Evaluation of Adjuvant Treatments for Adenoid Cystic Carcinoma of the Breast: A Population-Based, Propensity Score Matched Cohort Study from the SEER Database
Abstract
:1. Introduction
2. Materials and Methods
2.1. Patients
2.2. Clinicopathological Factors
2.3. Survival Outcomes
2.4. Propensity Score Matching (PSM)
2.5. Statistical Analysis
3. Results
3.1. Patients Characteristics
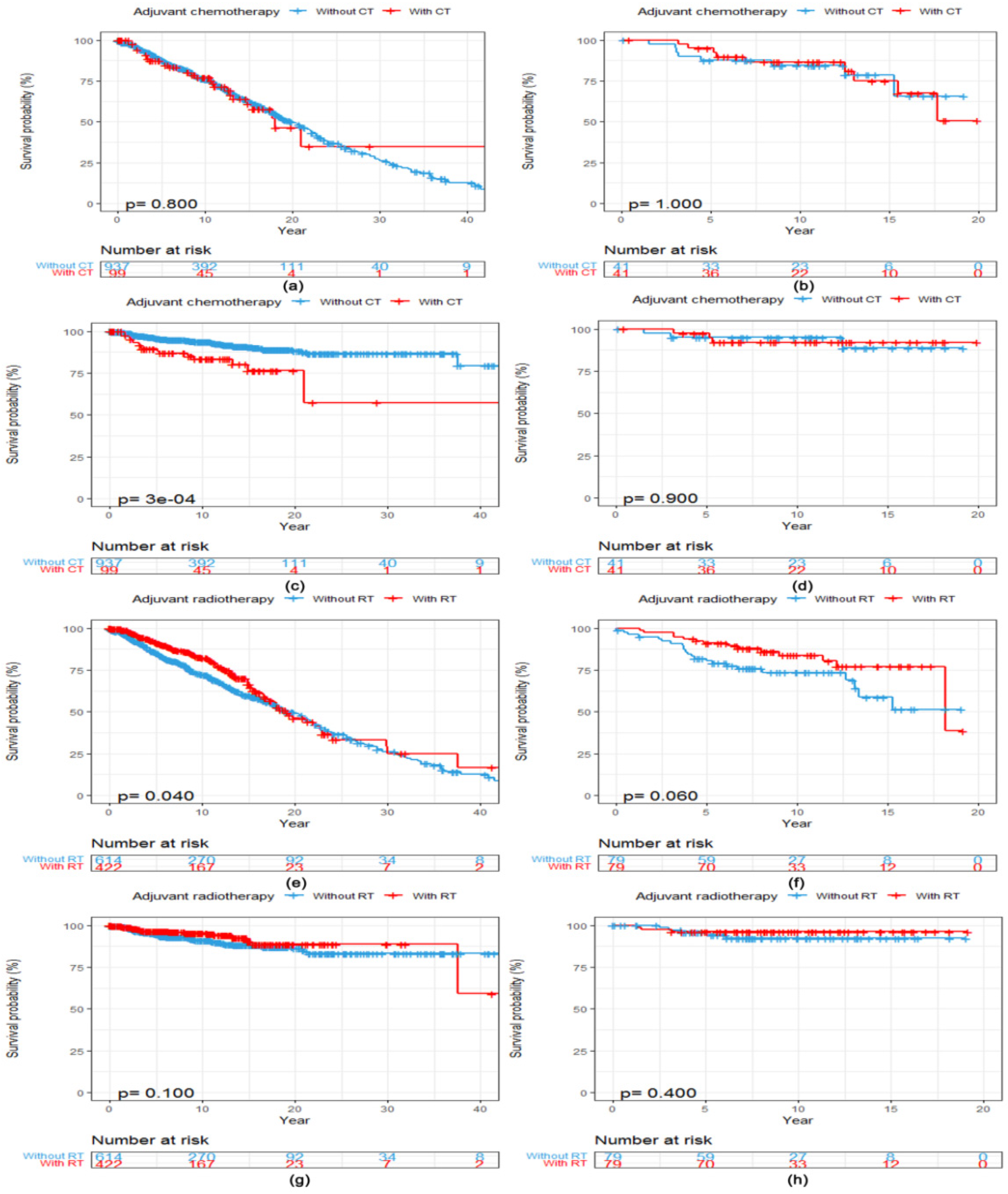
3.2. The Impact of Adjuvant CT on Survival in Patients with ACC of the Breast
3.3. The Impact of Adjuvant RT on Survival in Patients with ACC of the Breast
3.4. Univariate Stratified Analysis of the Impact of Adjuvant Treatments on Survival in Patients with ACC of the Breast
3.5. Univariate and Multivariate Analysis of Clinicopathological Factors Influencing the Survival of Patients with ACC of the Breast
3.6. Comparison of Survival between Patients Diagnosed with ACC, MC and TC of the Breast
4. Discussion
Supplementary Materials
Author Contributions
Funding
Institutional Review Board Statement
Informed Consent Statement
Data Availability Statement
Conflicts of Interest
References
- Barough, N.B.; Sajjadian, F.; Jalilzadeh, N.; Shafaei, H.; Velaei, K. Understanding breast cancer heterogeneity through non-genetic heterogeneity. Breast Cancer 2021, 28, 777–791. [Google Scholar] [CrossRef] [PubMed]
- Cserni, G.; Quinn, C.M.; Foschini, M.P.; Bianchi, S.; Callagy, G.; Chmielik, E.; Decker, T.; Fend, F.; Kovács, A.; van Diest, P.J.; et al. Triple-Negative breast cancer histological subtypes with a favourable prognosis. Cancers 2021, 13, 5694. [Google Scholar] [CrossRef] [PubMed]
- Harbeck, N.; Salem, M.; Nitz, U. Personalized treatment of early-stage breast cancer: Present concepts and future directions. Cancer Treat. Rev. 2010, 36, 584–594. [Google Scholar] [CrossRef] [PubMed]
- Thompson, K.; Grabowski, J.; Saltzstein, S.L.; Sadler, G.R.; Blair, S.L. Adenoid cystic breast carcinoma: Is axillary staging necessary in all cases? Results from the California Cancer Registry. Breast J. 2011, 17, 485–489. [Google Scholar] [CrossRef] [PubMed] [Green Version]
- Millar, B.-A.M.; Kerba, M.; Youngson, B.; Lockwood, G.A.; Liu, F.-F. The potential role of breast conservation surgery and adjuvant breast radiation for adenoid cystic carcinoma of the breast. Breast Cancer Res. Treat. 2004, 87, 225–232. [Google Scholar] [CrossRef] [PubMed]
- Butcher, M.R.; White, M.J.; Rooper, L.M.; Argani, P.; Cimino-Mathews, A. MYB RNA in situ hybridization is a useful diagnostic tool to distinguish breast adenoid cystic carcinoma from other triple-negative breast carcinomas. Am. J. Surg. Pathol. 2022, 46, 878–888. [Google Scholar] [CrossRef] [PubMed]
- Elimimian, E.B.; Samuel, T.A.; Liang, H.; Elson, L.; Bilani, N.; Nahleh, Z.A. Clinical and demographic factors, treatment patterns, and overall survival associated with rare triple-negative breast carcinomas in the US. JAMA Netw. Open 2021, 4, e214123. [Google Scholar] [CrossRef] [PubMed]
- Boujelbene, N.; Khabir, A.; Sozzi, W.J.; Mirimanoff, R.; Khanfir, K. Clinical review—Breast adenoid cystic carcinoma. Breast 2012, 21, 124–127. [Google Scholar] [CrossRef] [PubMed]
- Kallel, R.; Zouari, I.B.; Gouiaa, N.; Charfi, S.; Daoud, E.; Ayadum, L.; Makni, S.; Daoud, J.; Boudawara, T.S. Adenoid cystic carcinoma of the breast. Cancer Radiother. 2009, 13, 323–328. [Google Scholar] [CrossRef] [PubMed]
- Vranic, S.; Bender, R.; Palazzo, J.; Gatalica, Z. A review of adenoid cystic carcinoma of the breast with emphasis on its molecular and genetic characteristics. Hum. Pathol. 2013, 44, 301–309. [Google Scholar] [CrossRef] [PubMed]
- Defaud-Hénon, F.; Tunon-de-Lara, C.; Fournier, M.; Marty, M.; Velasco, V.; de Mascarel, I.; MacGrogan, G. Adenoid cystic carcinoma of the breast: Clinical, histological and immunohistochemical characterization. Ann. Pathol. 2010, 30, 7–16. [Google Scholar] [CrossRef] [PubMed]
- Di Saverio, S.; Gutierrez, J.; Avisar, E. A retrospective review with long term follow up of 11,400 cases of pure mucinous breast carcinoma. Breast Cancer Res. Treat. 2008, 111, 541–547. [Google Scholar] [CrossRef] [PubMed]
- Marrazzo, E.; Frusone, F.; Milana, F.; Sagona, A.; Gatzemeier, W.; Barbieri, E.; Bottini, A.; Canavese, G.; Rubino, A.O.; Eboli, M.G.; et al. Mucinous breast cancer: A narrative review of the literature and a retrospective tertiary single-centre analysis. Breast 2020, 49, 87–92. [Google Scholar] [CrossRef] [PubMed] [Green Version]
- Han, Y.; Wang, J.; Xu, B. Clinicopathological characteristics and prognosis of breast cancer with special histological types: A surveillance, epidemiology, and end results database analysis. Breast 2020, 54, 114–120. [Google Scholar] [CrossRef] [PubMed]
- Kulkarni, N.; Pezzi, C.M.; Greif, J.M.; Klimberg, V.S.; Bailey, L.; Korourian, S.; Zuraek, M. Rare breast cancer: 933 adenoid cystic carcinomas from the national cancer data base. Ann. Surg. Oncol. 2013, 20, 2236–2241. [Google Scholar] [CrossRef] [PubMed]
- National Comprehensive Cancer Network (NCCN). Clinical Practice Guidelines in Oncology Version 4, 2022. Breast. NCCN Clinical Practice Guidelines in Oncology. Available online: Https://www.nccn.org/guidelines/guidelines-detail?category=1&id=1419 (accessed on 2 June 2022).
- Khanfir, K.; Kallel, A.; Villette, S.; Belkacémi, Y.; Vautravers, C.; Nguyen, T.; Miller, R.; Li, Y.X.; Taghian, A.G.; Boersma, L.; et al. Management of adenoid cystic carcinoma of the breast: A Rare Cancer Network study. Int. J. Radiat. Oncol. Biol. Phys. 2012, 82, 2118–2124. [Google Scholar] [CrossRef] [PubMed]
- Sun, J.-Y.; Wu, S.-G.; Chen, S.-Y.; Li, F.-Y.; Lin, H.-X.; Chen, Y.-X.; He, Z.-Y. Adjuvant radiation therapy and survival for adenoid cystic carcinoma of the breast. Breast 2017, 31, 214–218. [Google Scholar] [CrossRef] [PubMed]




| Characteristic | Overall N = 1036 | Adjuvant CT | p-Value | Adjuvant RT | p-Value | ||
|---|---|---|---|---|---|---|---|
| Without N = 937 | With N = 99 | Without N = 614 | With N = 422 | ||||
| Gender (%) | |||||||
| Female | 1024 (98.8) | 926 (98.8) | 98 (99.0) | 1.000 | 607 (98.9) | 417 (98.8) | 1.000 |
| Male | 12 (1.2) | 11 (1.2) | 1 (1.0) | 7 (1.1) | 5 (1.2) | ||
| Age (mean (SD)) | 62 (13.13) | 62 (13.15) | 56 (11.51) | <0.001 | 63 (13.88) | 60 (11.75) | <0.001 |
| Race (%) | |||||||
| White | 861 (83.1) | 783 (83.6) | 78 (78.8) | 0.354 | 508 (82.7) | 353 (83.6) | 0.118 |
| Black | 88 (8.5) | 75 (8.0) | 13 (13.1) | 47 (7.7) | 41 (9.7) | ||
| Other * | 80 (7.7) | 73 (7.8) | 7 (7.1) | 56 (9.1) | 24 (5.7) | ||
| UNK | 7 (0.7) | 6 (0.6) | 1 (1.0) | 3 (0.5) | 4 (0.9) | ||
| Year of diagnosis (%) | |||||||
| 1975–1999 | 256 (24.7) | 248 (26.5) | 8 (8.1) | <0.001 | 201 (32.7) | 55 (13.0) | <0.001 |
| 2000–2009 | 346 (33.4) | 294 (31.4) | 52 (52.5) | 191 (31.1) | 155 (36.7) | ||
| 2010–2019 | 434 (41.9) | 395 (42.2) | 39 (39.4) | 222 (36.2) | 212 (50.2) | ||
| Histology Grade (%) | |||||||
| I | 279 (26.9) | 261 (27.9) | 18 (18.2) | <0.001 | 156 (25.4) | 123 (29.1) | 0.002 |
| II | 205 (19.8) | 179 (19.1) | 26 (26.3) | 109 (17.8) | 96 (22.7) | ||
| III | 79 (7.6) | 62 (6.6) | 17 (17.2) | 39 (6.4) | 40 (9.5) | ||
| IV | 14 (1.4) | 11 (1.2) | 3 (3.0) | 7 (1.1) | 7 (1.7) | ||
| UNK | 459 (44.3) | 424 (45.3) | 35 (35.4) | 303 (49.3) | 156 (37.0) | ||
| Tumor stage (%) | |||||||
| T1 | 406 (39.2) | 373 (39.8) | 33 (33.3) | <0.001 | 215 (35.0) | 191 (45.3) | <0.001 |
| T2–T4 | 262 (25.3) | 216 (23.1) | 46 (46.5) | 148 (24.1) | 114 (27.0) | ||
| UNK | 368 (35.5) | 348 (37.1) | 20 (20.2) | 251 (40.9) | 117 (7.7) | ||
| Nodal status (%) | |||||||
| Negative | 641 (61.9) | 579 (61.8) | 62 (62.6) | <0.001 | 352 (57.3) | 289 (68.5) | <0.001 |
| Positive | 27 (2.6) | 10 (1.1) | 17 (17.2) | 11 (1.8) | 16 (3.8) | ||
| UNK | 368 (35.5) | 348 (37.1) | 20 (20.2) | 251 (40.9) | 117 (27.7) | ||
| TNM stage (%) | |||||||
| I | 398 (38.4) | 368 (39.3) | 30 (30.3) | <0.001 | 208 (33.9) | 190 (45.0) | <0.001 |
| II | 266 (25.7) | 220 (23.5) | 46 (46.5) | 152 (24.8) | 114 (27.0) | ||
| III | 4 (0.4) | 1 (0.1) | 3 (3.0) | 3 (0.5) | 1 (0.2) | ||
| UNK | 368 (35.5) | 348 (37.1) | 20 (20.2) | 251 (40.9) | 117 (27.7) | ||
| ER (%) | |||||||
| Negative | 607 (58.6) | 537 (57.3) | 70 (70.7) | 0.006 | 314 (51.1) | 293 (69.4) | <0.001 |
| Positive | 169 (16.3) | 152 (16.2) | 17 (17.2) | 96 (15.6) | 73 (17.3) | ||
| UNK | 260 (25.1) | 248 (26.5) | 12 (12.1) | 204 (33.2) | 56 (13.3) | ||
| PR (%) | |||||||
| Negative | 677 (65.3) | 606 (64.7) | 71 (71.7) | 0.001 | 355 (57.8) | 322 (76.3) | <0.001 |
| Positive | 96 (9.3) | 80 (8.5) | 16 (16.2) | 53 (8.6) | 43 (10.2) | ||
| UNK | 263 (25.4) | 251 (26.8) | 12 (12.1) | 206 (33.6) | 57 (13.5) | ||
| Her2 (%) | |||||||
| Negative | 390 (37.6) | 353 (37.7) | 37 (37.4) | 0.229 | 192 (31.3) | 198 (46.9) | <0.001 |
| Positive | 7 (0.7) | 5 (0.5) | 2 (2.0) | 3 (0.5) | 4 (0.9) | ||
| UNK | 639 (61.7) | 579 (61.8) | 60 (60.6) | 419 (68.2) | 220 (52.1) | ||
| Surgery (%) | |||||||
| BCS | 522 (50.4) | 469 (50.1) | 53 (53.5) | <0.001 | 176 (28.7) | 346 (82.0) | <0.001 |
| Total mastectomy | 257 (24.8) | 218 (23.3) | 39 (39.4) | 231 (37.6) | 26 (6.2) | ||
| UNK | 257 (24.8) | 250 (26.7) | 7 (7.1) | 207 (33.7) | 50 (11.8) | ||
| Characteristic | No. | OS | BCSS | ||||||
|---|---|---|---|---|---|---|---|---|---|
| Univariate | Multivariate | Univariate | Multivariate | ||||||
| HR (95% CI) | p-Value | HR (95% CI) | p-Value | HR (95% CI) | p-Value | HR (95% CI) | p-Value | ||
| Age | |||||||||
| ≤60 | 207 | 3.88 (2.49, 6.04) | <0.001 | 3.90 (2.48, 6.12) | <0.001 | 1.05 (0.51, 2.14) | 0.904 | 1.10 (0.52, 2.33) | 0.810 |
| >60 | 192 | ||||||||
| Year of diagnosis | |||||||||
| 1975–2009 | 216 | 0.69 (0.43, 1.12) | 0.135 | 0.81 (0.50, 1.33) | 0.394 | 0.36 (0.15, 0.90) | 0.029 | 0.55 (0.21, 1.43) | 0.217 |
| 2010–2019 | 183 | ||||||||
| Histology Grade | |||||||||
| I | 186 | Ref. | Ref. | Ref. | Ref. | ||||
| II | 146 | 0.94 (0.60, 1.49) | 0.803 | 0.89 (0.55, 1.43) | 0.625 | 1.47 (0.53, 4.04) | 0.460 | 0.89 (0.30, 2.60) | 0.827 |
| III–IV | 67 | 2.20 (1.37, 3.52) | 0.001 | 1.91 (1.17, 3.12) | 0.010 | 7.06 (2.88, 17.34) | <0.001 | 5.22 (2.02, 13.49) | 0.001 |
| Tumor stage | |||||||||
| T1 | 231 | 1.31 (0.90, 1.92) | 0.173 | 1.72 (0.41, 7.21) | 0.461 | 3.56 (1.63, 7.77) | 0.001 | 2.20 (0.22, 21.98) | 0.501 |
| T2–T4 | 168 | ||||||||
| Nodal status | |||||||||
| Negative | 380 | 4.15 (2.27, 7.61) | <0.001 | 4.85 (2.09, 11.24) | <0.001 | 11.85 (5.40, 26.00) | <0.001 | 5.73 (2.02, 16.21) | 0.001 |
| Positive | 19 | ||||||||
| TNM stage | |||||||||
| I | 227 | 1.43 (0.98, 2.10) | 0.066 | 0.75 (0.17, 3.31) | 0.699 | 4.08 (1.82, 9.17) | 0.001 | 1.05 (0.09, 12.25) | 0.971 |
| II-III | 172 | ||||||||
| Hormone receptor * | |||||||||
| Negative | 316 | 0.81 (0.48, 1.36) | 0.422 | 0.82 (0.47, 1.45) | 0.496 | 0.27 (0.07, 1.15) | 0.077 | 0.27 (0.06, 1.29) | 0.100 |
| Positive | 83 | ||||||||
| Surgery | |||||||||
| BCS | 270 | 1.09 (0.73, 1.63) | 0.672 | 0.74 (0.45, 12.4) | 0.258 | 2.41 (1.18, 4.93) | 0.016 | 1.78 (0.66, 4.81) | 0.254 |
| Total mastectomy | 129 | ||||||||
| Adjuvant RT | |||||||||
| Without | 202 | 0.73 (0.49, 1.07) | 0.106 | 0.64 (0.39, 1.05) | 0.080 | 0.64 (0.31, 1.33) | 0.233 | 0.65 (0.24, 1.77) | 0.400 |
| With | 197 | ||||||||
| Adjuvant CT | |||||||||
| Without | 345 | 1.14 (0.68, 1.92) | 0.625 | 0.91 (0.49, 1.70) | 0.764 | 3.17 (1.48, 6.78) | 0.003 | 1.69 (0.64, 4.48) | 0.294 |
| With | 54 | ||||||||
| Survival Rate | ACC N = 1036 | TC N = 12,231 | MC N = 27,878 |
|---|---|---|---|
| 5-year OS% (95% CI) | 88.09 (85.99, 90.20) | 91.30 (90.80, 91.80) | 82.90 (82.43, 83.37) |
| 10-year OS% (95% CI) | 76.24 (73.25, 79.30) | 79.30 (78.56, 80.10) | 64.79 (64.14, 65.43) |
| 5-year BCSS% (95% CI) | 95.30 (93.90, 96.70) | 98.60 (98.40, 98.80) | 96.00 (95.70, 96.20) |
| 10-year BCSS% (95% CI) | 92.60 (90.70, 94.50) | 96.90 (96.60, 97.20) | 92.10 (91.70, 92.50) |
Publisher’s Note: MDPI stays neutral with regard to jurisdictional claims in published maps and institutional affiliations. |
© 2022 by the authors. Licensee MDPI, Basel, Switzerland. This article is an open access article distributed under the terms and conditions of the Creative Commons Attribution (CC BY) license (https://creativecommons.org/licenses/by/4.0/).
Share and Cite
Yang, L.; Wang, C.; Liu, M.; Wang, S. Evaluation of Adjuvant Treatments for Adenoid Cystic Carcinoma of the Breast: A Population-Based, Propensity Score Matched Cohort Study from the SEER Database. Diagnostics 2022, 12, 1760. https://doi.org/10.3390/diagnostics12071760
Yang L, Wang C, Liu M, Wang S. Evaluation of Adjuvant Treatments for Adenoid Cystic Carcinoma of the Breast: A Population-Based, Propensity Score Matched Cohort Study from the SEER Database. Diagnostics. 2022; 12(7):1760. https://doi.org/10.3390/diagnostics12071760
Chicago/Turabian StyleYang, Liu, Chaobin Wang, Miao Liu, and Shu Wang. 2022. "Evaluation of Adjuvant Treatments for Adenoid Cystic Carcinoma of the Breast: A Population-Based, Propensity Score Matched Cohort Study from the SEER Database" Diagnostics 12, no. 7: 1760. https://doi.org/10.3390/diagnostics12071760
APA StyleYang, L., Wang, C., Liu, M., & Wang, S. (2022). Evaluation of Adjuvant Treatments for Adenoid Cystic Carcinoma of the Breast: A Population-Based, Propensity Score Matched Cohort Study from the SEER Database. Diagnostics, 12(7), 1760. https://doi.org/10.3390/diagnostics12071760

