Robust AI-Driven Segmentation of Glioblastoma T1c and FLAIR MRI Series and the Low Variability of the MRIMath© Smart Manual Contouring Platform
Abstract
1. Introduction
2. Methods
2.1. AI Generation
2.2. Training Data and Golden Truth
2.3. Testing Dataset
2.3.1. Inclusion Criteria
- Older than 18 years of age.
- Pathological diagnosis of glioblastoma multiforme.
- The patient must have had an MRI of the brain with and without contrast that includes T1C and FLAIR sequences.
- The data is anonymized.
2.3.2. Exclusion Criterion
- The T1C or FLAIR series have missing slices.
2.3.3. Sample Size Calculation
2.3.4. Studies/Series Selection Procedure
2.3.5. Annotators, Tasks, and Golden Truth
2.4. Evaluation Metrics
2.4.1. Overall Dice Score per Patient
- TP (true positive) represents accurately segmented pixels.
- FP (false positive) indicates erroneously segmented pixels.
- FN (false negative) denotes missed pixels in the segmentation process.
- is a minor constant added for computational stability.
2.4.2. Sensitivity and Specificity
2.4.3. Hausdorff Distance
2.5. Statistical Methods
- Linear regression () for measuring the degree of correlation.
- Bland–Altman analysis was used to assess the agreement between two methods of clinical measurement. To evaluate the range within which the vast majority (95%) of the differences are expected to lie, we define the Limits of Agreement (LoAs) as the mean difference ±1.96 times the standard deviation of the differences, which represents a critical value of the standard normal distribution at a 95% confidence level. We report the 95% confidence intervals for the mean difference.
- Cohen’s Kappa Score () measures the agreement between two raters who categorize instances into mutually exclusive categories [20]. The Kappa statistic for AI-based medical imaging evaluates the agreement between the AI algorithm’s segmentation and expert radiologist’s annotations, calculated as , where is the observed agreement and is the expected agreement.
3. Results
3.1. Patients
3.2. Hypothesis Testing
- For the FLAIR AI, the DSC proportions exceed , 74% of the time, with a confidence interval (CI) of (60%, 84%) and a p-value of 0.001. This result indicates that our proportion is significantly different than 50%.
- For T1C, the DSC proportions exceed , 89% of the time, with a CI of (77%, 95%) and a p-value of . This also implies that our proportion is significantly different than 50%.
3.3. Dice Score Comparisons
3.3.1. Overall Dice Scores for T1c and FLAIR Modalities
- The solid alignment of the T1c and FLAIR AIs with the consensus GT.
- The low variability between the radiologists using the MRIMath Smart contouring platform.
3.3.2. True Positive Dice Scores
3.3.3. Dice Score Subgroup Analysis
3.4. Sensitivity and Specificity
3.5. Hausdorff Distance
3.6. Volume Measurements
3.6.1. Tumor Volumes: Linear Regression
3.6.2. Tumor Volumes: Bland–Altman Analysis
3.6.3. Kappa Score (k)
3.7. Variability of the Smart Manual Contouring Platform of MRIMath
4. Discussion and Conclusions
Author Contributions
Funding
Institutional Review Board Statement
Informed Consent Statement
Data Availability Statement
Conflicts of Interest
Appendix A. Dataset Demographics
Appendix A.1. Characteristics of the Training MRI Studies
| Stat | Slice Thickness | Repetition Time | Echo Time | Spacing Between Slices |
|---|---|---|---|---|
| Mean | 2.85 | 679.31 | 6.6 | 3.12 |
| Std | 1.65 | 748.61 | 5.63 | 2.28 |
| Median | 3 | 460.88 | 4.59 | 1.6 |
| IQR | 4 | 1743.24 | 5.89 | 5 |
| Min | 0.9 | 3.87 | 1.32 | 0.7 |
| Max | 10 | 9420 | 141 | 10 |
| Stat | Inversion Time | Pixel Bandwidth | Echo Train Length | Imaging Frequency | Flip Angle |
|---|---|---|---|---|---|
| Mean | 495.85 | 189.74 | 24.33 | 98.44 | 41.21 |
| Std | 473.97 | 138.11 | 50.11 | 30.7 | 34.56 |
| Median | 600 | 150 | 1 | 123.26 | 15 |
| IQR | 950 | 51.89 | 2 | 63.87 | 55 |
| Min | 0 | 61.05 | 0 | 42.59 | 6 |
| Max | 2550 | 1116.09 | 256 | 128.17 | 180 |
| Stat | Slice Thickness | Repetition Time | Echo Time | Spacing Between Slices |
|---|---|---|---|---|
| Mean | 3.88 | 9459.36 | 141.58 | 3.71 |
| Std | 1.16 | 1589.21 | 51.04 | 2.61 |
| Median | 4 | 9420 | 141 | 4 |
| IQR | 2 | 2000 | 16 | 5.5 |
| Min | 0.47 | 2236.53 | 8.22 | 1 |
| Max | 5.5 | 15,830 | 422.27 | 7.5 |
| Stat | Inversion Time | Pixel Bandwidth | Echo Train Length | Imaging Frequency | Flip Angle |
|---|---|---|---|---|---|
| Mean | 2465.02 | 299.71 | 29.35 | 8,546,996.87 | 124.03 |
| Std | 316.36 | 175.53 | 40.25 | 73,023,776.54 | 37.24 |
| Median | 2500 | 287 | 13 | 123.26 | 90 |
| IQR | 550 | 82 | 18 | 59.38 | 80 |
| Min | 750 | 61.04 | 0 | 42.59 | 90 |
| Max | 2854.26 | 1302 | 236 | 639,061,410 | 180 |
Appendix A.2. Characteristics of the Testing MRI Studies
| Stat | Slice Thickness | Repetition Time | Echo Time | Spacing Between Slices |
|---|---|---|---|---|
| Mean | 3.13 | 336.14 | 8.71 | 3.71 |
| Std | 1.57 | 399.67 | 8.47 | 2.40 |
| Median | 3.20 | 113.23 | 7.62 | 3.00 |
| IQR | 3.40 | 599.16 | 5.41 | 4.40 |
| Min | 0.93 | 5.77 | 2.30 | 0.70 |
| Max | 5.00 | 1800.00 | 58.00 | 7.50 |
| Stat | Pixel Bandwidth | Echo Train Length | Imaging Frequency | Flip Angle |
|---|---|---|---|---|
| Mean | 167.69 | 34.78 | 79.59 | 52.41 |
| Std | 105.31 | 52.89 | 29.26 | 48.71 |
| Median | 161.00 | 1.50 | 63.89 | 30.00 |
| IQR | 52.93 | 99.25 | 44.56 | 81.50 |
| Min | 46.48 | 1.00 | 25.55 | 8 |
| Max | 559.00 | 122.00 | 127.80 | 180 |
| Stat | Slice Thickness | Repetition Time | Echo Time | Spacing Between Slices |
|---|---|---|---|---|
| Mean | 4.72 | 9575.28 | 130.26 | 6.05 |
| Std | 0.83 | 1725.29 | 38.50 | 1.05 |
| Median | 5.00 | 9236.00 | 125.00 | 6.50 |
| IQR | 0.00 | 2198.00 | 20.38 | 0.50 |
| Min | 1.00 | 4800.00 | 81.00 | 1.00 |
| Max | 5.91 | 12,000.00 | 349.26 | 7.50 |
| Stat | Pixel Bandwidth | Echo Train Length | Imaging Frequency | Flip Angle | Inversion Time |
|---|---|---|---|---|---|
| Mean | 253.62 | 28.63 | 79.59 | 105.67 | 2475.97 |
| Std | 140.72 | 32.68 | 29.26 | 29.57 | 338.03 |
| Median | 276.00 | 24.00 | 63.89 | 90.00 | 2500.00 |
| IQR | 244.93 | 45.00 | 44.56 | 0.00 | 600.00 |
| Min | 61.05 | 1.00 | 25.55 | 90.00 | 1660.00 |
| Max | 740.00 | 171.00 | 127.80 | 180.00 | 2854.50 |
Appendix B. Slice-Wise Specificity and Sensitivity
| Prediction | Specificity | Sensitivity | ||||
|---|---|---|---|---|---|---|
| GT | Mean (%) | 95% CI | GT | Mean (%) | 95% CI | |
| AI | C | 97.49% | (96.08%, 98.89%) | C | 91.63% | (85.21%, 98.04%) |
| R1 | R2 | 99.47% | (99.15%, 99.78%) | R2 | 94.12% | (88.92%, 99.32%) |
| R2 | R1 | 99.18% | (98.51%, 99.85%) | R1 | 95.05% | (90.01%, 100.08%) |
| R1 | R3 | 98.53% | (97.48%, 99.58%) | R3 | 95.31% | (89.22%, 101.40%) |
| R3 | R1 | 99.87% | (99.61%, 100.13%) | R1 | 91.40% | (85.12%, 97.68%) |
| R2 | R3 | 98.09% | (96.86%, 99.32%) | R3 | 93.80% | (87.42%, 100.18%) |
| R3 | R2 | 99.70% | (99.42%, 99.99%) | R2 | 89.81% | (83.08%, 96.54%) |
| Prediction | Specificity | Sensitivity | ||||
|---|---|---|---|---|---|---|
| GT | Mean (%) | 95% CI | GT | Mean (%) | 95% CI | |
| AI | C | 96.10% | (93.73%, 98.47%) | C | 92.09% | (87.99%, 96.19%) |
| R1 | R2 | 96.97% | (95.46%, 98.47%) | R2 | 97.92% | (96.70%, 99.13%) |
| R2 | R1 | 98.02% | (96.79%, 99.25%) | R1 | 96.12% | (94.29%, 97.94%) |
| R1 | R3 | 93.96% | (91.27%, 96.64%) | R3 | 98.46% | (97.12%, 99.81%) |
| R3 | R1 | 98.86% | (97.97%, 99.74%) | R1 | 91.27% | (87.40%, 95.14%) |
| R2 | R3 | 95.01% | (92.50%, 97.53%) | R3 | 97.95% | (96.34%, 99.56%) |
| R3 | R2 | 98.92% | (98.06%, 99.77%) | R2 | 92.55% | (88.67%, 96.43%) |
Appendix C. Pixel-Wise Specificity and Sensitivity
| Prediction | Specificity | Sensitivity | ||
|---|---|---|---|---|
| Mean (%) | 95% CI | Mean (%) | 95% CI | |
| AI | 99.97% | (99.96%, 99.98%) | 89.11% | (82.82%, 95.40%) |
| R1 | 99.96% | (99.95%, 99.97%) | 90.66% | (85.45%, 95.86%) |
| R2 | 99.99% | (99.98%, 99.99%) | 78.25% | (72.68%, 83.82%) |
| R1 | 99.95% | (99.93%, 99.97%) | 92.06% | (85.68%, 98.43%) |
| R3 | 100.00% | (99.99%, 100.00%) | 73.37% | (67.06%, 79.68%) |
| R2 | 99.97% | (99.96%, 99.98%) | 88.07% | (81.11%, 95.02%) |
| R3 | 99.99% | (99.99%, 99.99%) | 81.63% | (74.85%, 88.41%) |
| Prediction | Specificity | Sensitivity | ||
|---|---|---|---|---|
| Mean (%) | 95% CI (Lower, Upper) | Mean (%) | 95% CI (Lower, Upper) | |
| AI | 99.87% | (99.84%, 99.90%) | 86.00% | (79.05%, 92.96%) |
| R1 | 99.81% | (99.76%, 99.87%) | 92.35% | (89.20%, 95.49%) |
| R2 | 99.92% | (99.88%, 99.96%) | 82.96% | (79.44%, 86.49%) |
| R1 | 99.75% | (99.70%, 99.81%) | 95.49% | (92.67%, 98.32%) |
| R3 | 99.96% | (99.93%, 99.99%) | 74.72% | (70.46%, 78.99%) |
| R2 | 99.84% | (99.80%, 99.88%) | 93.65% | (90.24%, 97.06%) |
| R3 | 99.94% | (99.90%, 99.97%) | 81.74% | (77.21%, 86.27%) |
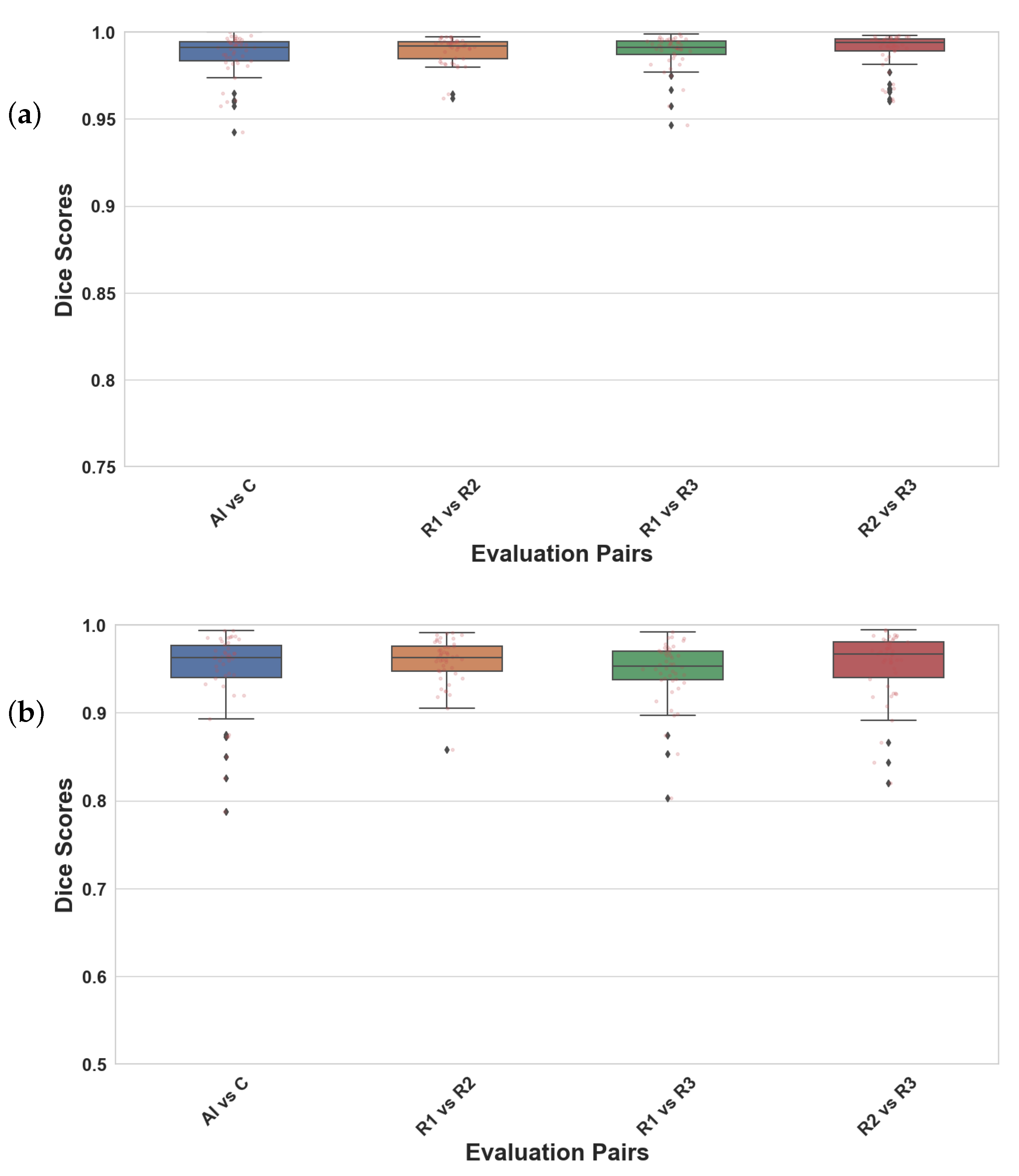
Appendix D. Dice Score Box Plots for AI and Radiologist Pairings


Appendix E. True Positive Dice scores
| Comparison | T1c | FLAIR | ||
|---|---|---|---|---|
| Mean (%) | 95% CI (%) | Mean (%) | 95% CI (%) | |
| AI–C | 81.43 | (75.60, 87.26) | 77.62 | (71.42, 83.81) |
| R1–R2 | 80.27 | (75.23, 85.32) | 82.82 | (79.87, 85.78) |
| R2–R1 | 80.76 | (75.96, 85.57) | 81.46 | (78.28, 84.65) |
| R1–R3 | 83.04 | (79.87, 86.22) | 80.72 | (77.71, 83.72) |
| R3–R1 | 76.33 | (70.33, 82.33) | 75.18 | (71.00, 79.37) |
| R2–R3 | 86.09 | (82.77, 89.42) | 83.38 | (79.54, 87.22) |
| R3–R2 | 79.09 | (72.75, 85.42) | 78.84 | (74.14, 83.53) |
Appendix F. Linear Regression Analysis
| Modality | Comparison | Slope (a) ± Std | Intercept (b) ± Std | R2 (OLS) | R2 (x = y) |
|---|---|---|---|---|---|
| T1c | AI vs. Consensus | 0.886 ± 0.051 | −368 ± 1203 | 0.965 | 0.939 |
| R1 vs. R2 | 0.845 ± 0.057 | 751 ± 1512 | 0.952 | 0.916 | |
| R1 vs. R3 | 0.641 ± 0.062 | 1705 ± 1620 | 0.909 | 0.579 | |
| R2 vs. R3 | 0.759 ± 0.048 | 1115 ± 1094 | 0.959 | 0.848 | |
| FLAIR | AI vs. Consensus | 1.007 ± 0.056 | −327 ± 1934 | 0.967 | 0.967 |
| R1 vs. R2 | 1.001 ± 0.051 | −1060 ± 1914 | 0.973 | 0.972 | |
| R1 vs. R3 | 0.851 ± 0.036 | −438 ± 1347 | 0.981 | 0.934 | |
| R2 vs. R3 | 0.837 ± 0.039 | 793 ± 1492 | 0.977 | 0.930 |
Appendix G. Bland–Altman
| Comparison | T1c | FLAIR | ||||
|---|---|---|---|---|---|---|
| Mean Difference | 95% CI | LoA | Mean Difference | 95% CI | LoA | |
| AI vs. C | 2065 | (634, 3496) | (−7378, 11,508) | 154 | (−1758, 2067) | (−12,469, 12,777) |
| R1 vs. R2 | 1583 | (−347, 3513) | (−11,155, 14,321) | 1040 | (−851, 2932) | (−11,441, 13,522) |
| R1 vs. R3 | 3720 | (460, 6979) | (−17,791, 25,231) | 4222 | (2081, 6364) | (−9912, 18,356) |
| R2 vs. R3 | 2136 | (166, 4107) | (−10,869, 15,142) | 3182 | (805, 5559) | (−12,505, 18,868) |
Appendix H. Kappa Scores
| Modality | Method 1 | Method 2 | Kappa | Kappa Std | 95% CI |
|---|---|---|---|---|---|
| T1c | AI | C | 0.7617 | 0.0750 | (0.6146, 0.9087) |
| R2 | R3 | 0.8938 | 0.0556 | (0.7849, 1.0027) | |
| R1 | R2 | 0.7943 | 0.0734 | (0.6505, 0.9382) | |
| R1 | R3 | 0.7602 | 0.0761 | (0.6110, 0.9094) | |
| FLAIR | AI | C | 0.6867 | 0.0752 | (0.5394, 0.8341) |
| R1 | R2 | 0.6388 | 0.0758 | (0.4902, 0.7874) | |
| R2 | R3 | 0.6314 | 0.0772 | (0.4800, 0.7827) | |
| R1 | R3 | 0.5285 | 0.0818 | (0.3681, 0.6889) |
References
- Tan, A.C.; Ashley, D.M.; Lopez, G.Y.; Malinzak, M.; Friedman, H.S.; Khasraw, M. Management of glioblastoma: State of the art and future directions. CA Cancer J. Clin. 2020, 70, 299–312. [Google Scholar] [CrossRef] [PubMed]
- Mohammed, Y.M.; El Garouani, S.; Jellouli, I. A survey of methods for brain tumor segmentation-based MRI images. J. Comput. Des. Eng. 2023, 10, 266–293. [Google Scholar] [CrossRef]
- Wen, P.Y.; van den Bent, M.; Youssef, G.; Cloughesy, T.F.; Ellingson, B.M.; Weller, M.; Galanis, E.; Barboriak, D.P.; de Groot, J.; Gilbert, M.R.; et al. RANO 2.0: Update to the Response Assessment in Neuro-Oncology Criteria for High- and Low-Grade Gliomas in Adults. J. Clin. Oncol. 2023, 41, 5187–5199. [Google Scholar] [CrossRef] [PubMed]
- Raman, F.; Mullen, A.; Byrd, M.; Bae, S.; Kim, J.; Sotoudeh, H.; Moron, F.E.; Fathallah-Shaykh, H.M. Evaluation of RANO Criteria for the Assessment of Tumor Progression for Lower-Grade Gliomas. Cancers 2023, 15, 3274. [Google Scholar] [CrossRef] [PubMed]
- Vos, M.J.; Uitdehaag, B.M.; Barkhof, F.; Heimans, J.J.; Baayen, H.C.; Boogerd, W.; Castelijns, J.A.; Elkhuizen, P.H.; Postma, T.J. Interobserver variability in the radiological assessment of response to chemotherapy in glioma. Neurology 2003, 60, 826–830. [Google Scholar] [CrossRef] [PubMed]
- Wee, C.W.; Sung, W.; Kang, H.C.; Cho, K.H.; Han, T.J.; Jeong, B.K.; Jeong, J.U.; Kim, H.; Kim, I.A.; Kim, J.H.; et al. Evaluation of variability in target volume delineation for newly diagnosed glioblastoma: A multi-institutional study from the Korean Radiation Oncology Group. Radiat. Oncol. 2015, 10, 137. [Google Scholar] [CrossRef] [PubMed]
- Ronneberger, O.; Fischer, P.; Brox, T. U-net: Convolutional networks for biomedical image segmentation. In Proceedings of the International Conference on Medical Image Computing and Computer-Assisted Intervention, Munich, Germany, 5–9 October 2015; Springer: Cham, Switzerland, 2015; pp. 234–241. [Google Scholar] [CrossRef]
- Szegedy, C.; Liu, W.; Jia, Y.; Sermanet, P.; Reed, S.; Anguelov, D.; Erhan, D.; Vanhoucke, V.; Rabinovich, A. Going deeper with convolutions. In Proceedings of the IEEE Conference on Computer Vision and Pattern Recognition, Boston, MA, USA, 7–12 June 2015; pp. 1–9. [Google Scholar] [CrossRef]
- Srivastava, N.; Hinton, G.; Krizhevsky, A.; Sutskever, I.; Salakhutdinov, R. Dropout: A simple way to prevent neural networks from overfitting. J. Mach. Learn. Res. 2014, 15, 1929–1958. [Google Scholar]
- Zou, H.; Hastie, T. Regularization and variable selection via the elastic net. J. R. Stat. Soc. Ser. (Stat. Methodol.) 2005, 67, 301–320. [Google Scholar] [CrossRef]
- Shorten, C.; Khoshgoftaar, T.M. A survey on Image Data Augmentation for Deep Learning. J. Big Data 2019, 6, 60. [Google Scholar] [CrossRef]
- Abadi, M.; Agarwal, A.; Barham, P.; Brevdo, E.; Chen, Z.; Citro, C.; Corrado, G.S.; Davis, A.; Dean, J.; Devin, M.; et al. TensorFlow: Large-Scale Machine Learning on Heterogeneous Distributed Systems. TensorFlow White Paper. 2016. Available online: https://www.tensorflow.org/about/bib (accessed on 15 May 2024).
- Kingma, D.P.; Ba, J. Adam: A Method for Stochastic Optimization. Presented at the International Conference on Learning Representations (ICLR). 2014. Available online: https://arxiv.org/abs/1412.6980 (accessed on 22 December 2014).
- Braga, L.; Semelka, R.C.; Pietrobon, R.; Martin, D.R. Comparison of Normalization Techniques for the Intelligent Segmentation of Multimodal Medical Imaging Data. Radiology 2018, 287, 546–554. [Google Scholar] [CrossRef] [PubMed]
- Bulus, M.; Polat, C. pwrss R paketi ile istatistiksel guc analizi [Statistical power analysis with pwrss R package]. Ahi Evran Univ. Kirsehir Egit. Fak. Derg. 2023, 24, 2207–2328. Available online: https://dergipark.org.tr/en/pub/kefad/issue/80563/1209913 (accessed on 30 April 2024).
- Bulus, M. pwrss: Statistical Power and Sample Size Calculation Tools. R Package Version 0.3.1. Available online: https://CRAN.R-project.org/package=pwrss (accessed on 11 April 2024).
- Zhang, Y.; Zhong, P.; Jie, D.; Wu, J.; Zeng, S.; Chu, J.; Liu, Y.; Wu, E.X.; Tang, X. Brain Tumor Segmentation From Multi-Modal MR Images via Ensembling UNets. Front. Radiol. 2021, 1, 704888. [Google Scholar] [CrossRef] [PubMed]
- Jia, Z.; Zhu, H.; Zhu, J.; Ma, P. Two-Branch network for brain tumor segmentation using attention mechanism and super-resolution reconstruction. Comput. Biol. Med. 2023, 157, 106751. [Google Scholar] [CrossRef] [PubMed]
- Celaya, A.; Riviere, B. A Generalized Surface Loss for Reducing the Hausdorff Distance in Medical Imaging Segmentation. arXiv 2024, arXiv:2302.03868. [Google Scholar] [CrossRef]
- McHugh, M.L. Interrater reliability: The kappa statistic. Biochem. Med. 2012, 22, 276–282. [Google Scholar] [CrossRef]
- Bohn, A.; Braley, A.; Rodriguez de la Vega, P.; Zevallos, J.C.; Barengo, N.C. The association between race and survival in glioblastoma patients in the US: A retrospective cohort study. PLoS ONE 2018, 13, e0198581. [Google Scholar] [CrossRef] [PubMed]
- Abayazeed, A.H.; Abbassy, A.; Müeller, M.; Hill, M.; Qayati, M.; Mohamed, S.; Mekhaimar, M.; Raymond, C.; Dubey, P.; Nael, K.; et al. NS-HGlio: A Generalizable and Repeatable HGG Segmentation and Volumetric Measurement AI Algorithm for the Longitudinal MRI Assessment to Inform RANO in Trials and Clinics. Neuro-Oncol. Adv. 2022, 5, vdac184. [Google Scholar] [CrossRef] [PubMed]
- Liu, Z.; Lin, Y.; Cao, Y.; Hu, H.; Wei, Y.; Zhang, Z.; Lin, S.; Guo, B. Swin Transformer: Hierarchical Vision Transformer Using Shifted Windows. In Proceedings of the IEEE/CVF International Conference on Computer Vision (ICCV), Montreal, QC, Canada, 10–17 October 2021; pp. 10012–10022. [Google Scholar] [CrossRef]
- Menze, B.H.; Jakab, A.; Bauer, S.; Kalpathy-Cramer, J.; Farahani, K.; Kirby, J.; Burren, Y.; Porz, N.; Slotboom, J.; Wiest, R.; et al. The Multimodal Brain Tumor Image Segmentation Benchmark (BRATS). IEEE Trans. Med. Imaging 2015, 34, 1993–2024. [Google Scholar] [CrossRef] [PubMed]
- Hatamizadeh, A.; Nath, V.; Tang, Y.; Yang, D.; Roth, H.R.; Xu, D. Swin UNETR: Swin Transformers for Semantic Segmentation of Brain Tumors in MRI Images. In Proceedings of the International MICCAI Brainlesion Workshop, Virtual Event, 27 September 2021; Springer International Publishing: Cham, Switzerland, 2021; pp. 272–284. [Google Scholar]
- Boer, A.H.; van der Weide, H.L.; Bongers, E.M.; Coremans, I.E.M.; Eekers, D.B.; de Groot, C.; van der Heide, H.; Niel, C.; van de Sande, M.A.E.; Smeenk, R.J.; et al. Inter-Observer Variation In Tumor Volume Delineation Of Low Grade Gliomas, A Multi-Institutional Contouring Study. Int. J. Radiat. Oncol. Biol. Phys. 2020, 108, E710. [Google Scholar] [CrossRef]



| AI Model | Proportion of DSC > | Lower 95% CI | Upper 95% CI | p-Value |
|---|---|---|---|---|
| FLAIR | 74% | 60% | 84% | 0.001 |
| T1C | 89% | 77% | 95% | <0.001 |
| Comparison | T1c | FLAIR | ||
|---|---|---|---|---|
| Mean | 95% CI | Mean | 95% CI | |
| AI–C | 94.72% | (93.31%, 96.13%) | 89.47% | (86.82%, 92.12%) |
| R1–R2 | 95.74% | (94.84%, 96.65%) | 91.64% | (90.13%, 93.16%) |
| R1–R3 | 95.44% | (94.25%, 96.63%) | 89.32% | (87.21%, 91.43%) |
| R2–R3 | 95.78% | (94.57%, 96.99%) | 90.84% | (88.59%, 93.09%) |
| Experiment Name | T1C | FLAIR | ||
|---|---|---|---|---|
| Mean DSC | 95% C.I | Mean DSC | 95% C.I | |
| University Hospitals and Clinics | 93.83% | (91.42%, 96.23%) | 89.24% | (85.98%, 93.51%) |
| Community & Imaging Centers | 95.88% | (94.61%, 97.15%) | 89.10% | (84.80%, 93.41%) |
| Manufacturer-GE | 96.60% | (95.31%, 97.89%) | 88.24% | (81.80%, 93.56%) |
| Manufacturer-Philips | 92.74% | (90.05%, 95.43%) | 88.46% | (87.83%, 93.94%) |
| Manufacturer-Siemens | 96.35% | (94.23%, 98.46%) | 94.65% | (81.34%, 97.92%) |
| Field-1.5T | 94.94% | (93.32%, 96.56%) | 89.50% | (86.25%, 93.09%) |
| Field-3.0T | 94.06% | (89.88%, 98.24%) | 89.74% | (82.98%, 94.83%) |
| T1c Acquisition-2D | 96.84% | (95.83%, 97.84%) | 89.68% | (83.65%, 93.27%) |
| T1c Acquisition-3D | 92.95% | (90.55%, 95.34%) | 88.77% | (87.03%, 93.59%) |
| Pre-op | 95.65% | (93.85%, 97.44%) | 90.13% | (88.72%, 93.75%) |
| Post-op | 93.71% | (91.31%, 96.12%) | 88.15% | (82.41%, 92.68%) |
| Single Tumors | 97.10% | (96.31%, 97.89%) | 89.52% | (86.92%, 96.26%) |
| Multiple Tumors | 91.89% | (89.24%, 94.54%) | 89.04% | (85.08%, 92.00%) |
| Small tumors | 95.79% | (93.70%, 97.88%) | 85.18% | (76.51%, 89.78%) |
| Medium tumors | 94.68% | (91.95%, 97.41%) | 92.47% | (91.96%, 95.43%) |
| Large tumors | 93.76% | (90.67%, 96.85%) | 89.86% | (87.77%, 95.10%) |
| ALL | 94.72% | (93.27%, 96.17%) | 89.18% | (86.74%, 92.19%) |
| Prediction | Ground Truth | T1c | FLAIR | ||
|---|---|---|---|---|---|
| Mean | 95% CI | Mean | 95% CI | ||
| AI | C | 2.8943 | (1.949, 4.103) | 3.5217 | (2.1146, 4.929) |
| AI | R1 | 3.2080 | (2.182, 4.525) | 4.2637 | (2.5294, 5.998) |
| AI | R2 | 3.2781 | (2.336, 4.602) | 4.1239 | (2.6128, 5.635) |
| AI | R3 | 3.1494 | (2.179, 4.406) | 3.9018 | (2.4156, 5.743) |
| R1 | R2 | 2.7666 | (1.899, 3.757) | 3.9871 | (2.3092, 5.665) |
| R1 | R3 | 2.9069 | (1.765, 4.294) | 4.4493 | (2.4695, 6.429) |
| R2 | R3 | 2.6447 | (1.774, 3.756) | 4.1278 | (2.3834, 5.872) |
| Feature | MRIMath© | Neosoma [22] | Brats [25] |
|---|---|---|---|
| Deboning | Not Required | Required | Required |
| Interpolation | Not Required | Required | Required |
| Registration | Not Required | Required | Required |
| Data Type | 2D | 3D | 2D/3D |
| Number of AIs | 2 | 1 | 1 |
| Output | 1 per AI | 3 Subcomponents | 4 Subcomponents |
| Series | Single: FLAIR or T1c | Multiple: T1, T1c, FLAIR, T2 | Multiple: T1, T1c, FLAIR, T2 |
| DSC | FLAIR: 90%, T1c: 95% | Preop: 88%, Postop: 78% | Average: 90% |
Disclaimer/Publisher’s Note: The statements, opinions and data contained in all publications are solely those of the individual author(s) and contributor(s) and not of MDPI and/or the editor(s). MDPI and/or the editor(s) disclaim responsibility for any injury to people or property resulting from any ideas, methods, instructions or products referred to in the content. |
© 2024 by the authors. Licensee MDPI, Basel, Switzerland. This article is an open access article distributed under the terms and conditions of the Creative Commons Attribution (CC BY) license (https://creativecommons.org/licenses/by/4.0/).
Share and Cite
Barhoumi, Y.; Fattah, A.H.; Bouaynaya, N.; Moron, F.; Kim, J.; Fathallah-Shaykh, H.M.; Chahine, R.A.; Sotoudeh, H. Robust AI-Driven Segmentation of Glioblastoma T1c and FLAIR MRI Series and the Low Variability of the MRIMath© Smart Manual Contouring Platform. Diagnostics 2024, 14, 1066. https://doi.org/10.3390/diagnostics14111066
Barhoumi Y, Fattah AH, Bouaynaya N, Moron F, Kim J, Fathallah-Shaykh HM, Chahine RA, Sotoudeh H. Robust AI-Driven Segmentation of Glioblastoma T1c and FLAIR MRI Series and the Low Variability of the MRIMath© Smart Manual Contouring Platform. Diagnostics. 2024; 14(11):1066. https://doi.org/10.3390/diagnostics14111066
Chicago/Turabian StyleBarhoumi, Yassine, Abdul Hamid Fattah, Nidhal Bouaynaya, Fanny Moron, Jinsuh Kim, Hassan M. Fathallah-Shaykh, Rouba A. Chahine, and Houman Sotoudeh. 2024. "Robust AI-Driven Segmentation of Glioblastoma T1c and FLAIR MRI Series and the Low Variability of the MRIMath© Smart Manual Contouring Platform" Diagnostics 14, no. 11: 1066. https://doi.org/10.3390/diagnostics14111066
APA StyleBarhoumi, Y., Fattah, A. H., Bouaynaya, N., Moron, F., Kim, J., Fathallah-Shaykh, H. M., Chahine, R. A., & Sotoudeh, H. (2024). Robust AI-Driven Segmentation of Glioblastoma T1c and FLAIR MRI Series and the Low Variability of the MRIMath© Smart Manual Contouring Platform. Diagnostics, 14(11), 1066. https://doi.org/10.3390/diagnostics14111066

