Predictive Value of MR-proADM in the Risk Stratification and in the Adequate Care Setting of COVID-19 Patients Assessed at the Triage of the Emergency Department
Abstract
:1. Introduction
2. Materials and Methods
2.1. Study Design
2.2. Blood Sample Collection
2.3. Statistical Analysis
3. Results
4. Discussion
5. Conclusions
Author Contributions
Funding
Institutional Review Board Statement
Informed Consent Statement
Data Availability Statement
Acknowledgments
Conflicts of Interest
References
- Zhao, D.; Yao, F.; Wang, L.; Zheng, L.; Gao, Y.; Ye, J.; Guo, F.; Zhao, H.; Gao, R. A Comparative Study on the Clinical Features of Coronavirus 2019 (COVID-19) Pneumonia with other Pneumonias. Clin. Infect. Dis. 2020, 71, 756–761. [Google Scholar] [CrossRef] [PubMed]
- Xie, X.; Zhong, Z.; Zhao, W.; Zheng, C.; Wang, F.; Liu, J. Chest CT for Typical Coronavirus Disease 2019 (COVID-19) Pneumonia: Relationship to Negative RT-PCR Testing. Radiology 2020, 296, E41–E45. [Google Scholar] [CrossRef]
- Xie, J.; Tong, Z.; Guan, X.; Du, B.; Qiu, H.; Slutsky, A.S. Critical Care Crisis and Some Recommendations during the COVID-19 Epidemic in China. Intensive Care Med. 2020, 46, 837–840. [Google Scholar] [CrossRef]
- Melbye, H.; Stocks, N. Point of Care Testing for C-Reactive Protein—A New Path for Australian GPs? Aust. Fam. Physician 2006, 35, 513–517. [Google Scholar] [PubMed]
- Jin, M.; Khan, A.I. Procalcitonin: Uses in the Clinical Laboratory for the Diagnosis of Sepsis. Lab. Med. 2010, 41, 173–177. [Google Scholar] [CrossRef]
- Hedlund, J.; Hansson, L.-O. Procalcitonin and C-Reactive Protein Levels in Community-Acquired Pneumonia: Correlation with Etiology and Prognosis. Infection 2000, 28, 68–73. [Google Scholar] [CrossRef] [PubMed]
- Masiá, M.; Gutiérrez, F.; Shum, C.; Padilla, S.; Navarro, J.C.; Flores, E.; Hernández, I. Usefulness of Procalcitonin Levels in Community-Acquired Pneumonia According to the Patients Outcome Research Team Pneumonia Severity Index. Chest 2005, 128, 2223–2229. [Google Scholar] [CrossRef] [PubMed]
- Krüger, S.; Ewig, S.; Papassotiriou, J.; Kunde, J.; Marre, R.; von Baum, H.; Suttor, N.; Welte, T. Inflammatory Parameters Predict Etiologic Patterns but Do Not Allow for Individual Prediction of Etiology in Patients with CAP—Results from the German Competence Network CAPNETZ. The CAPNETZ study group. Respir. Res. 2009, 10, 65. [Google Scholar] [CrossRef] [PubMed]
- Christ-Crain, M.; Morgenthaler, N.G.; Stolz, D.; Müller, C.; Bingisser, R.; Harbarth, S.; Tamm, M.; Struck, J.; Bergmann, A.; Müller, B. Pro-Adrenomedullin to Predict Severity and Outcome in Community-Acquired Pneumonia [ISRCTN04176397]. Crit. Care 2006, 10, R96. [Google Scholar] [CrossRef] [PubMed]
- Sanchez, F.V.; Mendez, B.V.; Gutierrez, J.R.; Austria, R.B.d; Quiñones, J.R.; Martínez, L.P.; Alemán, I.V.; García, A.E. Initial Levels of Mr-Proadrenomedullin: A Predictor of Severity in Patients with Influenza a Virus Pneumonia. ICMx J. 2015, 3, A832. [Google Scholar] [CrossRef]
- Legramante, J.M.; Mastropasqua, M.; Susi, B.; Porzio, O.; Mazza, M.; Miranda Agrippino, G.; D′Agostini, C.; Brandi, A.; Giovagnoli, G.; Di Lecce, V.N.; et al. Prognostic Performance of MR-pro-Adrenomedullin in Patients with Community Acquired Pneumonia in the Emergency Department Compared to Clinical Severity Scores PSI and CURB. PLoS ONE 2017, 12, e0187702. [Google Scholar] [CrossRef] [PubMed]
- Bello, S.; Lasierra, A.B.; Mincholé, E.; Fandos, S.; Ruiz, M.A.; Vera, E.; de Pablo, F.; Ferrer, M.; Menendez, R.; Torres, A. Prognostic Power of Proadrenomedullin in Community-Acquired Pneumonia Is Independent of Aetiology. Eur. Respir. J. 2012, 39, 1144–1155. [Google Scholar] [CrossRef] [PubMed]
- Temmesfeld-Wollbrück, B.; Hocke, A.; Suttorp, N.; Hippenstiel, S. Adrenomedullin and Endothelial Barrier Function. Thromb. Haemost. 2007, 98, 944–951. [Google Scholar] [CrossRef]
- Hupf, J.; Mustroph, J.; Hanses, F.; Evert, K.; Maier, L.S.; Jungbauer, C.G. RNA-Expression of Adrenomedullin Is Increased in Patients with Severe COVID-19. Crit. Care 2020, 24, 527. [Google Scholar] [CrossRef]
- Li, H.; Liu, L.; Zhang, D.; Xu, J.; Dai, H.; Tang, N.; Su, X.; Cao, B. SARS-CoV-2 and Viral Sepsis: Observations and Hypotheses. Lancet 2020, 395, 1517–1520. [Google Scholar] [CrossRef]
- Huang, C.; Wang, Y.; Li, X.; Ren, L.; Zhao, J.; Hu, Y.; Zhang, L.; Fan, G.; Xu, J.; Gu, X.; et al. Clinical Features of Patients Infected with 2019 Novel Coronavirus in Wuhan, China. Lancet 2020, 395, 497–506. [Google Scholar] [CrossRef]
- Liu, J.; Li, S.; Liu, J.; Liang, B.; Wang, X.; Wang, H.; Li, W.; Tong, Q.; Yi, J.; Zhao, L.; et al. Longitudinal Characteristics of Lymphocyte Responses and Cytokine Profiles in the Peripheral Blood of SARS-CoV-2 Infected Patients. EBioMedicine 2020, 55, 102763. [Google Scholar] [CrossRef]
- Iwasaki, A.; Pillai, P.S. Innate Immunity to Influenza Virus Infection. Nat. Rev. Immunol. 2014, 14, 315–328. [Google Scholar] [CrossRef]
- Gregoriano, C.; Koch, D.; Kutz, A.; Haubitz, S.; Conen, A.; Bernasconi, L.; Hammerer-Lercher, A.; Saeed, K.; Mueller, B.; Schuetz, P. The Vasoactive Peptide MR-pro-Adrenomedullin in COVID-19 Patients: An Observational Study. Clin. Chem. Lab. Med. 2021, 59, 995–1004. [Google Scholar] [CrossRef]
- Spoto, S.; Agrò, F.E.; Sambuco, F.; Travaglino, F.; Valeriani, E.; Fogolari, M.; Mangiacapra, F.; Costantino, S.; Ciccozzi, M.; Angeletti, S. High Value of Mid-regional Proadrenomedullin in COVID-19: A Marker of Widespread Endothelial Damage, Disease Severity, and Mortality. J. Med. Virol. 2021, 93, 2820–2827. [Google Scholar] [CrossRef] [PubMed]
- Minieri, M.; Di Lecce, V.N.; Lia, M.S.; Maurici, M.; Bernardini, S.; Legramante, J.M. Role of MR-ProADM in the Risk Stratification of COVID-19 Patients Assessed at the Triage of the Emergency Department. Crit. Care 2021, 25, 407. [Google Scholar] [CrossRef]
- Guan, W.; Ni, Z.; Hu, Y.; Liang, W.; Ou, C.; He, J.; Liu, L.; Shan, H.; Lei, C.; Hui, D.S.C.; et al. Clinical Characteristics of Coronavirus Disease 2019 in China. N. Engl. J. Med. 2020, 382, 1708–1720. [Google Scholar] [CrossRef]
- Saeed, K.; Wilson, D.C.; Bloos, F.; Schuetz, P.; van der Does, Y.; Melander, O.; Hausfater, P.; Legramante, J.M.; Claessens, Y.-E.; Amin, D.; et al. The Early Identification of Disease Progression in Patients with Suspected Infection Presenting to the Emergency Department: A Multi-Centre Derivation and Validation Study. Crit. Care 2019, 23, 40. [Google Scholar] [CrossRef] [PubMed]
- Cardellini, M.; Rizza, S.; Casagrande, V.; Cardolini, I.; Ballanti, M.; Davato, F.; Porzio, O.; Canale, M.P.; Legramante, J.M.; Mavilio, M.; et al. Soluble ST2 Is a Biomarker for Cardiovascular Mortality Related to Abnormal Glucose Metabolism in High-Risk Subjects. Acta Diabetol. 2019, 56, 273–280. [Google Scholar] [CrossRef] [PubMed]
- Saeed, K.; Legramante, J.M.; Angeletti, S.; Curcio, F.; Miguens, I.; Poole, S.; Tascini, C.; Sozio, E.; Del Castillo, J.G. Mid-Regional pro-Adrenomedullin as a Supplementary Tool to Clinical Parameters in Cases of Suspicion of Infection in the Emergency Department. Expert Rev. Mol. Diagn. 2021, 21, 397–404. [Google Scholar] [CrossRef]
- Leonardis, F.; Minieri, M.; Lia, M.S.; Formica, V.; Dauri, M.; Colella, D.F.; Natoli, S.; Paganelli, C.; Terrinoni, A.; Sarmati, L.; et al. Early Predictive Value of MR-proADM in Critically Ill Patients with Covid-19: An Observational Study in the Emergency Department. J. Emerg. Med. Care 2021, 4, 102. [Google Scholar]
- Christ-Crain, M.; Jaccard-Stolz, D.; Bingisser, R.; Gencay, M.M.; Huber, P.R.; Tamm, M.; Müller, B. Effect of Procalcitonin-Guided Treatment on Antibiotic Use and Outcome in Lower Respiratory Tract Infections: Cluster-Randomised, Single-Blinded Intervention Trial. Lancet 2004, 363, 600–607. [Google Scholar] [CrossRef]
- España, P.P.; Capelastegui, A.; Mar, C.; Bilbao, A.; Quintana, J.M.; Diez, R.; Esteban, C.; Bereciartua, E.; Unanue, U.; Uranga, A. Performance of Pro-Adrenomedullin for Identifying Adverse Outcomes in Community-Acquired Pneumonia. J. Infect. 2015, 70, 457–466. [Google Scholar] [CrossRef] [PubMed]
- Luna, C.M. C-Reactive Protein in Pneumonia. Chest 2004, 125, 1192–1195. [Google Scholar] [CrossRef]
- Asai, N.; Watanabe, H.; Shiota, A.; Kato, H.; Sakanashi, D.; Hagihara, M.; Koizumi, Y.; Yamagishi, Y.; Suematsu, H.; Mikamo, H. Efficacy and Accuracy of QSOFA and SOFA Scores as Prognostic Tools for Community-Acquired and Healthcare-Associated Pneumonia. Int. J. Infect. Dis. 2019, 84, 89–96. [Google Scholar] [CrossRef]
- Spoto, S.; Legramante, J.M.; Minieri, M.; Fogolari, M.; Terrinoni, A.; Valeriani, E.; Sebastiano, C.; Bernardini, S.; Ciccozzi, M.; Angeletti, P.S. How Biomarkers Can Improve Pneumonia Diagnosis and Prognosis: Procalcitonin and Mid-Regional-pro-Adrenomedullin. Biomark. Med. 2020, 14, 549–562. [Google Scholar] [CrossRef]
- Formica, V.; Minieri, M.; Bernardini, S.; Ciotti, M.; D’Agostini, C.; Roselli, M.; Andreoni, M.; Morelli, C.; Parisi, G.; Federici, M.; et al. Complete Blood Count Might Help to Identify Subjects with High Probability of Testing Positive to SARS-CoV-2. Clin. Med. 2020, 20, e114–e119. [Google Scholar] [CrossRef]



| Overall | Survivors | Non-Surviv | p Value | No-IMV | IMV | p Value | No-NIMV | NIMV | p Value | |
|---|---|---|---|---|---|---|---|---|---|---|
| N 321 | N 224 | N 97 | N 234 | N 87 | N 177 | N 57 | ||||
| Age | ||||||||||
| Years, mean (SD) | 63.3 (14.7) | 59.6 (14.6) | 71.9 (11.2) | <0.001 | 61.4 (15.8) | 68.6 (9.7) | <0.001 | 59.6 (16.2) | 67 (12.9) | 0.002 |
| Sex | ||||||||||
| Male, N (%) | 215 (67.0) | 145 (64.7) | 70 (72.2) | 0.193 | 146 (62.4) | 69 (79.3) | 0.004 | 107 (60.4) | 39 (68.4) | 0.280 |
| Female, N (%) | 106 (33.0) | 79 (35.3) | 27 (27.8) | 88 (37.6) | 18 (20.7) | 70 (39.6) | 18 (31.6) | |||
| Comorbidities | ||||||||||
| Hypertension, N (%) | 131 (40.8) | 70 (31.3) | 61 (62.9) | <0.001 | 81 (34.6) | 50 (57.5) | <0.001 | 51 (28.8) | 30 (52.6) | 0.001 |
| Diabetes, N (%) | 42 (13.1) | 19 (8.5) | 23 (23.7) | <0.001 | 21 (9.0) | 21 (24.1) | <0.001 | 13 (7.3) | 8 (14.0) | 0.124 |
| Respiratory disease, N (%) | 28 (8.7) | 14 (6.3) | 14 (14.4) | 0.017 | 16 (6.8) | 12 (13.8) | 0.050 | 13 (7.3) | 3 (5.3) | 0.588 |
| Malignancy, N (%) | 19 (5.9) | 10 (4.5) | 9 (9.3) | 0.093 | 11 (4.7) | 8 (9.2) | 0.129 | 7 (4.0) | 4 (7.0) | 0.342 |
| Cardiovasc. disease, N (%) | 55 (17.1) | 27 (12.1) | 28 (28.9) | <0.001 | 37 (15.8) | 18 (20.7) | 0.303 | 26 (14.7) | 11 (19.3) | 0.407 |
| Renal disease, N (%) | 51 (15.9) | 13 (5.8) | 38 (39.2) | <0.001 | 17 (7.3) | 34 (39.1) | <0.001 | 8 (4.5) | 9 (15.8) | 0.004 |
| Obesity, N (%) | 15 (4.7) | 8 (3.6) | 7 (7.2) | 0.155 | 7 (3.0) | 8 (9.2) | 0.019 | 7 (4.0) | 0 (0) | 0.127 |
| Overall | Survivors | Non Survivors | p Value | NO IMV | IMV | p Value | NO NIMV | NIMV | p Value | |
|---|---|---|---|---|---|---|---|---|---|---|
| N 321 | N 224 | N 97 | N 234 | N 87 | N 177 | N 57 | ||||
| MR-proADM nmol/L | ||||||||||
| Median | 0.90 | 0.75 | 1.46 | <0.001 | 0.79 | 1.42 | <0.001 | 0.72 | 0.99 | 0.001 |
| (Q1–Q3) | (0.63–0.33) | (0.57–1.0) | (1.14–2.37) | (0.58–1.05) | (1.11–2.14) | (0.55–0.95) | (0.80–1.30) | |||
| CRP mg/L | ||||||||||
| Median | 61 | 45.90 | 134 | <0.001 | 47.5 | 134 | <0.001 | 35 | 90 | <0.001 |
| (Q1–Q3) | (24–125) | (14–86) | (72–207) | (12.0–93.0) | (68–211) | (10–75) | (48–151) | |||
| PCT ng/mL | ||||||||||
| Median | 0.08 | 0.06 | 0.18 | <0.001 | 0.06 | 0.19 | <0.001 | 0.05 | 0.09 | 0.001 |
| (Q1–Q3) | (0.04–0.20) N 290 | (0.03–0.13) N 196 | (0.10–0.40) N 94 | (0.03–0.13) N 205 | (0.10–0.60) N 85 | (0.03–0.10) N 150 | (0.06–0.20) N 55 | |||
| D-dimer ng/mL | ||||||||||
| Median | 753 | 647 | 1295 | <0.001 | 669 | 1212 | <0.001 | 603 | 829 | 0.009 |
| (Q1–Q3) | (446–1437) N 315 | (411–1063) N 219 | (700–2365) N 96 | (417–1148) N 229 | (658–2102) N 86 | (408–999) N 172 | (508–1666) N 57 | |||
| LDH UI/L | ||||||||||
| Median | 349 | 323 | 456 | <0.001 | 323 | 494 | <0.001 | 303 | 395 | <0.001 |
| (Q1–Q3) | (268–487) N 315 | (249–432) N 218 | (323–597) N 97 | (244–427) N 228 | (343–616) N 87 | (233–413) N 171 | (295–500) N 57 |
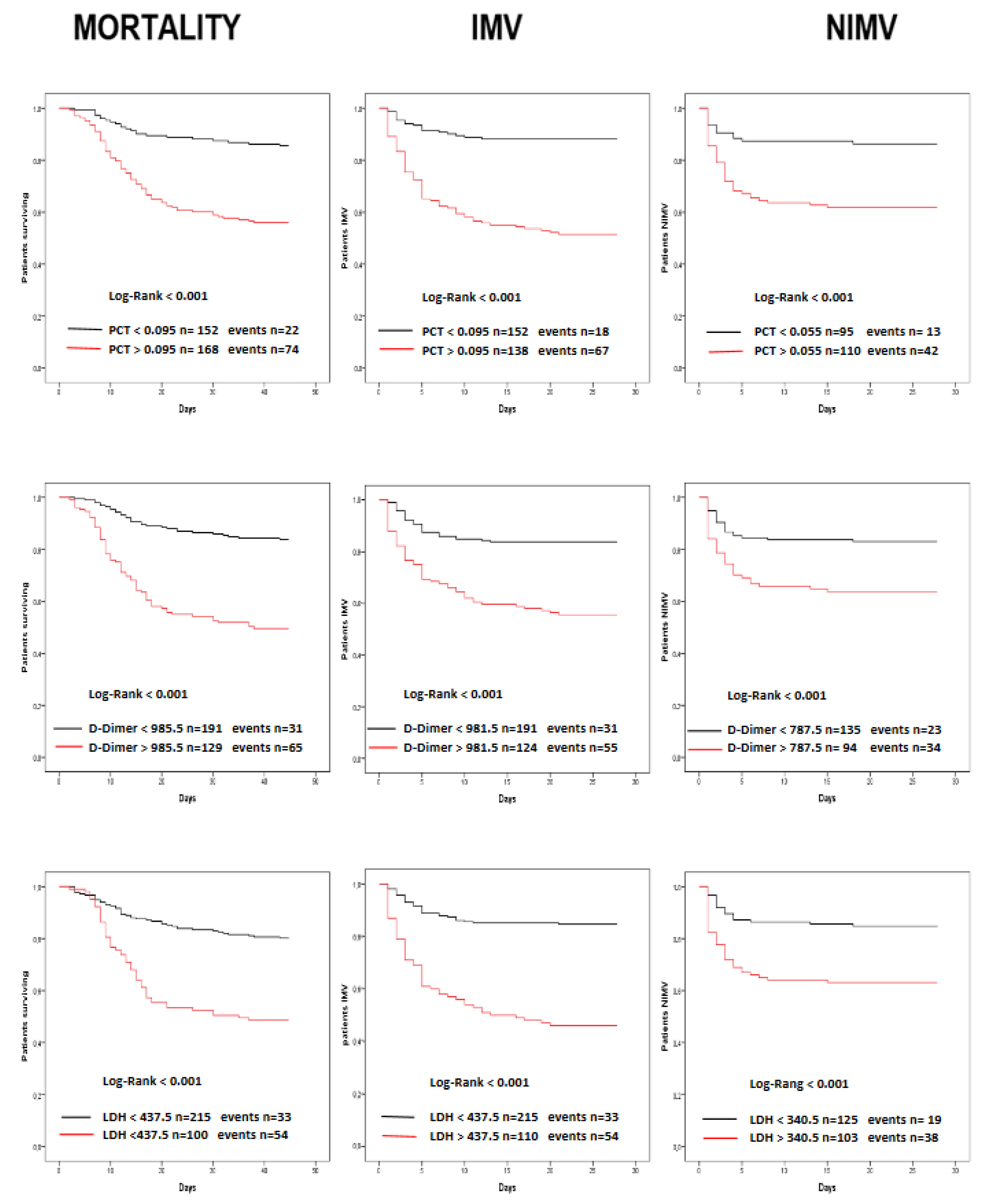
| Cut-off | Overall (N) | Non Surv (N) | p Value | HR (95% CI) | Overall (N) | IMV (N) | p Value | HR (95% CI) | Overall (N) | NIMV (N) | p Value | HR (95% CI) | |
|---|---|---|---|---|---|---|---|---|---|---|---|---|---|
| Age | 320 | 96 | <0.001 | 1.06 (1.04–1.07) | 321 | 87 | <0.001 | 1.03 (1.01–1.04) | 234 | 57 | 0.003 | 1.03 (1.01–1.04) | |
| Gender | 320 | 96 | 0.182 | 1.35 (0.87–2.11) | 321 | 87 | 0.007 | 2.03 (1.21–3.41) | 234 | 57 | 0.301 | 1.34 (0.77–2.35) | |
| Hypertension | 320 | 96 | <0.001 | 2.87 (1.90–4.34) | 321 | 87 | <0.001 | 2.16 (1.41–3.31) | 231 | 57 | 0.002 | 2.28 (1.35–3.80) | |
| Diabetes | 320 | 96 | <0.001 | 2.43 (1.51–3.92) | 321 | 87 | <0.001 | 2.41 (1.48–3.95) | 234 | 57 | 0.137 | 1.76 (0.84–3.73) | |
| Respiratory disease | 320 | 96 | 0.017 | 2.00 (1.13–3.52) | 321 | 87 | 0.038 | 1.91 (1.04–3.51) | 234 | 57 | 0.669 | 0.77 (0.24–2.49) | |
| Malignancy | 320 | 96 | 0.057 | 1.95 (0.98–3.87) | 321 | 87 | 0.115 | 1.80 (0.87–3.72) | 234 | 57 | 0.298 | 1.72 (0.62–4.74) | |
| Cardiovasc. disease | 320 | 96 | <0.001 | 2.47 (1.60–3.84) | 321 | 87 | 0.307 | 1.31 (0.78–2.20) | 234 | 57 | 0.385 | 1.34 (0.70–2.59) | |
| Renal disease | 320 | 96 | <0.001 | 5.44 (3.59–8.25) | 321 | 87 | <0.001 | 4.85 (3.14–7.50) | 234 | 57 | 0.003 | 2.92 (1.43–5.97) | |
| Obesity | 320 | 96 | 0.200 | 1.65 (0.77–3.57) | 321 | 87 | 0.007 | 2.74 (1.32–5.67) | 234 | 57 | 0.353 | 0.05 (0.0–29.60) | |
| MR-proADM (nmol/L) | 1.105 | 320 | 96 | <0.001 | 9.10 (5.64–14.70) | 321 | 87 | <0.001 | 7.22 (4.41–11.83) | 234 | 57 | <0.001 | 4.20 (2.20–8.00) |
| CRP (mg/L) | 95.5 | 320 | 96 | <0.001 | 6.28 (4.03–9.78) | 321 | 87 | <0.001 | 4.79 (3.05–7.52) | 234 | 57 | <0.001 | 4.20 (2.40–7.50) |
| PCT (ng/mL) | 0.095 | 289 | 93 | 0.001 | 4.62 (2.86–7.45) | 290 | 85 | <0.001 | 5.07 (3.01–8.54) | 205 | 55 | <0.001 | 3.10 (1.70–5.80) |
| D-dimer (ng/mL) | 985 | 314 | 95 | <0.001 | 4.18 (2.72–6.43) | 315 | 86 | <0.001 | 3.22 (2.08–5.01) | 229 | 57 | 0.002 | 2.30 (1.40–4.00) |
| LDH (UI/L) | 439.5 | 314 | 96 | <0.001 | 3.52 (2.35–5.27) | 315 | 87 | <0.001 | 4.47 (2.90–6.91) | 228 | 57 | <0.001 | 2.80 (1.60–4.80) |
| Overall (N) | Non Surviv (N) | p Value | HR (95% CI) | Overall (N) | IMV (N) | p Value | HR (95% CI) | Overall (N) | NIMV (N) | p Value | HR (95% CI) | |
|---|---|---|---|---|---|---|---|---|---|---|---|---|
| Age | 284 | 93 | 0.083 | 1.02 (0.99–1.04) | 285 | 85 | 0.386 | 0.99 (0.97–1.01) | 200 | 55 | 0.952 | 0.99 (0.97–1.02) |
| Gender | 285 | 85 | 0.095 | 1.63 (0.92–2.89) | ||||||||
| Hypertension | 284 | 93 | 0.970 | 1.01 (0.63–1.61) | 285 | 85 | 0.930 | 1.02 (0.64–1.64) | 200 | 55 | 0.450 | 1.30 (0.70–2.30) |
| Diabetes | 284 | 93 | 0.880 | 1.04 (0.61–1.80) | 285 | 85 | 0.292 | 1.34 (0.78–2.31) | ||||
| Respiratory disease | 284 | 93 | 0.047 | 1.86 (1.01–3.41) | 285 | 85 | 0.248 | 1.49 (0.76–2.94) | ||||
| Malignancy | 284 | 93 | 0.038 | 2.28 (1.05–4.95) | ||||||||
| Cardiovascular disease | 284 | 93 | 0.042 | 1.78 (1.02–3.10) | ||||||||
| Renal disease | 284 | 93 | 0.039 | 1.64 (1.02–2.62) | 285 | 85 | 0.019 | 1.82 (1.10–3.00) | 200 | 55 | 0.745 | 1.10 (0.50–2.40) |
| Obesity | 285 | 85 | 0.259 | 1.62 (0.70–3.75) | ||||||||
| MR-pro ADM (nmol/L) | 284 | 93 | <0.001 | 2.99 (1.70–5.28) | 285 | 85 | 0.001 | 2.83 (1.49–5.36) | 200 | 55 | 0.071 | 2.00 (0.90–4.30) |
| CRP (mg/L) | 284 | 93 | <0.001 | 2.85 (1.73–4.69) | 285 | 85 | 0.106 | 1.54 (0.91–2.60) | 200 | 55 | 0.036 | 2.00 (1.0–3.70) |
| PCT (ng/mL) | 284 | 93 | 0.602 | 1.17 (0.65–2.10) | 285 | 85 | 0.288 | 1.41 (0.75–2.65) | 200 | 55 | 0.075 | 1.80 (0.90–3.60) |
| D-dimer (ng/mL) | 284 | 93 | 0.024 | 1.80 (1.08–2.99) | 285 | 85 | 0.085 | 1.56 (0.94–2.59) | 200 | 55 | 0.169 | 1.50 (0.80–2.80) |
| LDH (UI/L) | 284 | 93 | 0.047 | 1.70 (1.01–2.84) | 285 | 85 | 0.002 | 2.18 (1.33–3.57) | 200 | 55 | 0.078 | 1.70 (0.90–3.10) |
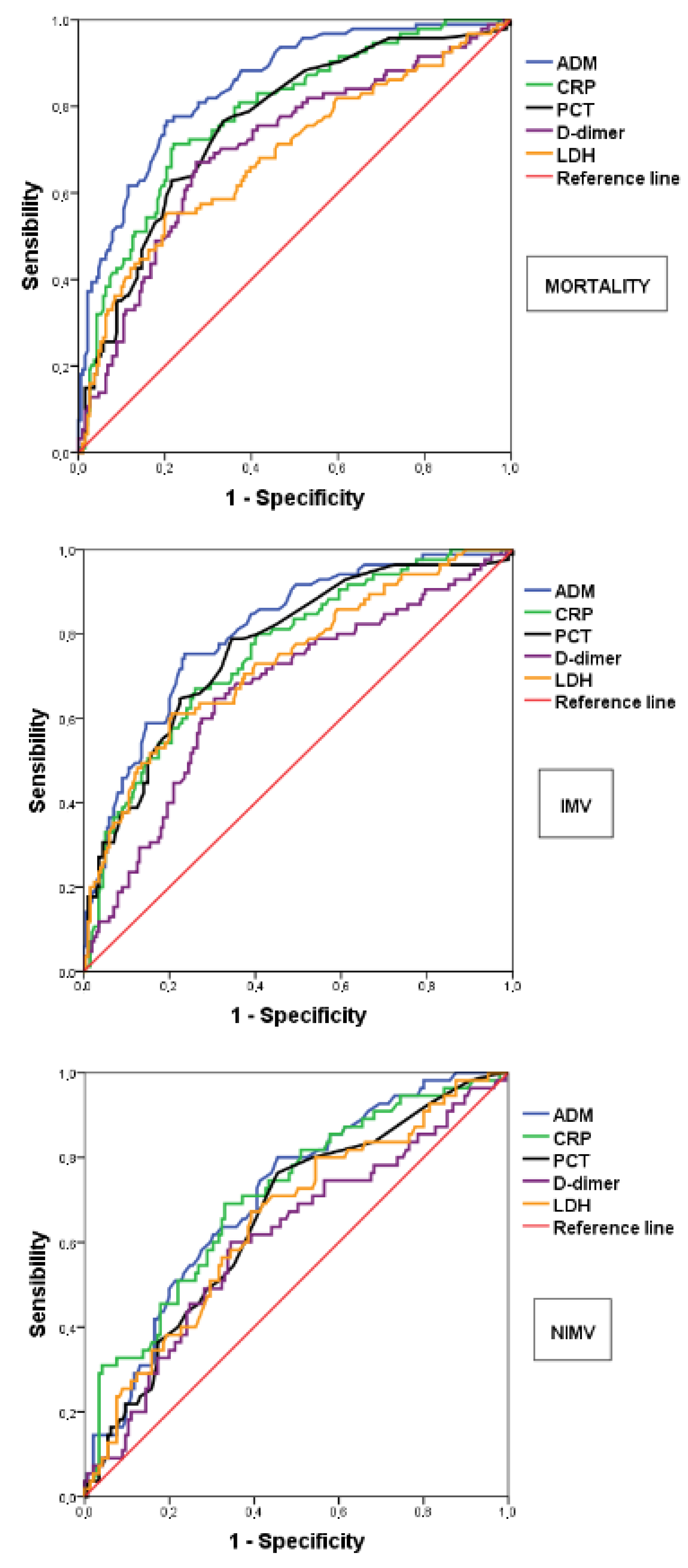
| Outcomes | AUC (95% CI) | Cut-off | p Value | Sensitivity (95% CI) | Specificity (95% CI) | PPV (95% CI) | NPV (95% CI) | LR+ (95% CI) | LR- (95% CI) | OR (95% CI) | |
|---|---|---|---|---|---|---|---|---|---|---|---|
| Mortality | 0.848 (0.80–0.90) | 1.105 | 0.77 (0.67–0.85) | 0.80 (0.73–0.85) | 0.65 (0.58–0.71) | 0.87 (0.83–0.91) | 3.75 (2.80–5.10) | 0.29 (0.20–0.40) | 12.76 (7.05–23.08) | ||
| MR-proADM nmol/L | IMV | 0.807 (0.75–0.86) | 1.105 | 0.75 (0.65–0.84) | 0.77 (0.70–0.82) | 0.58 (0.51–0.64) | 0.88 (0.83–0.91) | 3.20 (2.43–4.23) | 0.32 (0.22–0.47) | 9.92 (5.50–17.92) | |
| NIMV | 0.707 (0.63–0.78) | 0.785 | 0.80 0.67–0.90) | 0.55 (0.46–0.63) | 0.40 (0.35–0.45) | 0.88 (0.81–0.93) | 1.76 (1.41–2.19) | 0.37 (0.21–0.64) | 4.79 (2.29–10.0) | ||
| Mortality | 0.785 (0.73–0.84) | 95.5 | 0.090 | 0.71 (0.61–0.80) | 0.78 (0.72–0.84) | 0.62 (0.55–0.68) | 0.85 (0.80–0.88) | 3.24 (2.40–4.40) | 0.37 (0.30–0.50) | 8.80 (5.01–15.50) | |
| CRP mg/L | IMV | 0.759 (0.70–0.82) | 95.5 | 0.242 | 0.67 (0.56–0.77) | 0.74 (0.67–0.80) | 0.52 (0.45–0.59) | 0.84 (0.79–0.88) | 2.58 (1.95–3.40) | 0.45 (0.33–0.61) | 5.79 (3.34–10.06) |
| NIMV | 0.709 (0.63–0.79) | 59.5 | 0.970 | 0.69 (0.55–0.81) | 0.67 (0.59–0.75) | 0.44 (0.37–0.51) | 0.85 (0.79–0.90) | 2.09 (1.56–2.79) | 0.46 (0.31–0.70) | 4.52 (2.32–8.81) | |
| Mortality | 0.759 (0.70–0.82) | 0.095 | 0.021 | 0.77 0.67–0.85) | 0.67 (0.60–0.73) | 0.53 (0.47–0.59) | 0.85 (0.80–0.89) | 2.29 (1.80–2.90) | 0.35 (0.20–0.50) | 6.50 (3.70–11.42) | |
| PCT ng/mL | IMV | 0.769 (0.71–0.83) | 0.095 | 0.354 | 0.79 (0.69–0.87) | 0.66 (0.59–0.72) | 0.49 (0.44–0.55) | 0.88 (0.83–0.92) | 2.28 (1.83–2.85) | 0.32 (0.21–0.49) | 7.07 (3.89–12.83) |
| NIMV | 0.657 (0.57–0.74) | 0.055 | 0.380 | 0.76 (0.63–0.87) | 0.55 (0.46–0.63) | 0.39 (0.34–0.45) | 0.86 (0.79–0.91) | 1.68 (1.33–2.11) | 0.43 (0.26–0.71) | 3.87 (1.92–7.81) | |
| Mortality | 0.705 (0.64–0.77) | 985.5 | 0.001 | 0.67 0.57–0.76) | 0.73 (0.66–0.79) | 0.55 (0.48–0.61) | 0.82 (0.77–0.86) | 2.46 (1.90–3.20) | 0.45 (0.30–0.60) | 5.43 (3.18–9.28) | |
| D-dimer ng/mL | IMV | 0.666 (0.60–0.74) | 981.5 | 0.002 | 0.65 (0.54–0.75) | 0.70 (0.63–0.76) | 0.47 (0.41–0.54) | 0.82 (0.77–0.86) | 2.12 (1.63–2.76) | 0.51 (0.38–0.69) | 4.18 (2.44–7.15) |
| NIMV | 0.610 (0.53–0.70) | 787.5 | 0.110 | 0.60 (0.46–0.73) | 0.66 (0.57–0.73) | 0.40 (0.33–0.47) | 0.81 (0.75–0.86) | 1.74 (1.27–2.38) | 0.61 (0.43–0.86) | 2.85 (1.50–5.40) | |
| Mortality | 0.687 (0.62–0.76) | 439.5 | 0.0001 | 0.55 (0.45–0.66) | 0.80 (0.73–0.85) | 0.57 (0.49–0.65) | 0.78 (0.74–0.82) | 2.71 (1.90–3.80) | 0.56 (0.40–0.70) | 4.83 (2.82–8.26) | |
| LDH UI/L | IMV | 0.736 (0.67–0.80) | 437.5 | 0.101 | 0.61 (0.50–0.72) | 0.80 (0.73–0.85) | 0.56 (0.48–0.64) | 0.83 (0.79–0.87) | 2.98 (2.16–4.11) | 0.49 (0.37–0.64) | 6.30 (3.61–11.00) |
| NIMV | 0.649 (0.56–0.73) | 340.5 | 0.320 | 0.67 (0.53–0.79) | 0.61 (0.52–0.69) | 0.39 (0.33–0.46) | 0.83 (0.77–0.88) | 1.71 (1.30–2.25) | 0.54 (0.36–0.81) | 3.17 (1.65–6.11) |
Publisher’s Note: MDPI stays neutral with regard to jurisdictional claims in published maps and institutional affiliations. |
© 2022 by the authors. Licensee MDPI, Basel, Switzerland. This article is an open access article distributed under the terms and conditions of the Creative Commons Attribution (CC BY) license (https://creativecommons.org/licenses/by/4.0/).
Share and Cite
Minieri, M.; Di Lecce, V.N.; Lia, M.S.; Maurici, M.; Leonardis, F.; Longo, S.; Colangeli, L.; Paganelli, C.; Levantesi, S.; Terrinoni, A.; et al. Predictive Value of MR-proADM in the Risk Stratification and in the Adequate Care Setting of COVID-19 Patients Assessed at the Triage of the Emergency Department. Diagnostics 2022, 12, 1971. https://doi.org/10.3390/diagnostics12081971
Minieri M, Di Lecce VN, Lia MS, Maurici M, Leonardis F, Longo S, Colangeli L, Paganelli C, Levantesi S, Terrinoni A, et al. Predictive Value of MR-proADM in the Risk Stratification and in the Adequate Care Setting of COVID-19 Patients Assessed at the Triage of the Emergency Department. Diagnostics. 2022; 12(8):1971. https://doi.org/10.3390/diagnostics12081971
Chicago/Turabian StyleMinieri, Marilena, Vito N. Di Lecce, Maria Stella Lia, Massimo Maurici, Francesca Leonardis, Susanna Longo, Luca Colangeli, Carla Paganelli, Stefania Levantesi, Alessandro Terrinoni, and et al. 2022. "Predictive Value of MR-proADM in the Risk Stratification and in the Adequate Care Setting of COVID-19 Patients Assessed at the Triage of the Emergency Department" Diagnostics 12, no. 8: 1971. https://doi.org/10.3390/diagnostics12081971
APA StyleMinieri, M., Di Lecce, V. N., Lia, M. S., Maurici, M., Leonardis, F., Longo, S., Colangeli, L., Paganelli, C., Levantesi, S., Terrinoni, A., Malagnino, V., Brunetti, D. J., Giovannelli, A., Pieri, M., Ciotti, M., D’Agostini, C., Gabriele, M., Bernardini, S., & Legramante, J. M. (2022). Predictive Value of MR-proADM in the Risk Stratification and in the Adequate Care Setting of COVID-19 Patients Assessed at the Triage of the Emergency Department. Diagnostics, 12(8), 1971. https://doi.org/10.3390/diagnostics12081971

