protective masks during the SARS-CoV-2 pandemic: Any relationship with temporomandibular disorders and orofacial pain? J. Oral. Rehabil. 2023, 50, 767–774. [Google Scholar] [CrossRef] [PubMed]
- Anastassaki Kohler, A.; Hugoson, A.; Magnusson, T. Prevalence of symptoms indicative of temporomandibular disorders in adults: Cross-sectional epidemiological investigations covering two decades. Acta Odontol. Scand. 2012, 70, 213–223. [Google Scholar] [CrossRef] [PubMed]
- Aguiar, A.D.S.; Nogueira Carrer, H.C.; de Lira, M.R.; Martins Silva, G.Z.; Chaves, T.C. Patient-Reported Outcome Measurements in Temporomandibular Disorders and Headaches: Summary of Measurement Properties and Applicability. J. Clin. Med. 2021, 10, 3823. [Google Scholar] [CrossRef] [PubMed]
- Bitiniene, D.; Zamaliauskiene, R.; Kubilius, R.; Leketas, M.; Gailius, T.; Smirnovaite, K. Quality of life in patients with temporomandibular disorders. A systematic review. Stomatologija 2018, 20, 3–9. [Google Scholar]
- NIDCR. Prevalence of Temporomandibular Disorders (TMD). n.d. Available online: https://www.nidcr.nih.gov/research/data-statistics/facial-pain/prevalence (accessed on 1 February 2025).
- Zielinski, G.; Pajak-Zielinska, B.; Ginszt, M. A Meta-Analysis of the Global Prevalence of Temporomandibular Disorders. J. Clin. Med. 2024, 13, 1365. [Google Scholar] [CrossRef]
- Petersen, P.E. The World Oral Health Report 2003: Continuous improvement of oral health in the 21st century--the approach of the WHO Global Oral Health Programme. Community Dent Oral Epidemiol 2003, 31 (Suppl. S1), 3–23. [Google Scholar] [CrossRef]
- Valesan, L.F.; Da-Cas, C.D.; Reus, J.C.; Denardin, A.C.S.; Garanhani, R.R.; Bonotto, D.; Januzzi, E.; de Souza, B.D.M. Prevalence of temporomandibular joint disorders: A systematic review and meta-analysis. Clin. Oral. Investig. 2021, 25, 441–453. [Google Scholar] [CrossRef]
- Song, Y.L.; Yap, A.U. Impact of pain-related temporomandibular disorders on jaw functional limitation, psychological distress and quality of life in postoperative class III East Asian patients. Clin. Oral. Investig. 2020, 24, 953–961. [Google Scholar] [CrossRef]
- Qamar, Z.; Alghamdi, A.M.S.; Haydarah, N.K.B.; Balateef, A.A.; Alamoudi, A.A.; Abumismar, M.A.; Shivakumar, S.; Cicciu, M.; Minervini, G. Impact of temporomandibular disorders on oral health-related quality of life: A systematic review and meta-analysis. J. Oral. Rehabil. 2023, 50, 706–714. [Google Scholar] [CrossRef]
- Suvinen, T.I.; Reade, P.C.; Kemppainen, P.; Kononen, M.; Dworkin, S.F. Review of aetiological concepts of temporomandibular pain disorders: Towards a biopsychosocial model for integration of physical disorder factors with psychological and psychosocial illness impact factors. Eur. J. Pain. 2005, 9, 613–633. [Google Scholar] [CrossRef]
- Durham, J.; Steele, J.G.; Wassell, R.W.; Exley, C.; Meechan, J.G.; Allen, P.F.; Moufti, M.A. Creating a patient-based condition-specific outcome measure for Temporomandibular Disorders (TMDs): Oral Health Impact Profile for TMDs (OHIP-TMDs). J. Oral. Rehabil. 2011, 38, 871–883. [Google Scholar] [CrossRef]
- Yule, P.L.; Durham, J.; Playford, H.; Moufti, M.A.; Steele, J.; Steen, N.; Wassell, R.W.; Ohrbach, R. OHIP-TMDs: A patient-reported outcome measure for temporomandibular disorders. Community Dent. Oral. Epidemiol. 2015, 43, 461–470. [Google Scholar] [CrossRef]
- List, T.; Jensen, R.H. Temporomandibular disorders: Old ideas and new concepts. Cephalalgia 2017, 37, 692–704. [Google Scholar] [CrossRef] [PubMed]
- Natu, V.P.; Yap, A.U.; Su, M.H.; Irfan Ali, N.M.; Ansari, A. Temporomandibular disorder symptoms and their association with quality of life, emotional states and sleep quality in South-East Asian youths. J. Oral. Rehabil. 2018, 45, 756–763. [Google Scholar] [CrossRef] [PubMed]
- Yap, A.U.; Cao, Y.; Zhang, M.J.; Lei, J.; Fu, K.Y. Age-related differences in diagnostic categories, psychological states and oral health-related quality of life of adult temporomandibular disorder patients. J. Oral Rehabil. 2021, 48, 361–368. [Google Scholar] [CrossRef]
- Srivastava, K.C.; Shrivastava, D.; Khan, Z.A.; Nagarajappa, A.K.; Mousa, M.A.; Hamza, M.O.; Al-Johani, K.; Alam, M.K. Evaluation of temporomandibular disorders among dental students of Saudi Arabia using Diagnostic Criteria for Temporomandibular Disorders (DC/TMD): A cross-sectional study. BMC Oral. Health 2021, 21, 211. [Google Scholar] [CrossRef]
- Schiffman, E.; Ohrbach, R.; Truelove, E.; Look, J.; Anderson, G.; Goulet, J.-P.; List, T.; Svensson, P.; Gonzalez, Y.; Lobbezoo, F.; et al. Diagnostic Criteria for Temporomandibular Disorders (DC/TMD) for Clinical and Research Applications: Recommendations of the International RDC/TMD Consortium Network* and Orofacial Pain Special Interest Group†. J. Oral Facial Pain Headache 2014, 28, 6–27. [Google Scholar] [CrossRef]
- Yap, A.U.; Zhang, M.J.; Cao, Y.; Lei, J.; Fu, K.Y. Comparison of psychological states and oral health–related quality of life of patients with differing severity of temporomandibular disorders. J. Oral Rehabil. 2022, 49, 177–185. [Google Scholar] [CrossRef]
- Yap, A.U.; Cao, Y.; Zhang, M.J.; Lei, J.; Fu, K.Y. Comparison of emotional disturbance, sleep, and life quality in adult patients with painful temporomandibular disorders of different origins. Clin. Oral Investig. 2021, 25, 4097–4105. [Google Scholar] [CrossRef]
- Oghli, I.; List, T.; Su, N.; Häggman-Henrikson, B. The impact of oro-facial pain conditions on oral health-related quality of life: A systematic review. J. Oral. Rehabil. 2020, 47, 1052–1064. [Google Scholar] [CrossRef] [PubMed]
- Dahlström, L.; Carlsson, G.E. Temporomandibular disorders and oral health-related quality of life. A systematic review. Acta Odontol. Scand. 2010, 68, 80–85. [Google Scholar] [CrossRef]
- Lei, J.; Yap, A.U.; Zhang, M.; Fu, K.Y. Temporomandibular disorder subtypes, emotional distress, impaired sleep, and oral health-related quality of life in Asian patients. Community Dent. Oral Epidemiol. 2021, 49, 543–549. [Google Scholar] [CrossRef] [PubMed]
- Manfredini, D.; Winocur, E.; Ahlberg, J.; Guarda-Nardini, L.; Lobbezoo, F. Psychosocial impairment in temporomandibular disorders patients. RDC/TMD axis II findings from a multicentre study. J. Dent. 2010, 38, 765–772. [Google Scholar] [CrossRef] [PubMed]
- Zheng, J.; Wong, M.C.; Lam, C.L. Key factors associated with oral health-related quality of life (OHRQOL) in Hong Kong Chinese adults with orofacial pain. J. Dent. 2011, 39, 564–571. [Google Scholar] [CrossRef]
- Fischoff, D.; Spivakovsky, S. Are pharmacological treatments for oro-facial pain effective? Evid. Based Dent. 2018, 19, 28–29. [Google Scholar] [CrossRef]
- Balik, A.; Peker, K.; Ozdemir-Karatas, M. Comparisons of measures that evaluate oral and general health quality of life in patients with temporomandibular disorder and chronic pain. Cranio 2021, 39, 310–320. [Google Scholar] [CrossRef] [PubMed]
- Blanco-Aguilera, A.; Blanco-Aguilera, E.; Serrano-Del-Rosal, R.; Biedma-Velazquez, L.; Rodriguez-Torronteras, A.; Segura-Saint-Gerons, R.; Blanco-Hungria, A. Influence of clinical and psychological variables upon the oral health-related quality of life in patients with temporomandibular disorders. Med. Oral. Patol. Oral. Cir. Bucal 2017, 22, e669–e678. [Google Scholar] [CrossRef]
- Polonowita, A.D.; Thomson, W.M.; Thorburn, D.N. Clinical efficacy of a simplified approach to managing chronic temporomandibular disorders: Evidence from a 1-year case series. Oral. Surg. Oral. Med. Oral. Pathol. Oral. Radiol. 2019, 128, 227–234. [Google Scholar] [CrossRef]


| Category | Overall (N, %) | Control Group (N, %) | TMD Group (N, %) | Chi-Square p-Value |
|---|---|---|---|---|
| Gender | ||||
| Females | 80 (72.7%) | 40 (72.7%) | 40 (72.7%) | Not significant |
| Males | 30 (27.3%) | 15 (27.3%) | 15 (27.3%) | |
| Age | Not significant | |||
| 18–30 | 49 (44.5%) | 26 (47.3%) | 23 (41.8%) | |
| 31–40 | 61 (55.5%) | 29 (52.7%) | 32 (58.2%) | |
| Education | ||||
| Degree | 101 (91.8%) | 48 (87.3%) | 53 (96.4%) | 0.000 * |
| High School | 9 (8.2%) | 7 (12.7%) | 2 (3.6%) | |
| Marital Status | ||||
| Married | 90 (81.8%) | 40 (72.7%) | 50 (90.9%) | 0.001 * |
| Single | 20 (18.2%) | 15 (27.3%) | 5 (9.1%) |
| Domain | Overall Mean + SD | Overall with a 95% CI | Control Group Mean + SD | TMD Group Mean + SD | T | p-Value |
|---|---|---|---|---|---|---|
| Functional limitation | 1.68 + 1.78 | 1.69 [95% CI: 1.35–2.02] | 0.53 + 0.99 | 2.84 + 1.63 | 8.8625 | 0.000 * |
| Physical pain | 1.63 + 1.72 | 1.64 [95% CI: 1.31–1.96] | 0.52 + 0.97 | 2.75 + 1.55 | 8.8292 | 0.000 * |
| Psychological discomfort | 1.96 + 1.80 | 1.97 [95% CI: 1.62–2.31] | 0.71 + 1.16 | 3.21 + 1.35 | 6.896 | 0.000 * |
| Physical disability | 1.75 + 1.82 | 1.75 [95% CI: 1.41–2.09] | 0.70 + 1.164 | 2.80 + 1.74 | 6.896 | 0.000 * |
| Psychological disability | 1.63 + 1.74 | 1.63 [95% CI: 1.3–1.96] | 0.56 + 1.04 | 2.70 + 1.59 | 8.0398 | 0.000 * |
| Social disability | 1.41 + 1.65 | 1.4 [95% CI: 1.09–1.71] | 0.52 + 1.04 | 2.27 + 1.68 | 6.1955 | 0.000 * |
| Handicap | 1.43 + 1.76 | 1.4 [95% CI: 1.07–1.73] | 0.46 + 1.00 | 2.33 + 1.86 | 6.1255 | 0.000 * |
| TMD Group (55 Participants) | |||
|---|---|---|---|
| Standard Error | Odds Ratio | p Value | |
| Gender | 0.450 | 0.867 | 0.752 |
| Education | 0.851 | 0.285 | 0.140 |
| Marital status | 0.259 | 0.277 | 0.024 * |
| Domain | Mean TMD | B | Standard Error | p-Value |
|---|---|---|---|---|
| Functional Limitation | 4.88 | 0.002 | 0.01 | 0.920 |
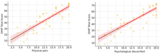
| Physical Pain | 12.90 | 0.031 | 0.01 | 0.004 * |
| Psychological Discomfort | 11.86 | 0.047 | 0.01 | 0.001 * |
| Physical Disability | 5.58 | −0.012 | 0.01 | 0.396 |
| Psychological Disability | 11.20 | −0.006 | 0.01 | 0.594 |
| Social Disability | 4.53 | −0.003 | 0.02 | 0.874 |
| Handicap | 4.15 | −0.003 | 0.01 | 0.870 |
| Model Summary: | ||||
| R | 0.812 | |||
| R Square | 0.659 | |||
| Adjusted R Square | 0.608 | |||
| Std. Error of the Estimate | 0.016 | |||
| Domains | B | Standard Error | β (Beta) | t-Value | p-Value |
|---|---|---|---|---|---|
| Functional Limitation | 0.25 | 0.05 | 0.35 | 5.00 | 0.001 * |
| Physical Pain | 0.40 | 0.07 | 0.42 | 5.71 | 0.001 * |
| Psychological Discomfort | 0.38 | 0.06 | 0.39 | 6.33 | 0.001 * |
| Physical Disability | 0.15 | 0.08 | 0.18 | 1.88 | 0.064 |
| Psychological Disability | 0.22 | 0.07 | 0.25 | 3.14 | 0.002 * |
| Social Disability | 0.10 | 0.09 | 0.12 | 1.11 | 0.269 |
| Handicap | 0.18 | 0.08 | 0.20 | 2.25 | 0.027 |
Disclaimer/Publisher’s Note: The statements, opinions and data contained in all publications are solely those of the individual author(s) and contributor(s) and not of MDPI and/or the editor(s). MDPI and/or the editor(s) disclaim responsibility for any injury to people or property resulting from any ideas, methods, instructions or products referred to in the content. |
© 2025 by the authors. Licensee MDPI, Basel, Switzerland. This article is an open access article distributed under the terms and conditions of the Creative Commons Attribution (CC BY) license (https://creativecommons.org/licenses/by/4.0/).
Share and Cite
AlSahman, L.; AlBagieh, H.; AlSahman, R.; Correa, L.P.; Mehta, N.R. Functional, Physical and Psychosocial Impacts of Oral Health-Related Quality of Life in Temporomandibular Disorders—A Comparative Study. Diagnostics 2025, 15, 602. https://doi.org/10.3390/diagnostics15050602
AlSahman L, AlBagieh H, AlSahman R, Correa LP, Mehta NR. Functional, Physical and Psychosocial Impacts of Oral Health-Related Quality of Life in Temporomandibular Disorders—A Comparative Study. Diagnostics. 2025; 15(5):602. https://doi.org/10.3390/diagnostics15050602
Chicago/Turabian StyleAlSahman, Lujain, Hamad AlBagieh, Roba AlSahman, Leopoldo P. Correa, and Noshir R. Mehta. 2025. "Functional, Physical and Psychosocial Impacts of Oral Health-Related Quality of Life in Temporomandibular Disorders—A Comparative Study" Diagnostics 15, no. 5: 602. https://doi.org/10.3390/diagnostics15050602
APA StyleAlSahman, L., AlBagieh, H., AlSahman, R., Correa, L. P., & Mehta, N. R. (2025). Functional, Physical and Psychosocial Impacts of Oral Health-Related Quality of Life in Temporomandibular Disorders—A Comparative Study. Diagnostics, 15(5), 602. https://doi.org/10.3390/diagnostics15050602
