Joint Assessment of Equilibrium and Neuromotor Function: A Validation Study in Patients with Fibromyalgia
Abstract
1. Introduction
2. Materials and Methods
2.1. Study
2.2. Tool Development and Pilot Study
2.3. Sample of Patients
2.4. Measurements
2.5. Data Analysis
3. Results
3.1. Instrument Development Phase
3.2. Validation Phase
4. Discussion
5. Conclusions
Supplementary Materials
Author Contributions
Funding
Acknowledgments
Conflicts of Interest
References
- Welsch, P.; Üçeyler, N.; Klose, P.; Walitt, B.; Häuser, W. Serotonin and noradrenaline reuptake inhibitors (SNRIs) for fibromyalgia. Cochrane Database Syst. Rev. 2018, 2, CD010292. [Google Scholar] [CrossRef] [PubMed]
- Trevisan, D.C.; Driusso, P.; Avila, M.A.; Gramani-Say, K.; Moreira, F.M.A.; Parizotto, N.A. Static postural sway of women with and without fibromyalgia syndrome: A cross-sectional study. Clin. Biomech. 2017, 44, 83–89. [Google Scholar] [CrossRef] [PubMed]
- Clauw, D.J. Fibromyalgia: A clinical review. JAMA 2014, 311, 1547–1555. [Google Scholar] [CrossRef] [PubMed]
- Littlejohn, G.; Guymer, E. Neurogenic inflammation in fibromyalgia. Semin. Immunopathol. 2018, 40, 291–300. [Google Scholar] [CrossRef]
- Jones, K.D.; Horak, F.B.; Winters-Stone, K.; Irvine, J.M.; Bennett, R.M. Fibromyalgia is associated with impaired balance and falls. J. Clin. Rheumatol. Pract. Rep. Rheum. Musculoskelet. Dis. 2009, 15, 16–21. [Google Scholar] [CrossRef]
- Jones, K.D.; King, L.A.; Mist, S.D.; Bennett, R.M.; Horak, F.B. Postural control deficits in people with fibromyalgia: A pilot study. Arthritis Res. Ther. 2011, 13, R127. [Google Scholar] [CrossRef]
- Akkaya, N.; Akkaya, S.; Atalay, N.S.; Acar, M.; Catalbas, N.; Sahin, F. Assessment of the relationship between postural stability and sleep quality in patients with fibromyalgia. Clin. Rheumatol. 2013, 32, 325–331. [Google Scholar] [CrossRef]
- Meireles, S.A.; Antero, D.C.; Kulczycki, M.M.; Skare, T.L. Prevalence of falls in fibromyalgia patients. Acta Ortop. Bras. 2014, 22, 163–166. [Google Scholar] [CrossRef]
- Collado-Mateo, D.; Dominguez-Muñoz, F.J.; Adsuar, J.C.; Garcia-Gordillo, M.A.; Gusi, N. Effects of Exergames on Quality of Life, Pain, and Disease Effect in Women With Fibromyalgia: A Randomized Controlled Trial. Arch. Phys. Med. Rehabil. 2017, 98, 1725–1731. [Google Scholar] [CrossRef]
- Russek, L.N.; Fulk, G.D. Pilot study assessing balance in women with fibromyalgia syndrome. Physiother. Theory Pract. 2009, 25, 555–565. [Google Scholar] [CrossRef]
- Muto, L.H.A.; Sauer, J.F.; Yuan, S.L.K.; Sousa, A.; Mango, P.C.; Marques, A.P. Postural control and balance self-efficacy in women with fibromyalgia: Are there differences? Eur. J. Phys. Rehabil. Med. 2015, 51, 149–154. [Google Scholar] [PubMed]
- Rasouli, O.; Stensdotter, A.-K.; Van der Meer, A.L.H. TauG-guidance of dynamic balance control during gait initiation in patients with chronic fatigue syndrome and fibromyalgia. Clin. Biomech. 2016, 37, 147–152. [Google Scholar] [CrossRef] [PubMed]
- Pérez-de-Heredia-Torres, M.; Huertas-Hoyas, E.; Martínez-Piédrola, R.; Palacios-Ceña, D.; Alegre-Ayala, J.; Santamaría-Vázquez, M.; Fernández-de-Las-Peñas, C. Balance deficiencies in women with fibromyalgia assessed using computerised dynamic posturography: A cross-sectional study in Spain. BMJ Open 2017, 7, e016239. [Google Scholar] [CrossRef] [PubMed]
- Bergin, P.S.; Bronstein, A.M.; Murray, N.M.; Sancovic, S.; Zeppenfeld, D.K. Body sway and vibration perception thresholds in normal aging and in patients with polyneuropathy. J. Neurol. Neurosurg. Psychiatry 1995, 58, 335–340. [Google Scholar] [CrossRef]
- Duruturk, N.; Tuzun, E.H.; Culhaoglu, B. Is balance exercise training as effective as aerobic exercise training in fibromyalgia syndrome? Rheumatol. Int. 2015, 35, 845–854. [Google Scholar] [CrossRef]
- Kibar, S.; Yıldız, H.E.; Ay, S.; Evcik, D.; Ergin, E.S. New Approach in Fibromyalgia Exercise Program: A Preliminary Study Regarding the Effectiveness of Balance Training. Arch. Phys. Med. Rehabil. 2015, 96, 1576–1582. [Google Scholar] [CrossRef]
- Inui, T.; Haginomori, S.I.; Ayani, Y.; Kuriyama, T.; Noro, K.; Suzuki, M.; Ichihara, T.; Araki, M.; Kawata, R. Relationship between the results of the head-shaking test and short-term prognosis of hearing impairment in patients with unilateral Ménière’s disease: A retrospective analysis of 157 cases. Clin. Otolaryngol. 2019, 44, 408–411. [Google Scholar] [CrossRef]
- Beynon, G.J.; Jani, P.; Baguley, D.M. A clinical evaluation of head impulse testing. Clin. Otolaryngol. Allied Sci. 1998, 23, 117–122. [Google Scholar] [CrossRef]
- Viveiro, L.A.P.; Gomes, G.C.V.; Bacha, J.M.R.; Carvas Junior, N.; Kallas, M.E.; Reis, M.; Jacob Filho, W.; Pompeu, J.E. Reliability, Validity, and Ability to Identity Fall Status of the Berg Balance Scale, Balance Evaluation Systems Test (BESTest), Mini-BESTest, and Brief-BESTest in Older Adults Who Live in Nursing Homes. J. Geriatr. Phys. Ther. 2019, 42, E45–E54. [Google Scholar] [CrossRef]
- Mallinson, A.I.; Kuijpers, A.C.M.; Van Zwieten, G.; Kakal, J.; Mullings, W.; Longridge, N.S. Computerized Dynamic Posturography does not detect measured CVEMP and OVEMP abnormalities. Gait Posture 2019, 67, 248–250. [Google Scholar] [CrossRef]
- Kline, P.E. An Easy Guide to Factor Analysis; Routledge: New York, NY, USA, 1993. [Google Scholar]
- Monterde, S.; Salvat, I.; Montull, S.; Fernández-Ballart, J. Validación de la versión española del Fibromyalgia Impact Questionnaire. Rev. Esp. Reum. 2004, 31, 507–513. [Google Scholar]
- Cuesta-Vargas, A.I.; Roldan-Jimenez, C.; Neblett, R.; Gatchel, R.J. Cross-cultural adaptation and validity of the Spanish central sensitization inventory. Springerplus 2016, 5, 1837. [Google Scholar] [CrossRef] [PubMed]
- Montilla-Ibáñez, A.; Martínez-Amat, A.; Lomas-Vega, R.; Cruz-Díaz, D.; la Torre-Cruz, M.J.D.; Casuso-Pérez, R.; Hita-Contreras, F. The Activities-specific Balance Confidence scale: Reliability and validity in Spanish patients with vestibular disorders. Disabil. Rehabil. 2017, 39, 697–703. [Google Scholar] [CrossRef] [PubMed]
- Lomas-Vega, R.; Hita-Contreras, F.; Mendoza, N.; Martínez-Amat, A. Cross-cultural adaptation and validation of the Falls Efficacy Scale International in Spanish postmenopausal women. Menopause 2012, 19, 904–908. [Google Scholar] [CrossRef] [PubMed]
- Pérez, N.; Garmendia, I.; Martín, E.; García-Tapia, R. Cultural adaptation of 2 questionnaires for health measurement in patients with vertigo. Acta Otorrinolaringol. Esp. 2000, 51, 572–580. [Google Scholar] [PubMed]
- Caldara, B.; Asenzo, A.I.; Brusotti Paglia, G.; Ferreri, E.; Gomez, R.S.; Laiz, M.M.; Luques, M.L.; Mangoni, A.P.; Marazzi, C.; Matesa, M.A.; et al. Cross-cultural adaptation and validation of the Dizziness Handicap Inventory: Argentine version. Acta Otorrinolaringol. Esp. 2012, 63, 106–114. [Google Scholar] [CrossRef]
- Vilagut, G.; Valderas, J.M.; Ferrer, M.; Garin, O.; López-García, E.; Alonso, J. Interpretation of SF-36 and SF-12 questionnaires in Spain: Physical and mental components. Med. Clin. 2008, 130, 726–735. [Google Scholar] [CrossRef]
- Romero-Franco, N.; Martínez-López, E.J.; Lomas-Vega, R.; Hita-Contreras, F.; Osuna-Pérez, M.C.; Martínez-Amat, A. Short-term effects of proprioceptive training with unstable platform on athletes’ stabilometry. J. Strength Cond. Res. 2013, 27, 2189–2197. [Google Scholar] [CrossRef]
- Tavakol, M.; Dennick, R. Making sense of Cronbach’s alpha. Int. J. Med. Educ. 2011, 2, 53–55. [Google Scholar] [CrossRef]
- Cohen, J. Statistical Analysis for the Behavioral Sciences; Lawrance, E., Ed.; Nanam Publishing House: Hillsdale, MI, USA, 1988. [Google Scholar]
- Zweig, M.H.; Campbell, G. Receiver-operating characteristic (ROC) plots: A fundamental evaluation tool in clinical medicine. Clin. Chem. 1993, 39, 561–577. [Google Scholar] [CrossRef]
- Hanley, J.A.; McNeil, B.J. A method of comparing the areas under receiver operating characteristic curves derived from the same cases. Radiology 1983, 148, 839–843. [Google Scholar] [CrossRef] [PubMed]
- Berg, K.O.; Wood-Dauphinee, S.L.; Williams, J.I.; Maki, B. Measuring balance in the elderly: Validation of an instrument. Can. J. Public Health 1992, 83 (Suppl. 2), S7–S11. [Google Scholar] [PubMed]
- O’Hoski, S.; Sibley, K.M.; Brooks, D.; Beauchamp, M.K. Construct validity of the BESTest, mini-BESTest and briefBESTest in adults aged 50 years and older. Gait Posture 2015, 42, 301–305. [Google Scholar] [CrossRef] [PubMed]
- Lima, C.A.; Ricci, N.A.; Nogueira, E.C.; Perracini, M.R. The Berg Balance Scale as a clinical screening tool to predict fall risk in older adults: A systematic review. Physiotherapy 2018, 104, 383–394. [Google Scholar] [CrossRef] [PubMed]
- Kasapoğlu Aksoy, M.; Altan, L.; Ökmen Metin, B. The relationship between balance and vitamin 25(OH)D in fibromyalgia patients. Mod. Rheumatol. 2017, 27, 868–874. [Google Scholar] [CrossRef] [PubMed]
- Ulus, Y.; Akyol, Y.; Tander, B.; Durmuş, D.; Bilgici, A.; Kuru, O. Is there a balance problem in hypermobile patients with fibromyalgia? Turkish J. Rheumatol. 2013, 28, 10–15. [Google Scholar] [CrossRef]
- Ulus, Y.; Akyol, Y.; Tander, B.; Bilgici, A.; Kuru, O. Knee Proprioception and Balance in Turkish Women With and Without Fibromyalgia Syndrome. Turkish J. Phys. Med. Rehabil. 2013, 59, 128–132. [Google Scholar] [CrossRef]
- Torres-Narvaez, M.R.; Luna-Corrales, G.A.; Rangel-Pineros, M.C.; Pardo-Oviedo, J.M.; Alvarado-Quintero, H. Transcultural adaptation to the Spanish language of the Balance Evaluation Systems Test (BESTest) in older adults. Rev. Neurol. 2018, 67, 373–381. [Google Scholar]
- Font Gayà, T.; Bordoy Ferrer, C.; Juan Mas, A.; Seoane-Mato, D.; Álvarez Reyes, F.; Delgado Sánchez, M.; Martínez Dubois, C.; Sánchez-Fernández, S.A.; Marena Rojas Vargas, L.; García Morales, P.V.; et al. Prevalence of fibromyalgia and associated factors in Spain. Clin. Exp. Rheumatol. 2020, 38 (Suppl. 1), 47–52. [Google Scholar]
- Hita-Contreras, F.; Martínez-Amat, A.; Lomas-Vega, R.; Álvarez, P.; Aránega, A.; Martínez-López, E.; Mendoza, N. Predictive value of stabilometry and fear of falling on falls in postmenopausal women. Climacteric 2013, 16, 584–589. [Google Scholar] [CrossRef]
- Peinado-Rubia, A.; Osuna-Pérez, M.C.; Rodríguez-Almagro, D.; Zagalaz-Anula, N.; López-Ruiz, M.C.; Lomas-Vega, R. Impaired Balance in Patients with Fibromyalgia Syndrome: Predictors of the Impact of This Disorder and Balance Confidence. Int. J. Environ. Res. Public Health 2020, 17. [Google Scholar] [CrossRef] [PubMed]
- Cuevas-Trisan, R. Balance Problems and Fall Risks in the Elderly. Phys. Med. Rehabil. Clin. N. Am. 2017, 28, 727–737. [Google Scholar] [CrossRef] [PubMed]
- Kuchinad, A.; Schweinhardt, P.; Seminowicz, D.A.; Wood, P.B.; Chizh, B.A.; Bushnell, M.C. Accelerated brain gray matter loss in fibromyalgia patients: Premature aging of the brain? J. Neurosci. 2007, 27, 4004–4007. [Google Scholar] [CrossRef] [PubMed]
- Cagnie, B.; Coppieters, I.; Denecker, S.; Six, J.; Danneels, L.; Meeus, M. Central sensitization in fibromyalgia? A systematic review on structural and functional brain MRI. Semin. Arthritis Rheum. 2014, 44, 68–75. [Google Scholar] [CrossRef]
- Kristjansson, E.; Treleaven, J. Sensorimotor function and dizziness in neck pain: Implications for assessment and management. J. Orthop. Sports Phys. Ther. 2009, 39, 364–377. [Google Scholar] [CrossRef]
- Kelders, W.P.A.; Kleinrensink, G.J.; van der Geest, J.N.; Feenstra, L.; de Zeeuw, C.I.; Frens, M.A. Compensatory increase of the cervico-ocular reflex with age in healthy humans. J. Physiol. 2003, 553, 311–317. [Google Scholar] [CrossRef]
- Ji, L.; Zhai, S. Aging and the peripheral vestibular system. J. Otol. 2018, 13, 138–140. [Google Scholar] [CrossRef]
- Silva, A.G.; Cruz, A.L. Standing balance in patients with whiplash-associated neck pain and idiopathic neck pain when compared with asymptomatic participants: A systematic review. Physiother. Theory Pract. 2013, 29, 1–18. [Google Scholar] [CrossRef]
- Bohm, S.; Mersmann, F.; Bierbaum, S.; Dietrich, R.; Arampatzis, A. Cognitive demand and predictive adaptational responses in dynamic stability control. J. Biomech. 2012, 45, 2330–2336. [Google Scholar] [CrossRef]
- Zhang, Z.; Gao, Y.; Wang, J. Effects of vision and cognitive load on anticipatory and compensatory postural control. Hum. Mov. Sci. 2019, 64, 398–408. [Google Scholar] [CrossRef]
- Bell, T.; Trost, Z.; Buelow, M.T.; Clay, O.; Younger, J.; Moore, D.; Crowe, M. Meta-analysis of cognitive performance in fibromyalgia. J. Clin. Exp. Neuropsychol. 2018, 40, 698–714. [Google Scholar] [CrossRef] [PubMed]


| Variables | Total Cohort (n = 108) | Fibromyalgia (n = 62) | Older Adult (n = 22) | Healthy (n = 24) | p-Value |
|---|---|---|---|---|---|
| Sex Female Male | 101 (93.5) 7 (6.5) | 57 (91.9) 5 (8.1) | 20 (90.9) 2 (9.1) | 24 (100) 0 (0) | 0.338 |
| Education level None Primary Secondary University | 5 (4.9) 26 (25.2) 35 (34) 37 (35.9) | 2 (3.2) 19 (30.6) 26 (41.9) 15 (24.2) | 3 (17.6) 1 (5.9) 5 (29.4) 8 (47.1) | 0 (0) 6 (25) 4 (16.7) 14 (58.3) | 0.003 |
| Age (years) | 57.62 ± 9.35 | 55.74 ± 7.75 | 69 ± 4.76 | 52.04 ± 7.80 | 0.001 |
| BMI (kg/m2) | 28.07 ± 5 | 28.53 ± 5.12 | 29.72 ± 4.89 | 25.83 ± 4.14 | 0.029 |
| Falls (last year) | 0.91 ± 1.78 | 1.19 ± 1.25 | 0.95 ± 3.25 | 0.13 ± 0.33 | 0.043 |
| DHI Emotional | 10.06 ± 9.76 | 15.52 ± 8.41 | 3 ± 5.58 | 2.42 ± 6.18 | 0.001 |
| DHI Functional | 13.18 ± 10.94 | 19.24 ± 8.81 | 6 ± 8.81 | 4.08 ± 6.71 | 0.001 |
| DHI Physical | 14.31 ± 8.91 | 19.34 ± 5.51 | 10.36 ± 8.89 | 4.92 ± 6.46 | 0.001 |
| DHI TOTAL (0–100) | 37.54 ± 27.76 | 54.10 ± 20.77 | 19.36 ± 19.34 | 11.42 ± 18.26 | 0.001 |
| ABC (0–100) | 69.34 ± 23.35 | 57.99 ± 22.4 | 80.38 ± 12.43 | 89.43 ± 12.49 | 0.001 |
| FES-I | 29.14 ± 10.7 | 34.27 ± 10.5 | 23.05 ± 5.44 | 21.21 ± 6.29 | 0.001 |
| FIQ (0–100) | Not applicable | 68.02 ± 16.17 | Not applicable | Not applicable | Not applicable |
| CSI (0–100) | Not applicable | 61.94 ± 10.82 | Not applicable | Not applicable | Not applicable |
| Physical SF-12 | 38.25 ± 11.49 | 30.62 ± 5.59 | 48.43 ± 8.46 | 49.9 ± 8.62 | 0.001 |
| Mental SF-12 | 38.55 ± 12.52 | 32.68 ± 10.8 | 45.62 ± 9.85 | 48.13 ± 9.67 | 0.001 |
| Component | Initial Eigenvalues | Sums of the Squared Saturations of the Extraction | Sum of the Squared Saturations of the Rotation | ||||||
|---|---|---|---|---|---|---|---|---|---|
| Total | % of Variance | % Accumulated | Total | % of Variance | % Accumulated | Total | % of Variance | % Accumulated | |
| 1 | 8.570 | 42.848 | 42.848 | 8.570 | 42.848 | 42.848 | 4.760 | 23.798 | 23.798 |
| 2 | 3.340 | 16.701 | 59.549 | 3.340 | 16.701 | 59.549 | 4.537 | 22.683 | 46.482 |
| 3 | 1.252 | 6.262 | 65.811 | 1.252 | 6.262 | 65.811 | 2.471 | 12.353 | 58.834 |
| 4 | 1.011 | 5.057 | 70.868 | 1.011 | 5.057 | 70.868 | 2.407 | 12.034 | 70.868 |
| 5 | 0.928 | 4.642 | 75.510 | ||||||
| 6 | 0.775 | 3.874 | 79.384 | ||||||
| 7 | 0.583 | 2.917 | 82.301 | ||||||
| 8 | 0.546 | 2.729 | 85.030 | ||||||
| 9 | 0.501 | 2.507 | 87.537 | ||||||
| 10 | 0.403 | 2.017 | 89.554 | ||||||
| 11 | 0.354 | 1.768 | 91.322 | ||||||
| 12 | 0.343 | 1.713 | 93.035 | ||||||
| 13 | 0.298 | 1.491 | 94.526 | ||||||
| 14 | 0.239 | 1.195 | 95.722 | ||||||
| 15 | 0.215 | 1.074 | 96.796 | ||||||
| 16 | 0.189 | 0.947 | 97.743 | ||||||
| 17 | 0.146 | 0.729 | 98.471 | ||||||
| 18 | 0.130 | 0.648 | 99.120 | ||||||
| 19 | 0.114 | 0.570 | 99.690 | ||||||
| 20 | 0.062 | 0.310 | 10 < 0.001 | ||||||
| Component | ||||
|---|---|---|---|---|
| Instability during Head Movements | Instability When Support Is Reduced | Instability during Gait with Eyes Open | Instability Standing and Walking with Eyes Closed | |
| Standing Eyes Closed (Romberg test) | 0.695 | |||
| Standing Tandem Left | 0.539 | |||
| Tandem Romberg Left | 0.583 | |||
| Standing Tandem Right | 0.628 | |||
| Tandem Romberg Right | 0.560 | |||
| The One-Legged Stance Time Left Eyes Open | 0.864 | |||
| The One-Legged Stance Time Left Eyes Closed | 0.814 | |||
| The One-Legged Stance Time Right Eyes Open | 0.830 | |||
| The One-Legged Stance Time Right Eyes Closed | 0.804 | |||
| Modified Head Shaking Rotation Test Eyes Closed | 0.832 | |||
| Modified Head Shaking Flexion Test Eyes Open Left | 0.859 | |||
| Modified Head Shaking Flexion Test Eyes Closed Left | 0.868 | |||
| Modified Head Shaking Flexion Test Eyes Open Right | 0.868 | |||
| Modified Head Shaking Flexion Test Eyes Closed Right | 0.881 | |||
| Sphinx Pose (during 30 s) | 0.703 | |||
| Fukuda Stepping Test 50 Steps | 0.701 | |||
| Babinski–Weil Walk | 0.349 | |||
| Walk tandem Eyes Open | 0.624 | |||
| Walk Shaking Neck Flexion–Extension Eyes Open | 0.800 | |||
| Walk Shaking Neck Rotation Eyes Open | 0.777 | |||
| Mean of the Screening Tool If the Item Is Deleted | Variance of the Screening Tool If the Item Is Deleted | Corrected Correlation Item-Total | Squared Multiple Correlation | Cronbach Alpha If Item Is Deleted | |
|---|---|---|---|---|---|
| Standing Eyes Closed (Romberg test) | 31.09 | 173.075 | 0.609 | 0.534 | 0.925 |
| Standing Tandem Left | 30.44 | 164.715 | 0.697 | 0.695 | 0.923 |
| Tandem Romberg Left | 29.31 | 171.975 | 0.597 | 0.585 | 0.925 |
| Standing Tandem Right | 30.47 | 166.364 | 0.684 | 0.706 | 0.923 |
| Tandem Romberg Right | 29.45 | 169.783 | 0.594 | 0.593 | 0.925 |
| The One-Legged Stance Time Left Eyes Open | 29.58 | 169.909 | 0.612 | 0.796 | 0.925 |
| The One-Legged Stance Time Left Eyes Closed | 28.81 | 175.055 | 0.533 | 0.646 | 0.926 |
| The One-Legged Stance Time Right Eyes Open | 29.51 | 169.766 | 0.587 | 0.701 | 0.925 |
| The One-Legged Stance Time Right Eyes Closed | 28.78 | 174.231 | 0.582 | 0.621 | 0.925 |
| Modified Head shaking Rotation Test Eyes Closed | 31.33 | 169.738 | 0.657 | 0.812 | 0.924 |
| Modified Head Shaking Flexion Test Eyes Open Left | 31.29 | 168.150 | 0.653 | 0.844 | 0.924 |
| Modified Head Shaking Flexion Test Eyes Closed Left | 31.06 | 166.940 | 0.679 | 0.843 | 0.923 |
| Modified Head Shaking Flexion Test Eyes Open Right | 31.31 | 169.167 | 0.659 | 0.851 | 0.924 |
| Modified Head shaking Flexion Test Eyes Closed Right | 31.19 | 167.330 | 0.700 | 0.892 | 0.923 |
| Sphinx Pose (during 30 s) | 31.17 | 175.206 | 0.474 | 0.466 | 0.927 |
| Fukuda stepping Test 50 steps | 31.40 | 173.887 | 0.502 | 0.430 | 0.927 |
| Babinski-Weil Walk | 30.81 | 175.952 | 0.421 | 0.307 | 0.928 |
| Walk Tandem Eyes Open | 30.81 | 166.040 | 0.609 | 0.549 | 0.925 |
| Walk Shaking Neck Flexion–Extension Eyes Open | 31.09 | 171.150 | 0.639 | 0.719 | 0.924 |
| Walk Shaking Neck Rotation Eyes Open | 30.69 | 170.517 | 0.592 | 0.661 | 0.925 |
| 20-Item JAEN Screening Tool | ||
|---|---|---|
| Variable | R | p-Value |
| Number of falls in the last year | 0.486 | <0.001 |
| Dizziness Handicap Inventory Emotional | 0.578 | <0.001 |
| Dizziness Handicap Inventory Functional | 0.650 | <0.001 |
| Dizziness Handicap Inventory Physical | 0.698 | <0.001 |
| Dizziness Handicap Inventory TOTAL Score (DHI) | 0.675 | <0.001 |
| Activities Balance Confidence Scale (ABC) | −0.669 | <0.001 |
| Falls Efficacy Scale-International | 0.581 | <0.001 |
| Fibromyalgia Impact Questionnaire TOTAL (FIQ) | 0.348 | 0.003 |
| Central Sensitization Inventory TOTAL (CSI) | 0.656 | <0.001 |
| Physical Component Summary SF-12 | −0.649 | <0.001 |
| Mental Component Summary SF-12 | −0.370 | <0.001 |
| Posturographic Parameter | 20-Item JAEN Screening Tool | |
|---|---|---|
| Rho | p-Value | |
| Sway Area Eyes Open | 0.570 | <0.001 *** |
| Velocity CoP Eyes Open | −0.014 | 0.886 |
| RMSX Eyes Open | 0.182 | 0.062 |
| RMSY Eyes Open | −0.056 | 0.566 |
| Mean CoP X axis Eyes Open | −0.090 | 0.357 |
| Mean CoP Y axis Eyes Open | −0.084 | 0.394 |
| Sway Area Eyes Closed | 0.604 | <0.001 *** |
| Velocity Eyes Closed | 0.257 | 0.008 ** |
| RMSX Eyes Closed | 0.431 | <0.001 *** |
| RMSY Eyes Closed | 0.236 | 0.015 * |
| Mean CoP X axis Eyes Closed | −0.143 | 0.145 |
| Mean CoP Y axis Eyes Closed | −0.171 | 0.080 |
| Fibromyalgia | 95% CI | Older Adult | 95% CI | Faller | 95% CI | |
|---|---|---|---|---|---|---|
| Criterion | >22 | >21 | >25 | |||
| Sensitivity | 90.32 | 80.1–96.4 | 90.91 | 70.8–98.9 | 90.91 | 78.3–97.5 |
| Specificity | 83.33 | 62.6–95.3 | 75 | 53.3–90.2 | 59.38 | 46.4–71.5 |
| +LR | 5.42 | 2.2–13.3 | 3.64 | 1.8–7.4 | 2.24 | 1.6–3.1 |
| −LR | 0.12 | 0.05–0.3 | 0.12 | 0.03–0.5 | 0.15 | 0.06–0.4 |
| +PV | 93.3 | 85.1–97.2 | 76.9 | 62.2–87.1 | 60.6 | 53.0–67.7 |
| −PV | 76.9 | 60.4–87.9 | 90 | 70.2–97.2 | 90.5 | 78.5–96.1 |
| Healthy | Fibromyalgia | Older Adult | ANOVA | ||||
|---|---|---|---|---|---|---|---|
| Mean | SD | Mean | SD | Mean | SD | p-Value | |
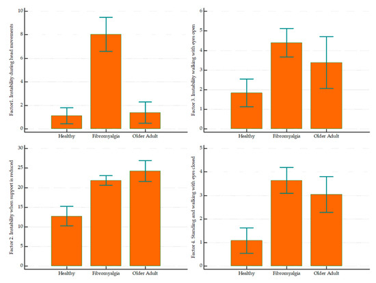
| Factor 1. Instability during head movements. | 1.13 | 1.62 | 8.03 | 5.72 | 1.39 | 2.08 | <0.001 |
| Factor 2. Instability when support is reduced | 12.75 | 5.90 | 21.84 | 4.69 | 24.27 | 5.93 | <0.001 |
| Factor 3. Instability during gait with eyes open | 1.83 | 1.69 | 4.40 | 2.86 | 3.39 | 3.06 | 0.001 |
| Factor 4. Instability when standing and walking with eyes closed | 1.08 | 1.28 | 3.65 | 2.18 | 3.05 | 1.70 | <0.001 |
Publisher’s Note: MDPI stays neutral with regard to jurisdictional claims in published maps and institutional affiliations. |
© 2020 by the authors. Licensee MDPI, Basel, Switzerland. This article is an open access article distributed under the terms and conditions of the Creative Commons Attribution (CC BY) license (http://creativecommons.org/licenses/by/4.0/).
Share and Cite
Lomas-Vega, R.; Rodríguez-Almagro, D.; Peinado-Rubia, A.B.; Zagalaz-Anula, N.; Molina, F.; Obrero-Gaitán, E.; Ibáñez-Vera, A.J.; Osuna-Pérez, M.C. Joint Assessment of Equilibrium and Neuromotor Function: A Validation Study in Patients with Fibromyalgia. Diagnostics 2020, 10, 1057. https://doi.org/10.3390/diagnostics10121057
Lomas-Vega R, Rodríguez-Almagro D, Peinado-Rubia AB, Zagalaz-Anula N, Molina F, Obrero-Gaitán E, Ibáñez-Vera AJ, Osuna-Pérez MC. Joint Assessment of Equilibrium and Neuromotor Function: A Validation Study in Patients with Fibromyalgia. Diagnostics. 2020; 10(12):1057. https://doi.org/10.3390/diagnostics10121057
Chicago/Turabian StyleLomas-Vega, Rafael, Daniel Rodríguez-Almagro, Ana Belén Peinado-Rubia, Noelia Zagalaz-Anula, Francisco Molina, Esteban Obrero-Gaitán, Alfonso Javier Ibáñez-Vera, and María Catalina Osuna-Pérez. 2020. "Joint Assessment of Equilibrium and Neuromotor Function: A Validation Study in Patients with Fibromyalgia" Diagnostics 10, no. 12: 1057. https://doi.org/10.3390/diagnostics10121057
APA StyleLomas-Vega, R., Rodríguez-Almagro, D., Peinado-Rubia, A. B., Zagalaz-Anula, N., Molina, F., Obrero-Gaitán, E., Ibáñez-Vera, A. J., & Osuna-Pérez, M. C. (2020). Joint Assessment of Equilibrium and Neuromotor Function: A Validation Study in Patients with Fibromyalgia. Diagnostics, 10(12), 1057. https://doi.org/10.3390/diagnostics10121057

