Evaluation of Cycle Threshold (Ct) Values for Detecting High-Risk HPV in Self-Collected Vaginal Samples as a Triage Method to Colposcopy
Abstract
1. Introduction
2. Materials and Methods
2.1. Data Collection
2.2. HPV DNA Testing
2.3. Cytology and Histology
2.4. Statistical Analysis
3. Results
3.1. Study Population
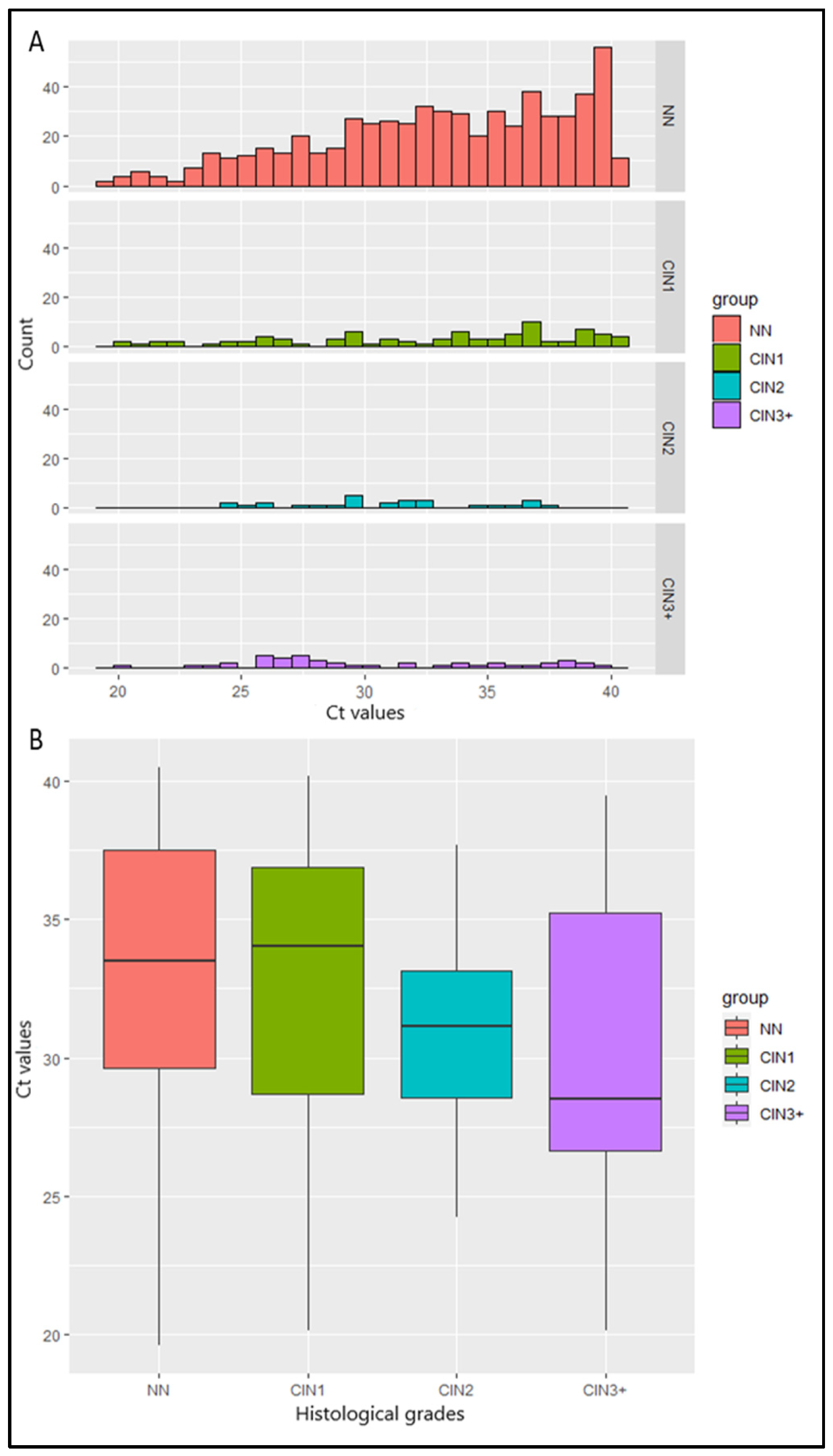
3.2. Ct Values in hrHPV-Positive Samples
3.3. Ct Value Cut-Off Point Calculation
3.4. Performance of Ct Value for the Triage of HPV16/18-Positive Women to Colposcopy
3.5. Performance of Ct Value for Triage to Colposcopy of hrHPV-Non16/18-Positive Women
4. Discussion
Author Contributions
Funding
Institutional Review Board Statement
Informed Consent Statement
Data Availability Statement
Acknowledgments
Conflicts of Interest
References
- Bray, F.; Laversanne, M.; Sung, H.; Ferlay, J.; Siegel, R.L.; Soerjomataram, I.; Jemal, A. Global cancer statistics 2022: GLOBOCAN estimates of incidence and mortality worldwide for 36 cancers in 185 countries. CA Cancer J. Clin. 2024, 74, 229–263. [Google Scholar] [CrossRef]
- Walboomers, J.M.; Jacobs, M.V.; Manos, M.M.; Bosch, F.X.; Kummer, J.A.; Shah, K.V.; Snijders, P.J.; Peto, J.; Meijer, C.J.; Muñoz, N. Human papillomavirus is a necessary cause of invasive cervical cancer worldwide. J. Pathol. 1999, 189, 12–19. [Google Scholar] [CrossRef]
- Simms, K.T.; Steinberg, J.; Caruana, M.; Smith, M.A.; Lew, J.B.; Soerjomataram, I.; CVastle, P.E.; Bray, F.; Canfell, K. Impact of scaled up human papillomavirus vaccination and cervical screening and the potential for global elimination of cervical cancer in 181 countries, 2020–2099: A modelling study. Lancet Oncol. 2019, 20, 394–407. [Google Scholar] [CrossRef] [PubMed]
- Ronco, G.; Dillner, J.; Elfström, K.M.; Tunesi, S.; Snijders, P.J.F.; Arbyn, M.; Kitchener, H.; Segnan, N.; Gilham, C.; Giorgi-Rossi, P.; et al. International HPV screening working groupEfficacy of HPV-based screening for prevention of invasive cervical cancer: Follow-up of four European randomised controlled trials. Lancet 2014, 383, 524–532. [Google Scholar] [CrossRef]
- Maver, P.J.; Poljak, M. Primary HPV-based cervical cancer screening in Europe: Implementation status, challenges, and future plans. Clin. Microbiol. Infect. 2020, 26, 579–583. [Google Scholar] [CrossRef]
- Melnikow, J.; Henderson, J.T.; Burda, B.U.; Senger, C.A.; Durbin, S.; Weyrich, M.S. Screening for Cervical Cancer With High-Risk Human Papillomavirus Testing: Updated Evidence Report and Systematic Review for the US Preventive Services Task Force. JAMA 2018, 320, 687–705. [Google Scholar] [CrossRef]
- Chatzistamatiou, K.; Tsertanidou, A.; Moysiadis, T.; Mouchtaropoulou, E.; Pasentsis, K.; Skenderi, A.; Stamatopoulos, K.; Agrastos, T. Comparison of different strategies for the triage to colposcopy of women tested high-risk HPV positive on self-collected cervicovaginal samples. Gynecol. Oncol. 2021, 3, 560–568. [Google Scholar] [CrossRef]
- Agorastos, T.; Chatzistamatiou, K.; Tsertanidou, A.; Mouchtaropoulou, E.; Pasentsis, K.; Kitsou, A.; Moysiadis, T.; Moschaki, V.; Skenderi, A.; Katsiki, E.; et al. Implementation of HPV-based cervical cancer screening combined with self-sampling using a midwifery network across rural Greece: The GRECOSELF study. Cancer Prev. Res. 2019, 12, 701–710. [Google Scholar] [CrossRef] [PubMed]
- Chatzistamatiou, K.; Vrekoussis, T.; Tsertanidou, A.; Moysiadis, T.; Mouchtaropoulou, E.; Pasentsis, K.; Kitsou, A.; Moschaki, V.; Ntoula, M.; Zempili, P.; et al. Acceptability of Self-Sampling for Human Papillomavirus-Based Cervical Cancer Screening. J. Women’s Health 2020, 29, 1447–1456. [Google Scholar] [CrossRef]
- Álvarez-Argüelles, M.E.; de Oña-Navarro, M.; Rojo-Alba, S.; Torrens-Muns, M.; Junquera-Llaneza, M.L.; Antonio-Boga, J.; Pérez-Castro, S.; Melón-García, S. Quantification of human papilloma virus (HPV) DNA using the Cobas 4800 system in women with and without pathological alterations attributable to the virus. J. Virol. Methods 2015, 222, 95–102. [Google Scholar] [CrossRef] [PubMed]
- Arbyn, M.; Smith, S.B.; Temin, S.; Sultana, F.; Castle, P. Collaboration on Self-Sampling and HPV testing. Detecting cervical precancer and reaching underscreened women by using HPV testing on self samples: Updated meta-analyses. BMJ 2018, 363, k4823. [Google Scholar] [CrossRef]
- Song, F.; Du, H.; Wang, C.; Huang, X.; Qu, X.; Wei, L.; Belinson, J.L.; Wu, R.; CHIMUST Team. The effectiveness of human papillomavirus load, reflected by cycle threshold values, for the triage of HPV-positive self-samples in cervical cancer screening. J. Med. Screen. 2021, 28, 318–324. [Google Scholar] [CrossRef]
- Zhang, Y.; Du, H.; Xiao, A.; Zhang, W.; Wang, C.; Huang, X.; Qu, X.; Wang, J.; Wu, R. Verification of the association of the cycle threshold (Ct) values from HPV testing on Cobas4800 with the histologic grades of cervical lesions using data from two population-based cervical cancer screening trials. Infect. Agents Cancer 2022, 17, 27. [Google Scholar] [CrossRef]
- Nayar, R.; Wilbur, D.C. The Pap Test and Bethesda 2014. “The reports of my demise have been greatly exaggerated. (After a quotation from Mark Twain)”. Acta Cytol. 2015, 59, 121–132. [Google Scholar] [CrossRef]
- Solomon, D.; Davey, D.; Kurman, R.; Moriarty, A.; O’Connor, D.; Prey, M.; Raab, S.; Sherman, M.; Wilbur, D.; Wright, T., Jr.; et al. The 2001 Bethesda System: Terminology for reporting results of cervical cytology. JAMA 2002, 287, 2114–2119. [Google Scholar] [CrossRef]
- Apgar, B.S.; Zoschnick, L.; Wright, T.C., Jr. The 2001 Bethesda System terminology. Am. Fam. Physician 2003, 68, 1992–1998. [Google Scholar] [PubMed]
- Portet, S. A primer on model selection using the Akaike Information Criterion. Infect. Dis. Model. 2020, 5, 111–128. [Google Scholar] [CrossRef] [PubMed]
- Canfell, K. Towards the global elimination of cervical cancer. Papillomavirus Res. 2019, 8, 100170. [Google Scholar] [CrossRef]
- Arbyn, M.; Simon, M.; Peeters, E.; Xu, L.; Meijer, C.; Berkhof, J.; Cuschieri, K.; Bonde, J.; Vanlencak, A.O.; Zhao, F.H.; et al. 2020 list of human papillomavirus assays suitable for primary cervical cancer screening. Clin. Microbiol. Infect. 2021, 27, 1083–1095. [Google Scholar] [CrossRef]
- Dutton, T.; Marjoram, J.; Burgess, S.; Montgomery, L.; Vail, A.; Callan, N.; Jacob, S.; Hawkes, D.; Saville, M.; Bailey, J. Uptake and acceptability of human papillomavirus self-sampling in rural and remote aboriginal communities: Evaluation of a nurse-led community engagement model. BMC Health Serv. Res. 2020, 20, 398. [Google Scholar] [CrossRef] [PubMed]
- Morgan, K.; Azzani, M.; Khaing, S.L.; Wong, Y.L.; Su, T.T. Acceptability of Women Self-Sampling versus Clinician-Collected Samples for HPV DNA Testing: A Systematic Review. J. Low. Genit. Tract. Dis. 2019, 23, 193–199. [Google Scholar] [CrossRef]
- Caleia, A.I.; Pires, C.; Pereira, J.F.; Pinto-Ribeiro, F.; Longatto-Filho, A. Self-Sampling as a Plausible Alternative to Screen Cervical Cancer Precursor Lesions in a Population with Low Adherence to Screening: A Systematic Review. Acta Cytol. 2020, 64, 332–343. [Google Scholar] [CrossRef] [PubMed]
- US Preventive Services Task Force; Curry, S.J.; Krist, A.H.; Owens, D.K.; Barry, M.J.; Caughey, A.B.; Davidson, K.W.; Doubeni, C.A.; Epling, J.W.; Kemper, A.R.; et al. Screening for Cervical Cancer: US Preventive Services Task Force Recommendation Statement. JAMA 2018, 320, 674–686. [Google Scholar] [CrossRef] [PubMed]
- Fontham, E.T.H.; Wolf, A.M.D.; Church, T.R.; Etzioni, R.; Flowers, C.R.; Herzig, A.; Guerra, C.E.; Oeffinger, K.C.; Shih, Y.T.; Walter, L.C.; et al. Cervical cancer screening for individuals at average risk: 2020 guideline update from the American Cancer Society. CA Cancer J. Clin. 2020, 70, 321–346. [Google Scholar] [CrossRef] [PubMed]


| Histology | Number of Women | Median Ct Value | IQR | p-Value |
|---|---|---|---|---|
| NN | 603 | 33.5 | 29.6–37.5 | 0.002 |
| CIN1 | 86 | 34 | 28.7–36.9 | |
| CIN2 | 28 | 31.2 | 28.6–33.2 | |
| CIN3 | 42 | 28.5 | 26.8–35.4 | |
| AdenoCa | 1 | 31.4 | 31.4 | |
| SCC | 1 | 26.5 | 26.5 | |
| Total | 761 | - | - | |
| HPV Type | Number of Women | Median Ct Value | IQR | p-Value |
| HPV16 | 220 | 33.7 | 28.4–37.3 | >0.05 |
| HPV18 | 78 | 33.6 | 28.8–37 | |
| hrHPV-non-16/18 | 874 | 33.4 | 29.4–37.1 | |
| Total | 1172 |
| Sensitivity n/N, (%) 95%CI | Specificity n/N, (%) 95%CI | PPV n/N, (%) 95%CI | NPV n/N, (%) 95%CI | |
|---|---|---|---|---|
| CIN2+ Threshold | ||||
| HPV16/18 | (42/42) 100.0 (100.0–100.0) | - | (42/205) 20.5 (15.2–26.7) | - |
| ASCUS+ * | (17/42) 40.5 (25.6–56.7) | (156/163) 95.7 (91.4–98.3) | (17/24) 70.8 (48.9–87.4) | (156/181) 86.2 (80.3–90.9) |
| Ct value (Cut-off: 29.7) | (23/42) 54.8 (38.7–70.2) | (121/163) 74.2 (66.8–80.8) | (23/65) 35.4 (23.9–48.2) | (121/140) 86.4 (73.6–91.6) |
| CIN3+ Threshold | ||||
| HPV16/18 | (29/29) 100.0 (100.0–100.0) | - | (29/205) 14.1 (9.7–19.7) | - |
| ASCUS+ | (11/29) 37.9 (20.7–57.7) | (163/176) 92.6 (87.7–96.0) | (11/24) 45.8 (25.6–67.2) | (163/181) 90.1 (84.7–94.0) |
| Ct value (Cut-off: 29.7) | (18/29) 62.1 (42.3–79.3) | (129/176) 73.3 (66.1–79.7) | (18/65) 27.7 (17.3–40.2) | (129/140) 92.1 (86.4–96.0) |
| Sensitivity n/N, (%) 95%CI | Specificity n/N, (%) 95%CI | PPV n/N, (%) 95%CI | NPV n/N, (%) 95%CI | |
|---|---|---|---|---|
| CIN2+ Threshold | ||||
| hrHPV-non-16/18 | (30/30) 100.0 (100.0–100.0) | - | (30/558) 5.4 (3.7–7.6) | - |
| ASCUS+ * | (12/30) 40.0 (22.7–59.4) | (510/528) 96.6 (94.7–98.0) | (12/30) 40.0 (22.7–59.4) | (510/528) 96.6 (94.7–98.0) |
| Ct value (Cut-off: 29.7) | (8/30) 26.7 (12.3–45.9) | (417/529) 78.8 (75.1–82.2) | (8/119) 6.7 (2.9–12.8) | (417/439) 95.0 (92.5–96.8) |
| CIN3+ Threshold | ||||
| hrHPV-non-16/18 | (15/15) 100.0 (100.0–100.0) | - | (15/558) 2.7 (1.5–4.4) | - |
| ASCUS+ | (3/15) 20.0 (4.3–48.1) | (516/543) 95.0 (92.8–96.7) | (3/30) 10.0 (2.1–2.7) | (516/528) 97.7 (96–98.8) |
| Ct value (Cut-off: 29.7) | (6/15) 40.0 (16.3–67.7) | (430/543) 79.2 (75.5–82.5) | (6/119) 5.0 (1.9–10.7) | (430/439) 97.9 (96.1–99.1) |
Disclaimer/Publisher’s Note: The statements, opinions and data contained in all publications are solely those of the individual author(s) and contributor(s) and not of MDPI and/or the editor(s). MDPI and/or the editor(s) disclaim responsibility for any injury to people or property resulting from any ideas, methods, instructions or products referred to in the content. |
© 2025 by the authors. Licensee MDPI, Basel, Switzerland. This article is an open access article distributed under the terms and conditions of the Creative Commons Attribution (CC BY) license (https://creativecommons.org/licenses/by/4.0/).
Share and Cite
Chatzistamatiou, K.; Zafrakas, M.; Gkoliou, G.; Sofou, E.; Pasentsis, K.; Karakatsoulis, G.; Agorastos, T.; Stamatopoulos, K. Evaluation of Cycle Threshold (Ct) Values for Detecting High-Risk HPV in Self-Collected Vaginal Samples as a Triage Method to Colposcopy. Diagnostics 2025, 15, 3205. https://doi.org/10.3390/diagnostics15243205
Chatzistamatiou K, Zafrakas M, Gkoliou G, Sofou E, Pasentsis K, Karakatsoulis G, Agorastos T, Stamatopoulos K. Evaluation of Cycle Threshold (Ct) Values for Detecting High-Risk HPV in Self-Collected Vaginal Samples as a Triage Method to Colposcopy. Diagnostics. 2025; 15(24):3205. https://doi.org/10.3390/diagnostics15243205
Chicago/Turabian StyleChatzistamatiou, Kimon, Menelaos Zafrakas, Glykeria Gkoliou, Electra Sofou, Konstantinos Pasentsis, Georgios Karakatsoulis, Theodoros Agorastos, and Kostas Stamatopoulos. 2025. "Evaluation of Cycle Threshold (Ct) Values for Detecting High-Risk HPV in Self-Collected Vaginal Samples as a Triage Method to Colposcopy" Diagnostics 15, no. 24: 3205. https://doi.org/10.3390/diagnostics15243205
APA StyleChatzistamatiou, K., Zafrakas, M., Gkoliou, G., Sofou, E., Pasentsis, K., Karakatsoulis, G., Agorastos, T., & Stamatopoulos, K. (2025). Evaluation of Cycle Threshold (Ct) Values for Detecting High-Risk HPV in Self-Collected Vaginal Samples as a Triage Method to Colposcopy. Diagnostics, 15(24), 3205. https://doi.org/10.3390/diagnostics15243205

