Comparative Performance Evaluation of Continuous Monitoring Blood Culture Systems Using Simulated Septic Specimen
Abstract
1. Introduction
2. Materials and Methods
2.1. Microorganism Preparation
2.2. Instruments with Culture Bottles
2.3. Simulated Septic Specimen
2.4. CFU Verification and Growth Confirmation
- The entire SSS was divided into several culture bottles requiring inoculation;
- A single syringe was used to inoculate no more than five bottles;
- After the inoculation of one type of culture bottle, a new syringe was used;
- After 3 mL inoculation, 250 µL of the remaining divided sample was used to verify the actual CFU, of which the target range was <10 CFU/mL, by inoculating it onto the solid plate initially used for pure culture.
2.5. Statistical Analysis
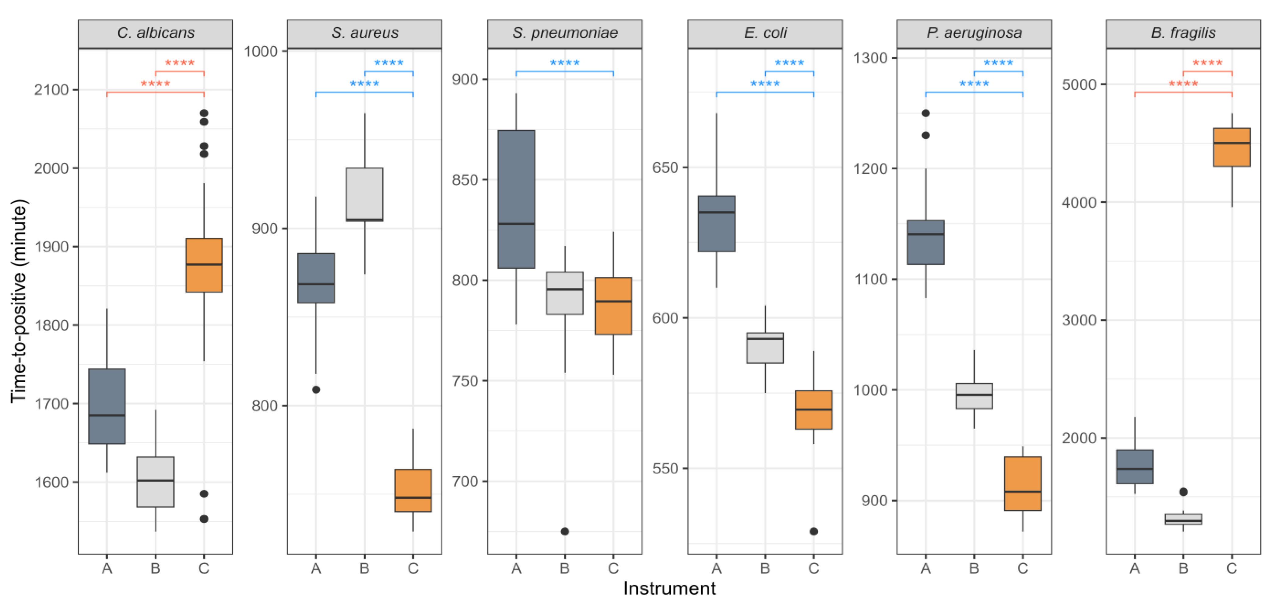
3. Results
4. Discussion
5. Conclusions
Supplementary Materials
Author Contributions
Funding
Institutional Review Board Statement
Informed Consent Statement
Data Availability Statement
Conflicts of Interest
References
- Han, X.; Spicer, A.; Carey, K.A.; Gilbert, E.R.; Laiteerapong, N.; Shah, N.S.; Winslow, C.; Afshar, M.; Kashiouris, M.G.; Churpek, M.M. Identifying high-risk subphenotypes and associated harms from delayed antibiotic orders and delivery. Crit. Care Med. 2021, 49, 1697–1705. [Google Scholar] [CrossRef] [PubMed]
- Seymour, C.W.; Gesten, F.; Prescott, H.C.; Friedrich, M.; Iwashyna, T.J.; Phillips, G.S.; Lemeshow, S.; Osborn, T.; Terry, K.M.; Levy, M.M. Time to treatment and mortality during mandated emergency care for sepsis. N. Engl. J. Med. 2017, 376, 2235–2244. [Google Scholar] [CrossRef] [PubMed]
- Ryan, M.R.; Murray, P.R. Historical evolution of automated blood culture systems. Clin. Microbiol. Newsl. 1993, 15, 105–108. [Google Scholar] [CrossRef]
- Menchinelli, G.; Liotti, F.M.; Fiori, B.; Angelis, G.D.; D’Inzeo, T.; Giordano, L.; Posteraro, B.; Sabbatucci, M.; Sanguinetti, M.; Spanu, T. In vitro evaluation of BACT/ALERT® VIRTUO®, BACT/ALERT 3D®, and BACTEC™ FX automated blood culture systems for detection of microbial pathogens using simulated human blood samples. Front. Microbiol. 2019, 10, 221. [Google Scholar] [CrossRef]
- Li, G.; Sun, J.; Pan, S.; Li, W.; Zhang, S.; Wang, Y.; Sun, X.; Xu, H.; Ming, L. Comparison of the performance of three blood culture systems in a Chinese tertiary-care hospital. Front. Cell. Infect. Microbiol. 2019, 9, 285. [Google Scholar] [CrossRef]
- Thorpe, T.C.; Wilson, M.L.; Turner, J.E.; DiGuiseppi, J.L.; Willert, M.; Mirrett, S.; Reller, L.B. Bact/Alert: An automated coloimetric microbial detection system. J. Clin. Microbiol. 1990, 28, 1608–1612. [Google Scholar] [CrossRef]
- Nolte, F.S.; Williams, J.M.; Jerris, R.C.; Morello, J.A.; Leitch, C.D.; Matushek, S.; Schwabe, L.D.; Dorigan, F.; Kocka, F.E. Multicenter clinical evaluation of a continuous monitoring blood culture system using fluorescent-sensor technology (BACTEC 9240). J. Clin. Microbiol. 1993, 31, 552–557. [Google Scholar] [CrossRef]
- Mirrett, S.; Hanson, K.E.; Reller, L.B. Controlled clinical comparison of VersaTREK and BacT/ALERT blood culture systems. J. Clin. Microbiol. 2006, 45, 229–302. [Google Scholar] [CrossRef]
- Hardy, L.; Vermoesen, T.; Genbrugge, E.; Natale, A.; Franquesa, C.; Gleeson, B.; Ferreyra, C.; Dailey, P.; Jacobs, J. Affordable blood culture systems from China: In vitro evaluation for use in resource-limited settings. EBioMedicine 2024, 101, 105004. [Google Scholar] [CrossRef]
- Ombelet, S.; Natale, A.; Ronat, J.B.; Vandenberg, O.; Jacobs, J.; Hardy, L. Considerations in evaluating equipment-free blood culture bottles: A short protocol for use in low-resource settings. PLoS ONE 2021, 17, e0267491. [Google Scholar] [CrossRef]
- Ombelet, S.; Barbé, B.; Affolabi, D.; Ronat, J.B.; Lompo, P.; Lunguya, O.; Jacobs, J.; Hardy, L. Best practices of blood cultures in low- and middle-income countries. Front. Med. 2019, 6, 131. [Google Scholar] [CrossRef] [PubMed]
- Uh, Y.; Jang, I.H.; Park, S.D.; Kim, K.S.; Seo, D.M.; Yoon, K.J.; Choi, H.K.; Kim, Y.K.; Kim, H.Y. Factors influencing the false positive signals of continuous monitoring blood culture system. Ann. Clin. Microbiol. 2014, 17, 58–64. (In Korean) [Google Scholar] [CrossRef]
- Ahn, K.; Ahn, J.H.; Kim, J.; Lee, J.H.; Hwang, G.Y.; Yoo, G.; Yoon, K.J.; Uh, Y. A new bacterial growth graph pattern analysis to improve positive predictive value of continuous monitoring blood culture system. J. Med. Syst. 2018, 42, 189. [Google Scholar] [CrossRef]
- Global Antimicrobial Resistance and Use Surveillance System (GLASS). Global Antimicrobial Resistance and Use Surveillance System (GLASS) Report 2022; World Health Organization: Geneva, Switzerland, 2022; p. 10. Available online: https://www.who.int/publications/i/item/9789240062702 (accessed on 3 January 2025).
- Kim, H.; Park, J.S.; Kim, D.; Kim, H.J.; Shin, J.H.; Kim, Y.A.; Uh, Y.; Kim, S.H.; Shin, J.H.; Jeong, S.H.; et al. Standardization of an antimicrobial resistance surveillance network through data management. Front. Cell. Infect. Microbiol. 2024, 14, 1411145. [Google Scholar] [CrossRef]
- Kim, D.; Yoon, E.J.; Hong, J.S.; Choi, M.H.; Kim, H.S.; Kim, Y.R.; Kim, Y.A.; Uh, Y.; Shin, K.S.; Shin, J.H.; et al. Major bloodstream infection-causing bacterial pathogens and their antimicrobial resistance in South Korea, 2017–2019: Phase I report from Kor-GLASS. Front. Microbiol. 2022, 12, 799084. [Google Scholar] [CrossRef]
- Lee, H.; Yoon, E.J.; Kim, D.; Jeong, S.H.; Won, E.J.; Shin, J.H.; Kim, S.H.; Shin, J.H.; Shin, K.S.; Kim, Y.A.; et al. Antimicrobial resistance of major clinical pathogens in South Korea, May 2016 to April 2017: First one-year report from Kor-GLASS. Euro Surveill. 2018, 23, 1800047. [Google Scholar] [CrossRef]
- Martin, T.; Aziz, H. Bacteroides fragilis: A case study of bacteremia and septic arthritis. Clin. Lab. Sci. 2009, 22, 131–135. [Google Scholar] [PubMed]
- Roh, K.H.; Kim, S.; Kim, C.K.; Yum, J.H.; Kim, M.S.; Yong, D.; Lee, K.; Kim, J.M.; Chong, Y. Resistance trends of Bacteroides fragilis group over an 8-year period, 1997–2004, in Korea. Korean J. Lab. Med. 2009, 29, 293–298. [Google Scholar] [CrossRef]
- Park, Y.; Lee, Y.; Kim, M.; Choi, J.Y.; Young, D.; Jeong, S.H. Recent trends of anaerobic bacteria isolated from clinical specimens and clinical characteristics of anaerobic bacteremia. Infect. Chemother. 2009, 41, 216–223. [Google Scholar] [CrossRef]
- Global Antimicrobial Resistance Surveillance System (GLASS). Early Implementation Protocol for the Inclusion of Candida spp.; World Health Organization: Geneva, Switzerland, 2019; p. 5. Available online: https://www.who.int/publications/i/item/WHO-WSI-AMR-2019.4 (accessed on 3 January 2025).
- Won, E.J.; Choi, M.J.; Jeong, S.H.; Kim, D.; Shin, K.S.; Shin, J.H.; Kim, Y.R.; Kim, H.S.; Kim, Y.A.; Uh, Y.; et al. Nationwide surveillance of antifungal resistance of Candida bloodstream isolates in South Korean Hospitals: Two year report from Kor-GLASS. J. Fungi 2022, 8, 996. [Google Scholar] [CrossRef]
- McFarland, J. The nephelometer: An instrument for estimating the number of bacteria in suspensions used for calculating the opsonic index and for vaccines. JAMA 1907, 14, 1176–1178. [Google Scholar] [CrossRef]
- Zapata, A.; Ramirez-Arcos, S. A comparative study of McFarland turbidity standars and the densimat photometer to determine bacterial cell density. Curr. Microbiol. 2015, 70, 907–909. [Google Scholar] [CrossRef]
- Reier-Nilsen, T.; Farstad, T.; Nakstad, B.; Lauvrak, V.; Steinbakk, M. Comparison of broad range 16S rDNA PCR and conventional blood culture for diagnosis of sepsis in the newborn: A case control study. BMC Pediatr. 2009, 9, 5. [Google Scholar] [CrossRef] [PubMed]
- Yagupsky, P.; Nolte, F.S. Quantitative aspects of septicemia. Clin. Microbiol. Rev. 1990, 3, 269–279. [Google Scholar] [CrossRef] [PubMed]
- Çetin, E.S.; Kaya, S.; Demirici, M.; Aridogan, B.C. Comparison of the BACTEC blood culture system versus conventional methods for culture of normally sterile body fluids. Adv. Ther. 2007, 24, 1271–1277. [Google Scholar] [CrossRef] [PubMed]
- Bourbeau, P.; Riley, J.; Heiter, B.J.; Master, R.; Young, C.; Pierson, C. Use of BacT/Alert blood culture system for culture of sterile body fluids other than blood. J. Clin. Microbiol. 1998, 36, 3273–3277. [Google Scholar] [CrossRef]
- Udayan, U.; Dias, M. Evaluation of BACTEC™ blood culture system for culture of normally sterile body fluids. Indian J. Crit. Care Med. 2014, 18, 829–830. [Google Scholar] [CrossRef]
- Park, S.D.; Uh, Y.; Jang, I.H.; Hong, M.; Lee, H.G.; Lee, K.S.; Lee, D.H. Evaluation of blood culture system for culture of body fluids. J. Lab. Med. Qual. Assur. 2015, 37, 23–28. [Google Scholar] [CrossRef][Green Version]
- K121455–510(k) Premarket Notification–DA. Available online: https://www.accessdata.fda.gov/cdrh_docs/pdf12/K121455.pdf (accessed on 3 January 2025).
- Li, H.; Sun, S.; Yap, J.Q.; Chen, J.; Qian, Q. 0.9% saline is neither normal nor physiological. J. Zhejiang Univ. Sci. B. 2016, 17, 181–187. [Google Scholar] [CrossRef]
- Chen, G.Y.; Chai, T.Q.; Wang, J.L.; Yang, F.Q. Recent advances in the colorimetric and fluorescence analysis of bioactive small-molecule compounds based on the enzyme-like activity of nanomaterials. J. Pham. Biomed. Anal. 2023, 236, 115695. [Google Scholar] [CrossRef]
- Celik, C.; Kalin, G.; Cetinkaya, Z.; Ildiz, N.; Ocsoy, I. Recent advances in colorimetric tests for the detection of infectious diseases and antimicrobial resistance. Diagnostics 2023, 13, 2427. [Google Scholar] [CrossRef] [PubMed]
- Tomazin, R.; Pliberšek, T.; Valenčak, A.O.; Matos, T. Different BD BACTEC™ blood culture bottle types for the detection of fungi in simulated sterile body fluid samples. Diagnostics 2023, 13, 1699. [Google Scholar] [CrossRef] [PubMed]
- Ochiai, T. Salt-sensitive growth of Staphylococcus aureus: Stimulation of salt-induced autolysis by multiple environmental factors. Microbiol. Immunol. 1999, 43, 705–709. [Google Scholar] [CrossRef]
- Northrop, F.D.; Ljubojevic, S.; Davies, J.M. Influence of Na+ and anions on the dimorphic transition of Candida albicans. Microbiology 1997, 143, 3757–3765. [Google Scholar] [CrossRef][Green Version]
- Aldini, G.; Altomare, A.; Baron, G.; Vistoli, G.; Carini, M.; Baosani, L.; Sergio, F. N-Acetylcycteine as an antioxidant and disulphide breaking agent: The reasons why. Free Radic. Res. 2018, 52, 751–762. [Google Scholar] [CrossRef]
- Phuengmaung, P.; Somparn, P.; Panpetch, W.; Singkham-In, U.; Wannigama, D.L.; Chatsuwan, T.; Leelahavanichkul, A. Coexistence of Pseudomonas aeruginosa with Candida albicans enhances biofilm thickness through alginate-related extracellular matrix but is attenuated by N-acetyl-L-cycteine. Front. Cell. Infect. Microbiol. 2020, 10, 594336. [Google Scholar] [CrossRef]
- Wain, W.H.; Price, M.F.; Cawson, R.A. A re-evaluation of the effect of cysteine or Candida albicans. Sabouraoudia 1975, 13, 74–82. [Google Scholar] [CrossRef]
- Nunes, T.S.B.S.; Rosa, L.M.; Vega-Chacón, Y.; de Oliveira Mima, E.G. Fungistatic action of N-acetylcysteine on Candida albicans biofilms and its interaction with antifungal agents. Microorganisms 2020, 8, 980. [Google Scholar] [CrossRef]
- Choe, K.W.; Lim, Y.K.; Lee, M.K. Comparison of new and old BacT/ALERT aerobic bottles for detection of Candida species. PLoS ONE 2023, 18, e0288674. [Google Scholar] [CrossRef]
- Shanson, D.C.; Singh, J. Effect of adding cysteine to brain-heart infusion broth on the isolation of Bacteriodes fragilis from experimental blood cultures. J. Clin. Pathol. 1981, 34, 221–223. [Google Scholar] [CrossRef]
- Tamimi, H.A.; Hiltbrand, W.; Loercher, H. Some growth requirements of Bacteroides fragilis. J. Bacteriol. 1960, 80, 472–476. [Google Scholar] [CrossRef] [PubMed]
- Leo, S.; Cherkaoui, A.; Renzi, G.; Schrenzel, J. Mini review: Clinical routine microbiology in the era of automation and digital health. Front. Cell. Infect. Microbiol. 2020, 10, 582028. [Google Scholar] [CrossRef]
- Jieun, K.; Lee, Y.; Park, Y.; Kim, M.; Choi, J.Y.; Yong, D.; Jeong, S.H.; Lee, K. Anaerobic bacteremia: Impact of inappropriate therapy on mortality. Infect. Chemother. 2016, 48, 91–98. [Google Scholar] [CrossRef]



| Details | BacT/Alert® 3D 1 | BACTEC™ FX 2 | HubCentra84 |
|---|---|---|---|
| Instrument | |||
| Capacity (cells) | 240 | 200 | 84 |
| Dimensions (width × depth × height, mm) | 838 × 608 × 900 | 635 × 864 × 1016 | 650 × 552 × 490 |
| Weight (kg) | 174 | 251 | 47 |
| Agitation | Continuous rocking | Continuous rocking | Continuous rocking |
| Detection | Colorimetry | Fluorescence | Colorimetry |
| Control system | LCD touch pad | LCD touch pad and EpiCenter™ running on Windows OS | Control program on a laptop running Windows OS |
| Media 3 | |||
| Aerobic | Pancreatic digest of casein, papaic digest bean meal, SPS, pyridoxine HCl, other complex amino acid and carbohydrate substrates in purified water | Soybean–casein digest broth, yeast extract, dextrose, sucrose, hemin, menadione, pyridoxal HCl, SPS, nonionic absorbing resin, cationic excahge resin, processed water | Casein, soybean meal, dextrose, dibasic potassium phosphate, sodium chloride, polyanetholesulfonic acid, resins |
| Anaerobic | Pancreatic digest of casein, papaic digest bean meal, SPS, menadione, hemin, reducing agents, other complex amino acid and carbohydrate substrates in purified water | Soybean–casein digest broth, yeast extract, animal tissue digest, dextrose, hemin, menadione, sodium citrate, thiols, sodium pyruvate, saponin, antifoaming agent, SPS, processed water | Casein, yeast extract, dextrose, dibasic potassium phosphate, sodium chloride, L-cystine, sodium thioglycolate, polyanetholesulfonic acid, resins |
Disclaimer/Publisher’s Note: The statements, opinions and data contained in all publications are solely those of the individual author(s) and contributor(s) and not of MDPI and/or the editor(s). MDPI and/or the editor(s) disclaim responsibility for any injury to people or property resulting from any ideas, methods, instructions or products referred to in the content. |
© 2025 by the authors. Licensee MDPI, Basel, Switzerland. This article is an open access article distributed under the terms and conditions of the Creative Commons Attribution (CC BY) license (https://creativecommons.org/licenses/by/4.0/).
Share and Cite
Ahn, K.; Lee, T.; Hwang, S.; Seo, D.M.; Uh, Y. Comparative Performance Evaluation of Continuous Monitoring Blood Culture Systems Using Simulated Septic Specimen. Diagnostics 2025, 15, 468. https://doi.org/10.3390/diagnostics15040468
Ahn K, Lee T, Hwang S, Seo DM, Uh Y. Comparative Performance Evaluation of Continuous Monitoring Blood Culture Systems Using Simulated Septic Specimen. Diagnostics. 2025; 15(4):468. https://doi.org/10.3390/diagnostics15040468
Chicago/Turabian StyleAhn, Kwangjin, Taesic Lee, Sangwon Hwang, Dong Min Seo, and Young Uh. 2025. "Comparative Performance Evaluation of Continuous Monitoring Blood Culture Systems Using Simulated Septic Specimen" Diagnostics 15, no. 4: 468. https://doi.org/10.3390/diagnostics15040468
APA StyleAhn, K., Lee, T., Hwang, S., Seo, D. M., & Uh, Y. (2025). Comparative Performance Evaluation of Continuous Monitoring Blood Culture Systems Using Simulated Septic Specimen. Diagnostics, 15(4), 468. https://doi.org/10.3390/diagnostics15040468

