Arbuscular Mycorrhizal Fungi Response on Soil Phosphorus Utilization and Enzymes Activities in Aerobic Rice under Phosphorus-Deficient Conditions
Abstract
1. Introduction
2. Materials and Methods
2.1. Low P Soil Sampling, Site Description, and AMF Inoculum and Propagation of AMF
2.2. Experimental Site and Pot Experiment
2.3. Assessment of AMF Colonization and Spore Count
2.4. Phosphorus Estimation in Plant Sample
2.5. Estimation of Soil Chemical, Enzymatic and Microbial Properties
2.6. Statistical Analysis
3. Results and Discussion
3.1. Seed Germination of Rice Varieties
3.2. AMF Root Colonization in Different Aerobic Rice Varieties
3.3. Effect of AMF Inoculation on Physiological and Agronomic Properties
3.4. Effects of AMF on Uptake of Plant P
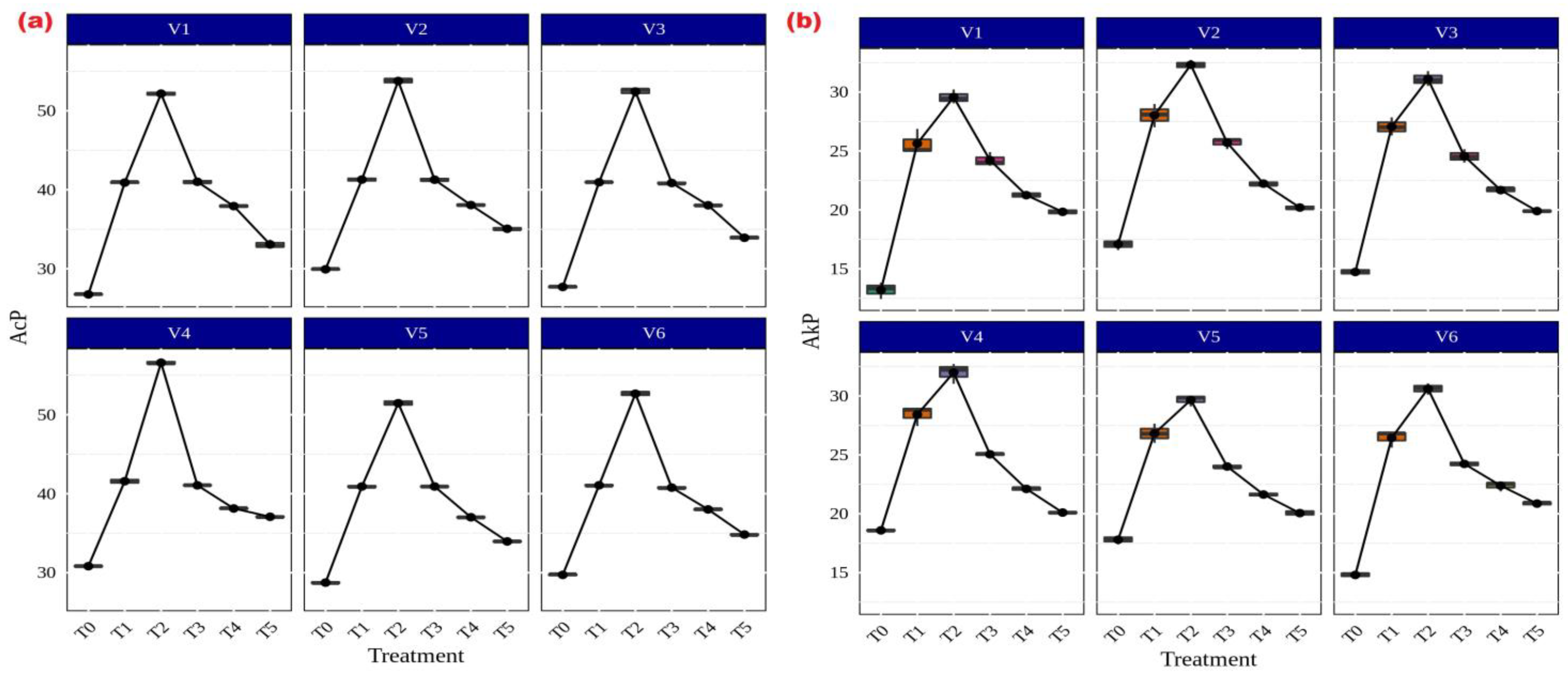
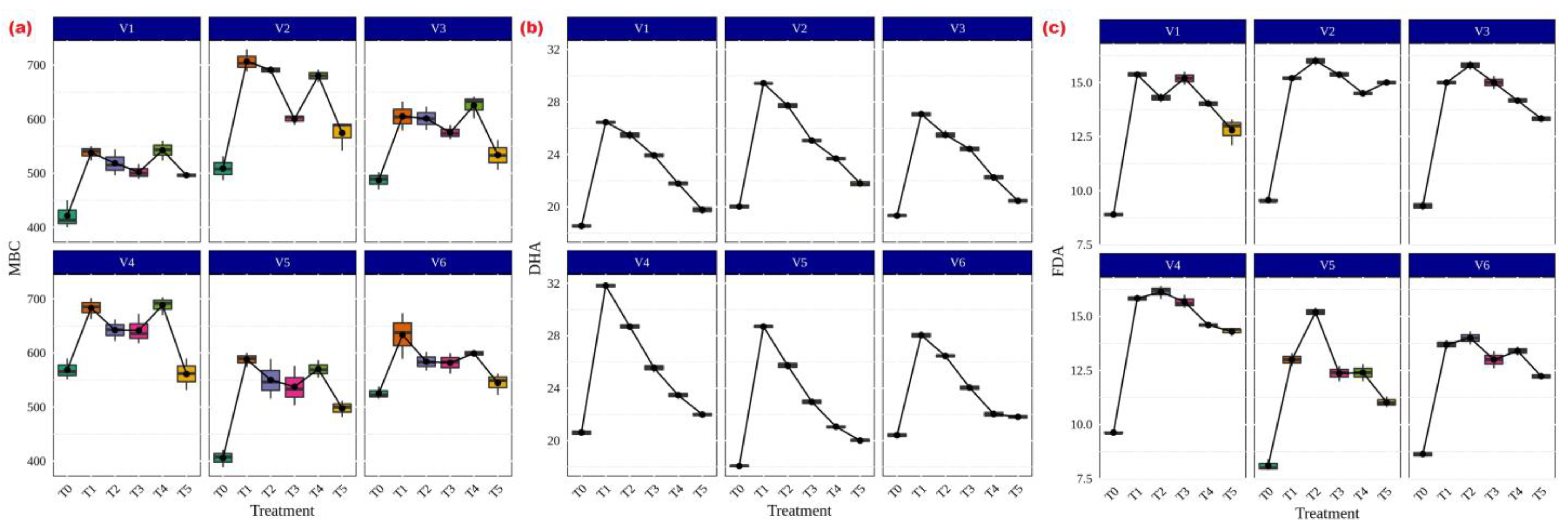
3.5. Responses of AMF on Soil Enzyme and Microbial Properties
3.6. Assessing the Mycorrhizal Responsiveness in Different Aerobic Rice Varieties
3.7. Correlation of AMF Colonization with Soil and Plant Properties Using Linear Models
4. Conclusions
Author Contributions
Funding
Institutional Review Board Statement
Informed Consent Statement
Data Availability Statement
Acknowledgments
Conflicts of Interest
References
- Fukagawa, N.K.; Ziska, L.H. Rice: Importance for global nutrition. J. Nutr. Sci. Vitaminol. 2019, 65, S2–S3. [Google Scholar] [CrossRef] [PubMed]
- Dhawan, V. Water and agriculture in India. In Background Paper for the South Asia Expert Panel during the Global Forum for Food and Agriculture; OAV—German Asia-Pacific Business Association: Hamburg, Germany, 2017; Volume 28, pp. 80–85. [Google Scholar]
- Tuong, T.P.; Bouman, B.A. Rice production in water-scarce environments. In Water Productivity in Agriculture: Limits and Opportunities for Improvement; Kijne, J.W., Barker, R., Molden, D., Eds.; CABI: Wallingford, CT, USA, 2003; Volume 1, pp. 13–42. [Google Scholar]
- Anandan, A.; Pradhan, S.K.; Panda, S.; Dash, S.K.; Panneerselvam, P.; Meher, J.; Patra, B.C. Aerobic dry direct seeded rice: A system of rice cultivation for water shortfall irrigated and lowland areas. In Proceedings of the NRRI Research Bulletin No. 33, ICAR-National Rice Research Institute, Cuttack-753006, Odisha, India, 23 April 2021; p. 32. [Google Scholar]
- Priyanka, S.; Jitesh, B.; Babu, S. Aerobic rice, a new approach of rice cultivation. Int. J. Res. Biol. Sci. 2012, 1, 1–6. [Google Scholar]
- Ghasal, K.; Pathak, K.; Mohan, G. Performance of Aerobic Rice under Different Sources and Levels of Phosphorus. Int. J. Curr. Microbiol. App. Sci. 2020, 11, 3699–3706. [Google Scholar]
- McDowell, R.W.; Noble, A.; Pletnyakov, P.; Haygarth, P.M. A Global Database of Soil Plant Available Phosphorus. Sci. Data 2023, 10, 125. [Google Scholar] [CrossRef]
- Mitra, D.; Nayeri, F.D.; Sansinenea, E.; Ortiz, A.; Bhatta, B.B.; Adeyemi, N.O.; Janeeshma, E.; Tawfeeq Al-Ani, L.K.; Sharma, S.B.; Boutaj, H.; et al. Unraveling arbuscular mycorrhizal fungi interaction in rice for plant growth development and enhancing phosphorus use efficiency through recent development of regulatory genes. J. Plant Nutr. 2023, 46, 1–37. [Google Scholar] [CrossRef]
- Mitra, D.; Khoshru, B.; Mohapatra, P.K.D.; Panneerselvam, P. Beneficial Interaction of Arbuscular Mycorrhizal Fungi in Plant to Improve the Uptake of Phosphorus. Indian J. Plant Soil 2020, 7, 61–63. [Google Scholar]
- Kayoumu, M.; Iqbal, A.; Muhammad, N.; Li, X.; Li, L.; Wang, X.; Gui, H.; Qi, Q.; Ruan, S.; Guo, R.; et al. Phosphorus Availability Affects the Photosynthesis and Antioxidant System of Contrasting Low-P-Tolerant Cotton Genotypes. Antioxidants 2023, 12, 466. [Google Scholar] [CrossRef]
- Prasad, R.; Chakraborty, D. Phosphorus basics: Understanding phosphorus forms and their cycling in the soil. Ala. Coop. Ext. Syst. 2019, ANR-2535. Available online: https://www.aces.edu/blog/topics/crop-production/understanding-phosphorus-forms-and-their-cycling-in-the-soil/ (accessed on 3 April 2023).
- Steffens, D.; Leppin, T.; Luschin-Ebengreuth, N.; Min Yang, Z.; Schubert, S. Organic soil phosphorus considerably contributes to plant nutrition but is neglected by routine soil-testing methods. J. Plant Nutr. Soil Sci. 2010, 173, 765–771. [Google Scholar] [CrossRef]
- Ibrahim, M.; Iqbal, M.; Tang, Y.T.; Khan, S.; Guan, D.X.; Li, G. Phosphorus Mobilization in Plant–Soil Environments and Inspired Strategies for Managing Phosphorus: A Review. Agronomy 2022, 12, 2539. [Google Scholar] [CrossRef]
- Johan, P.D.; Ahmed, O.H.; Omar, L.; Hasbullah, N.A. Phosphorus transformation in soils following co-application of charcoal and wood ash. Agronomy 2021, 11, 2010. [Google Scholar] [CrossRef]
- Panneerselvam, P.; Das Mohapatra, P.K.; Nayak, A.K.; Mitra, D.; Velmourougane, K.; Santos-Villalobos, S.D.L. Arbuscular Mycorrhizal Fungi: For Nutrient, Abiotic and Biotic Stresses Management in Rice, 1st ed.; CRC Press: Boca Raton, FL, USA, 2023; p. 232. [Google Scholar]
- Smith, S.E.; Read, D.J. Mycorrhizal Symbiosis; Academic Press: Cambridge, MA, USA, 2010. [Google Scholar]
- Begum, N.; Qin, C.; Ahanger, M.A.; Raza, S.; Khan, M.I.; Ashraf, M.; Ahmed, N.; Zhang, L. Role of arbuscular mycorrhizal fungi in plant growth regulation: Implications in abiotic stress tolerance. Front. Plant Sci. 2019, 10, 1068. [Google Scholar] [CrossRef] [PubMed]
- Wilkes, T.I. Arbuscular Mycorrhizal Fungi in Agriculture. Encyclopedia 2021, 1, 1132–1154. [Google Scholar] [CrossRef]
- Panneerselvam, P.; Kumar, U.; Sugitha, T.C.K.; Parameswaran, C.; Sahoo, S.; Binodh, A.K.; Jahan, A.; Anandan, A. Arbuscular mycorrhizal fungi (AMF) for sustainable rice production. In Advances in Soil Microbiology: Recent Trends and Future Prospects: Volume 2: Soil-Microbe-Plant Interaction; Adhya, T.K., Lal, B., Mohapatra, B., Paul, D., Das, S., Eds.; Springer: Berlin/Heidelberg, Germany, 2017; pp. 99–126. [Google Scholar]
- Sahoo, S.; Panneerselvam, P.; Chowdhury, T.; Kumar, A.; Kumar, U.; Jahan, A.; Senapati, A.; Anandan, A. Understanding the AM fungal association in flooded rice under elevated CO2 condition. ORYZA-Int. J. Rice 2017, 54, 290–297. [Google Scholar] [CrossRef]
- Mythili, M.; Ramalakshmi, A. Unraveling the distribution of AMF communities and their metabolites associated with soils of minor millets. Rhizosphere 2022, 21, 100473. [Google Scholar] [CrossRef]
- Mitra, D.; Guerra, B.E.; Khoshru, B.; De Los Santos Villalobos, S.; Belz, C.; Chaudhary, P.; Shahri, F.N.; Djebaili, R.; Adeyemi, N.O.; El-Ballat, E.M.; et al. Impacts of arbuscular mycorrhizal fungi on rice growth, development, and stress management with a particular emphasis on strigolactone effects on root development. Commun. Soil Sci. Plant Anal. 2021, 52, 1591–1621. [Google Scholar] [CrossRef]
- Baki, M.Z.I.; Suzuki, K.; Takahashi, K.; Chowdhury, S.A.; Asiloglu, R.; Harada, N. Molecular genetic characterization of arbuscular mycorrhizal fungi associated with upland rice in Bangladesh. Rhizosphere 2021, 18, 100357. [Google Scholar] [CrossRef]
- Sarkodee-Addo, E.; Yasuda, M.; Gyu Lee, C.; Kanasugi, M.; Fujii, Y.; Ansong Omari, R.; Oppong Abebrese, S.; Bam, R.; Asuming-Brempong, S.; Mohammad Golam Dastogeer, K.; et al. Arbuscular mycorrhizal fungi associated with rice (Oryza sativa L.) in Ghana: Effect of regional locations and soil factors on diversity and community assembly. Agronomy 2020, 10, 559. [Google Scholar] [CrossRef]
- Chareesri, A.; De Deyn, G.B.; Sergeeva, L.; Polthanee, A.; Kuyper, T.W. Increased arbuscular mycorrhizal fungal colonization reduces yield loss of rice (Oryza sativa L.) under drought. Mycorrhiza 2020, 30, 315–328. [Google Scholar] [CrossRef]
- Narwal, E.; Annapurna, K.; Choudhary, J.; Sangwan, S. Effect of arbuscular mycorrhizal fungal colonization on nutrient uptake in rice aerobic conditions. Int. J. Curr. Microbiol. App. Sci. 2018, 7, 1072–1093. [Google Scholar] [CrossRef]
- Panneerselvam, P.; Sahoo, S.; Senapati, A.; Kumar, U.; Mitra, D.; Parameswaran, C.; Anandan, A.; Kumar, A.; Jahan, A.; Nayak, A.K. Understanding interaction effect of arbuscular mycorrhizal fungi in rice under elevated carbon dioxide conditions. J. Basic Microbiol. 2019, 59, 1217–1228. [Google Scholar] [CrossRef] [PubMed]
- Gao, X.; Kuyper, T.W.; Zou, C.; Zhang, F.; Hoffland, E. Mycorrhizal responsiveness of aerobic rice genotypes is negatively correlated with their zinc uptake when nonmycorrhizal. Plant Soil 2007, 290, 283–291. [Google Scholar] [CrossRef]
- Trejo-Aguilar, D.; Banuelos, J. Isolation and culture of arbuscular mycorrhizal fungi from field samples. Methods Mol. Biol. 2020, 2146, 1–18. [Google Scholar] [PubMed]
- Nayak, A.K.; Bhattacharya, P.; Shahid, M.; Tripathi, R. Modern Techniques in Soil and Plant Analysis; KALYANI Publisher: Cuttack, India, 2016; p. 272. [Google Scholar]
- Phillips, J.M.; Hayman, D.S. Improved procedures for clearing roots and staining parasitic and vesicular-arbuscular mycorrhizal fungi for rapid assessment of infection. Trans. Br. Mycol. Soc. 1970, 55, 158-IN18. [Google Scholar] [CrossRef]
- Ganeshamurthy, A.N.; Sharma, K.; Mitra, D.; Radha, T.K.; Rupa, T.R. Isolation and characterization of Arbuscular mycorrhizal fungi and their role in plants growing under harsh environments. Mycorrhiza News-Mycorrhizae 2017, 29, 7–12. [Google Scholar]
- McGonigle, T.P.; Miller, M.H.; Evans, D.G.; Fairchild, G.L.; Swan, J.A. A new method which gives an objective measure of colonization of roots by vesicular—Arbuscular mycorrhizal fungi. New Phytol. 1990, 115, 495–501. [Google Scholar] [CrossRef] [PubMed]
- Arrhenius, O. Phosphorus determination by the molybdenum blue method. Arch. Suikerind. 1927, 35, 903–911. [Google Scholar]
- Tabatabai, M.A.; Bremner, J.M. Use of p-nitrophenyl phosphate for assay of soil phosphatase activity. Soil Biol. Biochem. 1969, 1, 301–307. [Google Scholar] [CrossRef]
- Schnrer, J.; Rosswall, T. Fluorescein diacetate hydrolysis as a measure of total microbial activity in soil and litter. Appl. Environ. Microbiol. 1982, 43, 1256–1261. [Google Scholar] [CrossRef]
- Adam, G.; Duncan, H. Development of a sensitive and rapid method for the measurement of total microbial activity using fluorescein diacetate (FDA) in a range of soils. Soil Biol. Biochem. 2001, 33, 943–951. [Google Scholar] [CrossRef]
- Casida, L.E., Jr.; Klein, D.A.; Santoro, T. Soil dehydrogenase activity. Soil Sci. 1964, 98, 371–376. [Google Scholar] [CrossRef]
- Witt, C.; Gaunt, J.L.; Galicia, C.C.; Ottow, J.C.; Neue, H.U. A rapid chloroform-fumigation extraction method for measuring soil microbial biomass carbon and nitrogen in flooded rice soils. Biol. Fertil. Soils 2000, 30, 510–519. [Google Scholar] [CrossRef]
- R Core Team. R Language Definition; R Foundation for Statistical Computing: Vienna, Austria, 2000; Volume 3. [Google Scholar]
- Ripley, B.; Venables, B.; Bates, D.M.; Hornik, K.; Gebhardt, A.; Firth, D.; Ripley, M.B. Package ‘Mass’. Cran r; 2013; Volume 538, pp. 113–120. [Google Scholar]
- Schloerke, B.; Crowley, J.; Cook, D. Package ‘GGally’. In Extension to ‘ggplot2’; 2018; p. 713. [Google Scholar]
- Panda, D.; Mishra, S.S.; Behera, P.K. Drought tolerance in rice: Focus on recent mechanisms and approaches. Rice Sci. 2021, 28, 119–132. [Google Scholar] [CrossRef]
- Narwal, E.; Annapurna, K.; Choudhary, J.; Dhakar, R.; Singh, Y. Bioprospecting aerobic rice (Oryza sativa) and mycorrhizal interaction for nutrient uptake and plant growth. Indian J. Agric. Sci. 2021, 91, 1236–1277. [Google Scholar] [CrossRef]
- Kadiyala, S.; Gillespie, S.; Thorat, S. Tackling the Agriculture-Nutrition disconnect in India: The way forward. In Tackling the Agriculture-Nutrition Disconnect in India; Kadiyala, S., Gillespie, S., Thorat, S., Eds.; Draft Book; International Food Policy Research Institute: Washington, DC, USA, 2012. [Google Scholar]
- Mahapatra, B.S.; Bhupenchandra, I.; Devi, S.H.; Kumar, A.; Chongtham, S.K.; Singh, R.; Babu, S.; Bora, S.S.; Devi, E.L.; Verma, G. Aerobic Rice and its significant perspective for sustainable crop production. Indian J. Agron. 2021, 66, 383–392. [Google Scholar]
- Jana, K.; Karmakar, R.; Banerjee, S.; Sana, M.; Goswami, S.; Puste, A.M. Aerobic rice cultivation system: Eco-friendly and water saving technology under changed climate. Agric. Res. Technol. 2018, 13, 40–44. [Google Scholar]
- Bouman, B.A.; Humphreys, E.; Tuong, T.P.; Barker, R. Rice and water. Adv. Agron. 2007, 92, 187–237. [Google Scholar]
- Ruiz-Sanchez, M.C.; Domingo, R.; Castel, J.R. Deficit irrigation in fruit trees and vines in Spain. Span. J. Agric. Res. 2010, 8, 5–20. [Google Scholar] [CrossRef]
- Watanarojanaporn, N.; Boonkerd, N.; Tittabutr, P.; Longtonglang, A.; Young, J.P.W.; Teaumroong, N. Effect of rice cultivation systems on indigenous arbuscular mycorrhizal fungal community structure. Microbes Environ. 2013, 28, 316–324. [Google Scholar] [CrossRef]
- Xavier Martins, W.F.; Rodrigues, B.F. Identification of dominant arbuscular mycorrhizal fungi in different rice ecosystems. Agric. Res. 2020, 9, 46–55. [Google Scholar] [CrossRef]
- Iqbal, M.T.; Ahmed, I.A.; Isik, M.; Sultana, F.; Ortaş, I. Role of mycorrhizae inoculations on nutrient uptake in rice grown under aerobic and anaerobic water management. J. Plant Nutr. 2021, 44, 550–568. [Google Scholar] [CrossRef]
- Xu, H.; Shao, H.; Lu, Y. Arbuscular mycorrhiza fungi and related soil microbial activity drive carbon mineralization in the maize rhizosphere. Ecotoxicol. Environ. Saf. 2019, 182, 109476. [Google Scholar] [CrossRef] [PubMed]
- Etesami, H.; Jeong, B.R.; Glick, B.R. Contribution of arbuscular mycorrhizal fungi, phosphate–solubilizing bacteria, and silicon to P uptake by plant. Front. Plant Sci. 2021, 12, 699618. [Google Scholar] [CrossRef] [PubMed]
- Kaiser, C.; Kilburn, M.R.; Clode, P.L.; Fuchslueger, L.; Koranda, M.; Cliff, J.B.; Solaiman, Z.M.; Murphy, D.V. Exploring the transfer of recent plant photosynthates to soil microbes: Mycorrhizal pathway vs. direct root exudation. New Phytol. 2015, 205, 1537–1551. [Google Scholar] [CrossRef] [PubMed]
- Nottingham, A.T.; Turner, B.L.; Winter, K.; Chamberlain, P.M.; Stott, A.; Tanner, E.V. Root and arbuscular mycor-rhizal mycelial interactions with soil microorganisms in lowland tropical forest. FEMS Microbiol. Ecol. 2013, 85, 37–50. [Google Scholar] [CrossRef] [PubMed]
- Panneerselvam, P.; Kumar, U.; Senapati, A.; Parameswaran, C.; Anandan, A.; Kumar, A.; Jahan, A.; Padhy, S.R.; Nayak, A.K. Influence of elevated CO2 on arbuscular mycorrhizal fungal community elucidated using Illumina MiSeq platform in sub-humid tropical paddy soil. Appl. Soil Ecol. 2020, 145, 103344. [Google Scholar] [CrossRef]
- Tisserant, B.; Gianinazzi-Pearson, V.; Gianinazzi, S.; Gollotte, A. In planta histochemical staining of fungal alkaline phosphatase activity for analysis of efficient arbuscular mycorrhizal infections. Mycol. Res. 1993, 97, 245–250. [Google Scholar] [CrossRef]
- Qin, M.; Zhang, Q.; Pan, J.; Jiang, S.; Liu, Y.; Bahadur, A.; Peng, Z.; Yang, Y.; Feng, H. Effect of arbuscular mycorrhizal fungi on soil enzyme activity is coupled with increased plant biomass. Eur. J. Soil Sci. 2020, 71, 84–92. [Google Scholar] [CrossRef]
- Li, S.; Bi, Y.; Kong, W.; Yu, H.; Lang, Q.; Miao, Y. Effects of arbuscular mycorrhizal fungi on ecological restoration in coal mining areas. Russ. J. Ecol. 2015, 46, 431–437. [Google Scholar] [CrossRef]
- Mitra, D.; Dam, P.; Mondal, R.; Mahakur, B.; Al-Tawaha, A.R.M.; Sangeetha, J. Application of arbuscular mycorrhiza fungi in agricultural and horticultural crops. In Mycorrhizal Technology: Managing Plant Stress and Mitigating Climate Change Using Mycorrhaizae; Apple Academic Press, Inc.: Cambridge, MA, USA, 2023; pp. 51–64. [Google Scholar]
- Luo, Y.Q.; Zhou, X.H. Soil Respiration and the Environment; Academic Press: San Diego, CA, USA, 2010. [Google Scholar]
- Gougoulias, C.; Clark, J.M.; Shaw, L.J. The role of soil microbes in the global carbon cycle: Tracking the below-ground microbial processing of plant-derived carbon for manipulating carbon dynamics in agricultural systems. J. Sci. Food Agric. 2014, 94, 2362–2371. [Google Scholar] [CrossRef]
- Leifheit, E.F.; Veresoglou, S.D.; Lehmann, A.; Morris, E.K.; Rillig, M.C. Multiple factors influence the role of arbuscular mycorrhizal fungi in soil aggregation—A meta-analysis. Plant Soil 2014, 374, 523–537. [Google Scholar] [CrossRef]
- Wang, Z.G.; Bi, Y.L.; Jiang, B.; Zhakypbek, Y.; Peng, S.P.; Liu, W.W.; Liu, H. Arbuscular mycorrhizal fungi enhance soil carbon sequestration in the coalfields, northwest China. Sci. Rep. 2016, 6, 34336. [Google Scholar] [CrossRef] [PubMed]
- Thirkell, T.J.; Pastok, D.; Field, K.J. Carbon for nutrient exchange between arbuscular mycorrhizal fungi and wheat varies according to cultivar and changes in atmospheric carbon dioxide concentration. Glob. Chang. Biol. 2020, 26, 1725–1738. [Google Scholar] [CrossRef] [PubMed]
- Das, D.; Ullah, H.; Himanshu, S.K.; Tisarum, R.; Cha-Um, S.; Datta, A. Arbuscular mycorrhizal fungi inoculation and phosphorus application improve growth, physiological traits, and grain yield of rice under alternate wetting and drying irrigation. J. Plant Physiol. 2022, 278, 153829. [Google Scholar] [CrossRef]










| pH (1:2.5, Soil: Water Suspension) | Electrical Conductivity (dS/m) | Available Phosphorus (kg/ha) | Available Nitrogen (kg/ha) | Available Potassium (kg/ha) |
|---|---|---|---|---|
| 6.53 ± 0.06 | 0.48 ± 0.03 | 6.003 ± 0.59 | 236.75 ± 3.65 | 136.86 ± 3.97 |
| Step | Variable | R-Square | Adj. R-Square | C(p) | AIC | RMSE |
|---|---|---|---|---|---|---|
| 1 | FDA | 0.8292 | 0.8275 | 22.3958 | 844.7126 | 11.862 |
| 2 | MBC | 0.8459 | 0.8429 | 12.0246 | 835.5882 | 11.320 |
| 3 | RL | 0.8532 | 0.8490 | 8.5771 | 832.3012 | 11.0993 |
| 4 | Plant P | 0.8608 | 0.8554 | 5.0000 | 828.6062 | 10.8628 |
Disclaimer/Publisher’s Note: The statements, opinions and data contained in all publications are solely those of the individual author(s) and contributor(s) and not of MDPI and/or the editor(s). MDPI and/or the editor(s) disclaim responsibility for any injury to people or property resulting from any ideas, methods, instructions or products referred to in the content. |
© 2023 by the authors. Licensee MDPI, Basel, Switzerland. This article is an open access article distributed under the terms and conditions of the Creative Commons Attribution (CC BY) license (https://creativecommons.org/licenses/by/4.0/).
Share and Cite
Mitra, D.; Panneerselvam, P.; Senapati, A.; Chidambaranathan, P.; Nayak, A.K.; Mohapatra, P.K.D. Arbuscular Mycorrhizal Fungi Response on Soil Phosphorus Utilization and Enzymes Activities in Aerobic Rice under Phosphorus-Deficient Conditions. Life 2023, 13, 1118. https://doi.org/10.3390/life13051118
Mitra D, Panneerselvam P, Senapati A, Chidambaranathan P, Nayak AK, Mohapatra PKD. Arbuscular Mycorrhizal Fungi Response on Soil Phosphorus Utilization and Enzymes Activities in Aerobic Rice under Phosphorus-Deficient Conditions. Life. 2023; 13(5):1118. https://doi.org/10.3390/life13051118
Chicago/Turabian StyleMitra, Debasis, Periyasamy Panneerselvam, Ansuman Senapati, Parameswaran Chidambaranathan, Amaresh Kumar Nayak, and Pradeep Kumar Das Mohapatra. 2023. "Arbuscular Mycorrhizal Fungi Response on Soil Phosphorus Utilization and Enzymes Activities in Aerobic Rice under Phosphorus-Deficient Conditions" Life 13, no. 5: 1118. https://doi.org/10.3390/life13051118
APA StyleMitra, D., Panneerselvam, P., Senapati, A., Chidambaranathan, P., Nayak, A. K., & Mohapatra, P. K. D. (2023). Arbuscular Mycorrhizal Fungi Response on Soil Phosphorus Utilization and Enzymes Activities in Aerobic Rice under Phosphorus-Deficient Conditions. Life, 13(5), 1118. https://doi.org/10.3390/life13051118

